Номер 3.14, страница 108 - гдз по алгебре 11 класс учебник Арефьева, Пирютко

Алгебра, 11 класс Учебник, авторы: Арефьева Ирина Глебовна, Пирютко Ольга Николаевна, издательство Народная асвета, Минск, 2020, бирюзового цвета

Авторы: Арефьева И. Г., Пирютко О. Н.

Тип: Учебник

Издательство: Народная асвета

Год издания: 2020 - 2025

Цвет обложки: бирюзовый, зелёный с графиком

ISBN: 978-985-03-3165-6

Популярные ГДЗ в 11 классе

Глава 3. Логарифмическая функция. Параграф 7. Свойства логарифмов - номер 3.14, страница 108.

№3.14 (с. 108)
Условие. №3.14 (с. 108)
скриншот условия
Алгебра, 11 класс Учебник, авторы: Арефьева Ирина Глебовна, Пирютко Ольга Николаевна, издательство Народная асвета, Минск, 2020, бирюзового цвета, страница 108, номер 3.14, Условие

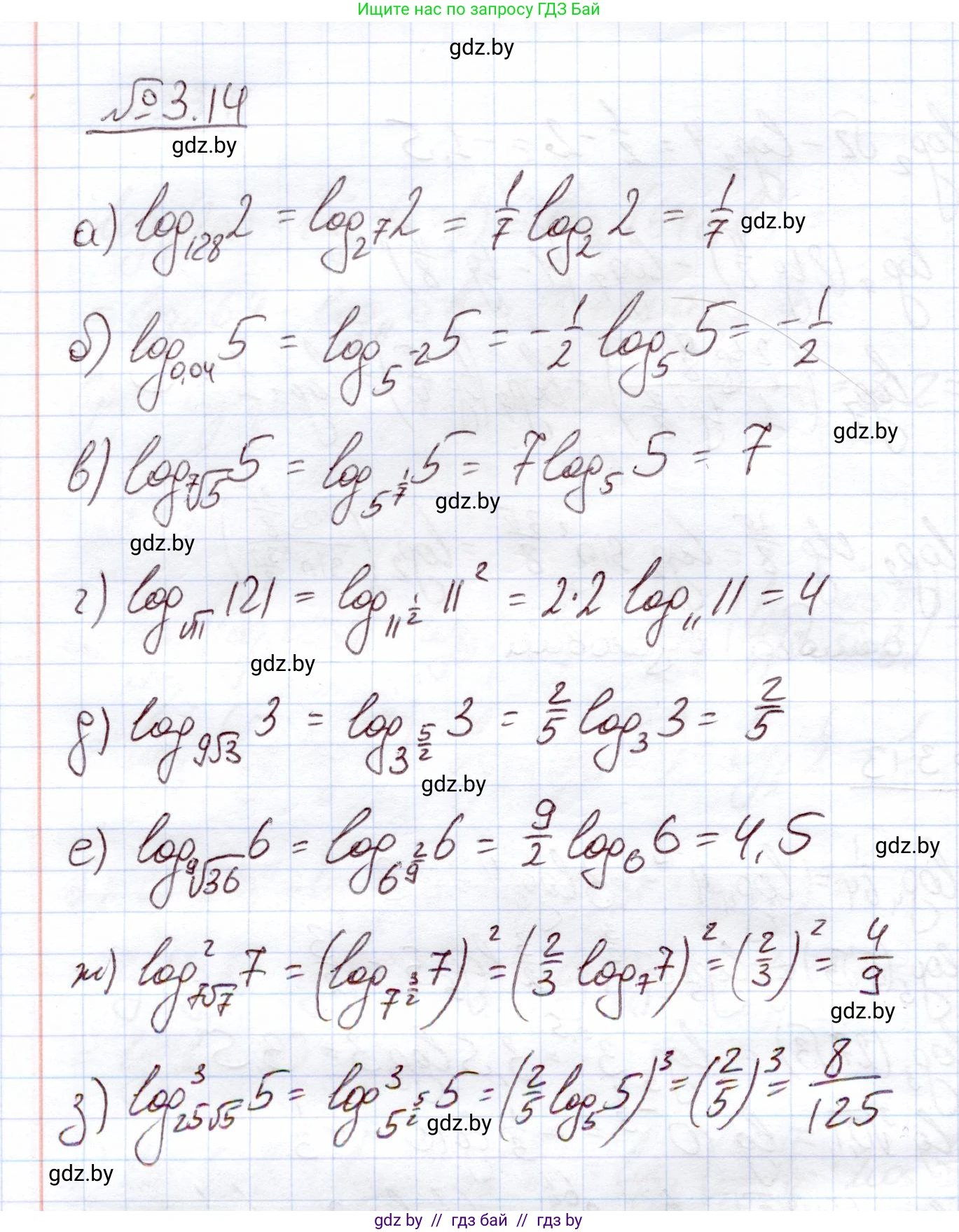
3.14. Используйте свойства логарифмов и вычислите:

