Номер 3.13, страница 108 - гдз по алгебре 11 класс учебник Арефьева, Пирютко

Алгебра, 11 класс Учебник, авторы: Арефьева Ирина Глебовна, Пирютко Ольга Николаевна, издательство Народная асвета, Минск, 2020, бирюзового цвета

Авторы: Арефьева И. Г., Пирютко О. Н.

Тип: Учебник

Издательство: Народная асвета

Год издания: 2020 - 2025

Цвет обложки: бирюзовый, зелёный с графиком

ISBN: 978-985-03-3165-6

Популярные ГДЗ в 11 классе

Глава 3. Логарифмическая функция. Параграф 7. Свойства логарифмов - номер 3.13, страница 108.

№3.13 (с. 108)
Условие. №3.13 (с. 108)
скриншот условия
Алгебра, 11 класс Учебник, авторы: Арефьева Ирина Глебовна, Пирютко Ольга Николаевна, издательство Народная асвета, Минск, 2020, бирюзового цвета, страница 108, номер 3.13, Условие

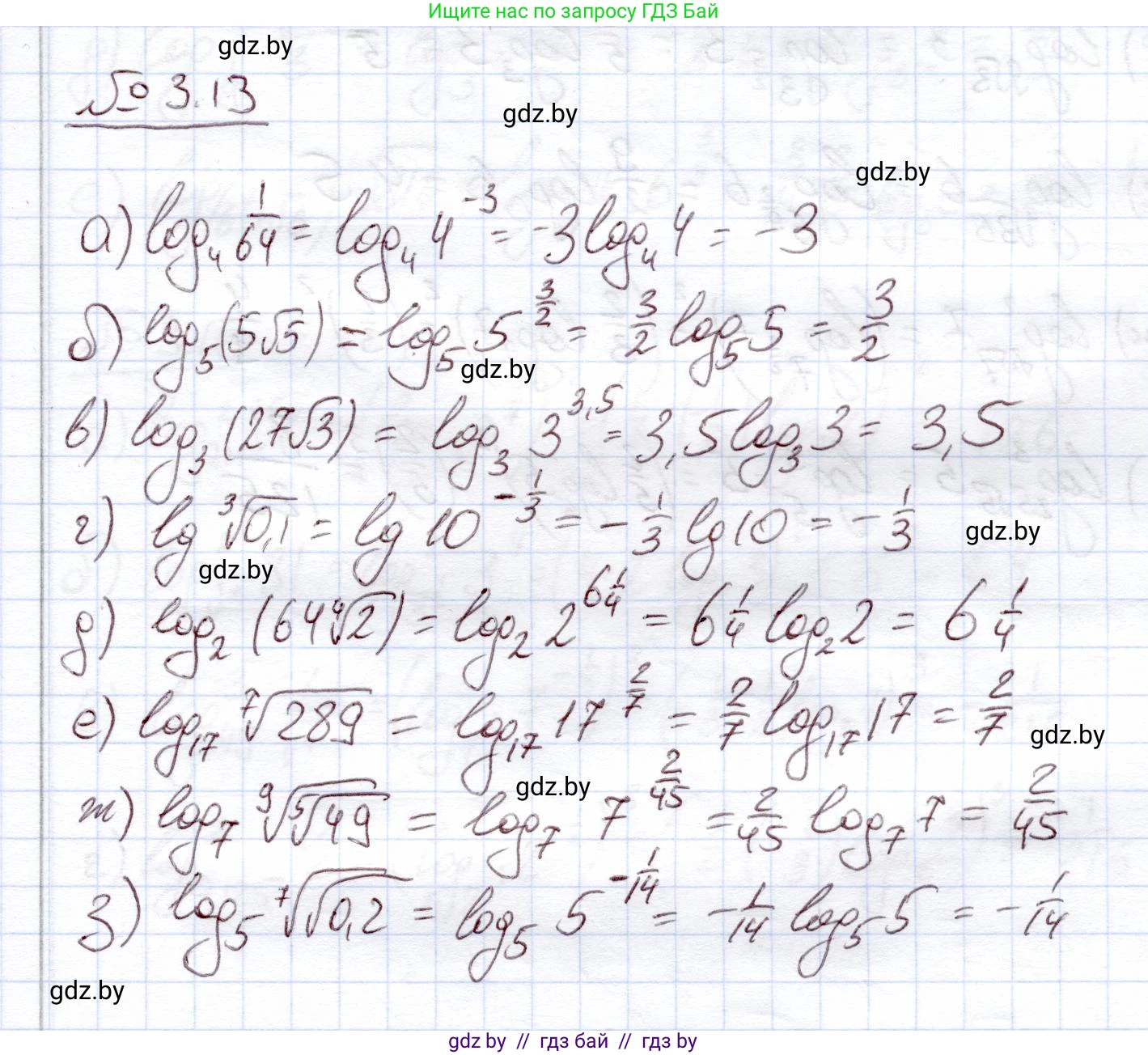
3.13. Вычислите, используя свойство логарифма степени:

a) $\log_4 \frac{1}{64};$

б) $\log_5 (5\sqrt{5});$

в) $\log_3 (27\sqrt{3});$

г) $\lg \sqrt[3]{0,1};$

д) $\log_2 (64\sqrt[4]{2});$

е) $\log_{17} \sqrt[7]{289};$

ж) $\log_7 \sqrt[9]{\sqrt[5]{49}};$

з) $\log_5 \sqrt[7]{\sqrt{0,2}}.$

Решение. №3.13 (с. 108)
Алгебра, 11 класс Учебник, авторы: Арефьева Ирина Глебовна, Пирютко Ольга Николаевна, издательство Народная асвета, Минск, 2020, бирюзового цвета, страница 108, номер 3.13, Решение
Решение 2. №3.13 (с. 108)

а) Чтобы вычислить $ \log_4 \frac{1}{64} $, представим аргумент логарифма в виде степени с основанием 4.
Так как $ 64 = 4^3 $, то $ \frac{1}{64} = \frac{1}{4^3} = 4^{-3} $.
Подставим это в исходное выражение: $ \log_4 \frac{1}{64} = \log_4 (4^{-3}) $.
Используя свойство логарифма степени $ \log_a(b^p) = p \cdot \log_a(b) $, получаем:
$ \log_4 (4^{-3}) = -3 \cdot \log_4(4) $.
Поскольку $ \log_4(4) = 1 $, то $ -3 \cdot 1 = -3 $.
Ответ: -3.

б) Чтобы вычислить $ \log_5 (5\sqrt{5}) $, представим аргумент $ 5\sqrt{5} $ в виде степени с основанием 5.
Имеем $ 5 = 5^1 $ и $ \sqrt{5} = 5^{1/2} $.
Следовательно, $ 5\sqrt{5} = 5^1 \cdot 5^{1/2} = 5^{1 + 1/2} = 5^{3/2} $.
Подставим это в выражение: $ \log_5 (5\sqrt{5}) = \log_5(5^{3/2}) $.
Используя свойство логарифма степени:
$ \log_5(5^{3/2}) = \frac{3}{2} \cdot \log_5(5) = \frac{3}{2} \cdot 1 = \frac{3}{2} $.
Ответ: $ \frac{3}{2} $.

в) Чтобы вычислить $ \log_3 (27\sqrt{3}) $, представим аргумент $ 27\sqrt{3} $ в виде степени с основанием 3.
Имеем $ 27 = 3^3 $ и $ \sqrt{3} = 3^{1/2} $.
Следовательно, $ 27\sqrt{3} = 3^3 \cdot 3^{1/2} = 3^{3 + 1/2} = 3^{7/2} $.
Подставим это в выражение: $ \log_3 (27\sqrt{3}) = \log_3(3^{7/2}) $.
Используя свойство логарифма степени:
$ \log_3(3^{7/2}) = \frac{7}{2} \cdot \log_3(3) = \frac{7}{2} \cdot 1 = \frac{7}{2} $.
Ответ: $ \frac{7}{2} $.

г) Выражение $ \lg \sqrt[3]{0,1} $. Запись $ \lg $ означает логарифм по основанию 10, то есть $ \log_{10} $.
Представим аргумент $ \sqrt[3]{0,1} $ в виде степени с основанием 10.
Имеем $ 0,1 = \frac{1}{10} = 10^{-1} $.
Тогда $ \sqrt[3]{0,1} = (0,1)^{1/3} = (10^{-1})^{1/3} = 10^{-1/3} $.
Подставим это в выражение: $ \lg \sqrt[3]{0,1} = \log_{10}(10^{-1/3}) $.
Используя свойство логарифма степени:
$ \log_{10}(10^{-1/3}) = -\frac{1}{3} \cdot \log_{10}(10) = -\frac{1}{3} \cdot 1 = -\frac{1}{3} $.
Ответ: $ -\frac{1}{3} $.