a) $log_{128} 2$;

б) $log_{0.04} 5$;

в) $log_{\sqrt{5}} 5$;

г) $log_{\sqrt{11}} 121$;

д) $log_{9\sqrt{3}} 3$;

е) $log_{9\sqrt{36}} 6$;

ж) $log_{7\sqrt{7}}^2 7$;

з) $log_{25\sqrt{5}}^3 5$.

Решение. №3.14 (с. 108)
Алгебра, 11 класс Учебник, авторы: Арефьева Ирина Глебовна, Пирютко Ольга Николаевна, издательство Народная асвета, Минск, 2020, бирюзового цвета, страница 108, номер 3.14, Решение
Решение 2. №3.14 (с. 108)

а) $log_{128} 2$

Для вычисления данного логарифма представим его основание (128) и аргумент (2) в виде степеней одного и того же числа. В данном случае это число 2.
Основание: $128 = 2^7$.
Аргумент: $2 = 2^1$.
Подставим эти значения в исходное выражение и используем свойство логарифма $log_{a^n} b^m = \frac{m}{n} log_a b$, а также то, что $log_a a = 1$.
$log_{128} 2 = log_{2^7} 2^1 = \frac{1}{7} log_2 2 = \frac{1}{7} \cdot 1 = \frac{1}{7}$.
Ответ: $\frac{1}{7}$.

б) $log_{0,04} 5$

Представим основание (0,04) и аргумент (5) в виде степеней числа 5.
Основание: $0,04 = \frac{4}{100} = \frac{1}{25} = 25^{-1} = (5^2)^{-1} = 5^{-2}$.
Аргумент: $5 = 5^1$.
Применим свойство логарифма:
$log_{0,04} 5 = log_{5^{-2}} 5^1 = \frac{1}{-2} log_5 5 = -\frac{1}{2}$.
Ответ: $-\frac{1}{2}$.

в) $log_{\sqrt{5}} 5$

Представим основание ($\sqrt{5}$) и аргумент (5) в виде степеней числа 5.
Основание: $\sqrt{5} = 5^{\frac{1}{2}}$.
Аргумент: $5 = 5^1$.
Применим свойство логарифма:
$log_{\sqrt{5}} 5 = log_{5^{\frac{1}{2}}} 5^1 = \frac{1}{1/2} log_5 5 = 2 \cdot 1 = 2$.
Ответ: 2.

г) $log_{\sqrt{11}} 121$

Представим основание ($\sqrt{11}$) и аргумент (121) в виде степеней числа 11.
Основание: $\sqrt{11} = 11^{\frac{1}{2}}$.
Аргумент: $121 = 11^2$.
Применим свойство логарифма:
$log_{\sqrt{11}} 121 = log_{11^{\frac{1}{2}}} 11^2 = \frac{2}{1/2} log_{11} 11 = 4 \cdot 1 = 4$.
Ответ: 4.

д) $log_{9\sqrt{3}} 3$

Представим основание ($9\sqrt{3}$) и аргумент (3) в виде степеней числа 3.
Основание: $9\sqrt{3} = 3^2 \cdot 3^{\frac{1}{2}} = 3^{2 + \frac{1}{2}} = 3^{\frac{5}{2}}$.
Аргумент: $3 = 3^1$.
Применим свойство логарифма:
$log_{9\sqrt{3}} 3 = log_{3^{\frac{5}{2}}} 3^1 = \frac{1}{5/2} log_3 3 = \frac{2}{5} \cdot 1 = \frac{2}{5}$.
Ответ: $\frac{2}{5}$.

е) $log_{9\sqrt[3]{36}} 6$

Примечание: В условии этого примера, скорее всего, допущена опечатка. Основание $9\sqrt[3]{36}$ нельзя представить в виде рациональной степени числа 6. Если предположить, что в основании вместо "9" должно быть "6", то задача имеет простое решение.
Решим задачу с исправленным основанием $6\sqrt[3]{36}$.
Представим основание и аргумент в виде степеней числа 6.
Исправленное основание: $6\sqrt[3]{36} = 6^1 \cdot (6^2)^{\frac{1}{3}} = 6^1 \cdot 6^{\frac{2}{3}} = 6^{1+\frac{2}{3}} = 6^{\frac{5}{3}}$.
Аргумент: $6 = 6^1$.
Тогда $log_{6\sqrt[3]{36}} 6 = log_{6^{\frac{5}{3}}} 6^1 = \frac{1}{5/3} log_6 6 = \frac{3}{5}$.
Ответ: $\frac{3}{5}$ (при условии исправления опечатки в задании).

ж) $log^2_{7\sqrt{7}} 7$

Данное выражение означает $(log_{7\sqrt{7}} 7)^2$. Сначала вычислим значение логарифма, а затем возведем результат в квадрат.
Представим основание ($7\sqrt{7}$) и аргумент (7) в виде степеней числа 7.
Основание: $7\sqrt{7} = 7^1 \cdot 7^{\frac{1}{2}} = 7^{1+\frac{1}{2}} = 7^{\frac{3}{2}}$.
Аргумент: $7 = 7^1$.
$log_{7\sqrt{7}} 7 = log_{7^{\frac{3}{2}}} 7^1 = \frac{1}{3/2} log_7 7 = \frac{2}{3}$.
Теперь возведем результат в квадрат: $(\frac{2}{3})^2 = \frac{4}{9}$.
Ответ: $\frac{4}{9}$.

з) $log^3_{25\sqrt{5}} 5$

Данное выражение означает $(log_{25\sqrt{5}} 5)^3$. Сначала вычислим значение логарифма, а затем возведем результат в куб.
Представим основание ($25\sqrt{5}$) и аргумент (5) в виде степеней числа 5.
Основание: $25\sqrt{5} = 5^2 \cdot 5^{\frac{1}{2}} = 5^{2+\frac{1}{2}} = 5^{\frac{5}{2}}$.
Аргумент: $5 = 5^1$.
$log_{25\sqrt{5}} 5 = log_{5^{\frac{5}{2}}} 5^1 = \frac{1}{5/2} log_5 5 = \frac{2}{5}$.
Теперь возведем результат в куб: $(\frac{2}{5})^3 = \frac{8}{125}$.
Ответ: $\frac{8}{125}$.

Помогло решение? Оставьте отзыв в комментариях ниже.

Присоединяйтесь к Телеграм-группе @gdz_by_belarus

Присоединиться

Мы подготовили для вас ответ c подробным объяснением домашего задания по алгебре за 11 класс, для упражнения номер 3.14 расположенного на странице 108 к учебнику 2020 года издания для учащихся школ и гимназий.

Теперь на нашем сайте ГДЗ.ТОП вы всегда легко и бесплатно найдёте условие с правильным ответом на вопрос «Как решить ДЗ» и «Как сделать» задание по алгебре к упражнению №3.14 (с. 108), авторов: Арефьева (Ирина Глебовна), Пирютко (Ольга Николаевна), учебного пособия издательства Народная асвета.