д) Чтобы вычислить $ \log_2 (64\sqrt[4]{2}) $, представим аргумент $ 64\sqrt[4]{2} $ в виде степени с основанием 2.
Имеем $ 64 = 2^6 $ и $ \sqrt[4]{2} = 2^{1/4} $.
Следовательно, $ 64\sqrt[4]{2} = 2^6 \cdot 2^{1/4} = 2^{6 + 1/4} = 2^{24/4 + 1/4} = 2^{25/4} $.
Подставим это в выражение: $ \log_2 (64\sqrt[4]{2}) = \log_2(2^{25/4}) $.
Используя свойство логарифма степени:
$ \log_2(2^{25/4}) = \frac{25}{4} \cdot \log_2(2) = \frac{25}{4} \cdot 1 = \frac{25}{4} $.
Ответ: $ \frac{25}{4} $.

е) Чтобы вычислить $ \log_{17} \sqrt[7]{289} $, представим аргумент $ \sqrt[7]{289} $ в виде степени с основанием 17.
Мы знаем, что $ 289 = 17^2 $.
Тогда $ \sqrt[7]{289} = (289)^{1/7} = (17^2)^{1/7} = 17^{2/7} $.
Подставим это в выражение: $ \log_{17} \sqrt[7]{289} = \log_{17}(17^{2/7}) $.
Используя свойство логарифма степени:
$ \log_{17}(17^{2/7}) = \frac{2}{7} \cdot \log_{17}(17) = \frac{2}{7} \cdot 1 = \frac{2}{7} $.
Ответ: $ \frac{2}{7} $.

ж) Чтобы вычислить $ \log_7 \sqrt[9]{\sqrt[5]{49}} $, представим аргумент в виде степени с основанием 7.
Сначала упростим подкоренное выражение. Мы знаем, что $ 49 = 7^2 $.
Значит, $ \sqrt[5]{49} = \sqrt[5]{7^2} = 7^{2/5} $.
Тогда, $ \sqrt[9]{\sqrt[5]{49}} = \sqrt[9]{7^{2/5}} = (7^{2/5})^{1/9} = 7^{(2/5) \cdot (1/9)} = 7^{2/45} $.
Подставим это в выражение: $ \log_7 (7^{2/45}) $.
Используя свойство логарифма степени:
$ \log_7 (7^{2/45}) = \frac{2}{45} \cdot \log_7(7) = \frac{2}{45} \cdot 1 = \frac{2}{45} $.
Ответ: $ \frac{2}{45} $.

з) Чтобы вычислить $ \log_5 \sqrt[7]{\sqrt{0,2}} $, представим аргумент в виде степени с основанием 5.
Сначала преобразуем десятичную дробь: $ 0,2 = \frac{2}{10} = \frac{1}{5} = 5^{-1} $.
Теперь упростим подкоренное выражение: $ \sqrt{0,2} = \sqrt{5^{-1}} = (5^{-1})^{1/2} = 5^{-1/2} $.
Тогда, $ \sqrt[7]{\sqrt{0,2}} = \sqrt[7]{5^{-1/2}} = (5^{-1/2})^{1/7} = 5^{(-1/2) \cdot (1/7)} = 5^{-1/14} $.
Подставим это в выражение: $ \log_5 (5^{-1/14}) $.
Используя свойство логарифма степени:
$ \log_5 (5^{-1/14}) = -\frac{1}{14} \cdot \log_5(5) = -\frac{1}{14} \cdot 1 = -\frac{1}{14} $.
Ответ: $ -\frac{1}{14} $.

Помогло решение? Оставьте отзыв в комментариях ниже.

Присоединяйтесь к Телеграм-группе @gdz_by_belarus

Присоединиться

Мы подготовили для вас ответ c подробным объяснением домашего задания по алгебре за 11 класс, для упражнения номер 3.13 расположенного на странице 108 к учебнику 2020 года издания для учащихся школ и гимназий.

Теперь на нашем сайте ГДЗ.ТОП вы всегда легко и бесплатно найдёте условие с правильным ответом на вопрос «Как решить ДЗ» и «Как сделать» задание по алгебре к упражнению №3.13 (с. 108), авторов: Арефьева (Ирина Глебовна), Пирютко (Ольга Николаевна), учебного пособия издательства Народная асвета.