Номер 3.82, страница 115 - гдз по алгебре 11 класс учебник Арефьева, Пирютко

Алгебра, 11 класс Учебник, авторы: Арефьева Ирина Глебовна, Пирютко Ольга Николаевна, издательство Народная асвета, Минск, 2020, бирюзового цвета

Авторы: Арефьева И. Г., Пирютко О. Н.

Тип: Учебник

Издательство: Народная асвета

Год издания: 2020 - 2025

Цвет обложки: бирюзовый, зелёный с графиком

ISBN: 978-985-03-3165-6

Популярные ГДЗ в 11 классе

Глава 3. Логарифмическая функция. Параграф 7. Свойства логарифмов - номер 3.82, страница 115.

№3.82 (с. 115)
Условие. №3.82 (с. 115)
скриншот условия
Алгебра, 11 класс Учебник, авторы: Арефьева Ирина Глебовна, Пирютко Ольга Николаевна, издательство Народная асвета, Минск, 2020, бирюзового цвета, страница 115, номер 3.82, Условие

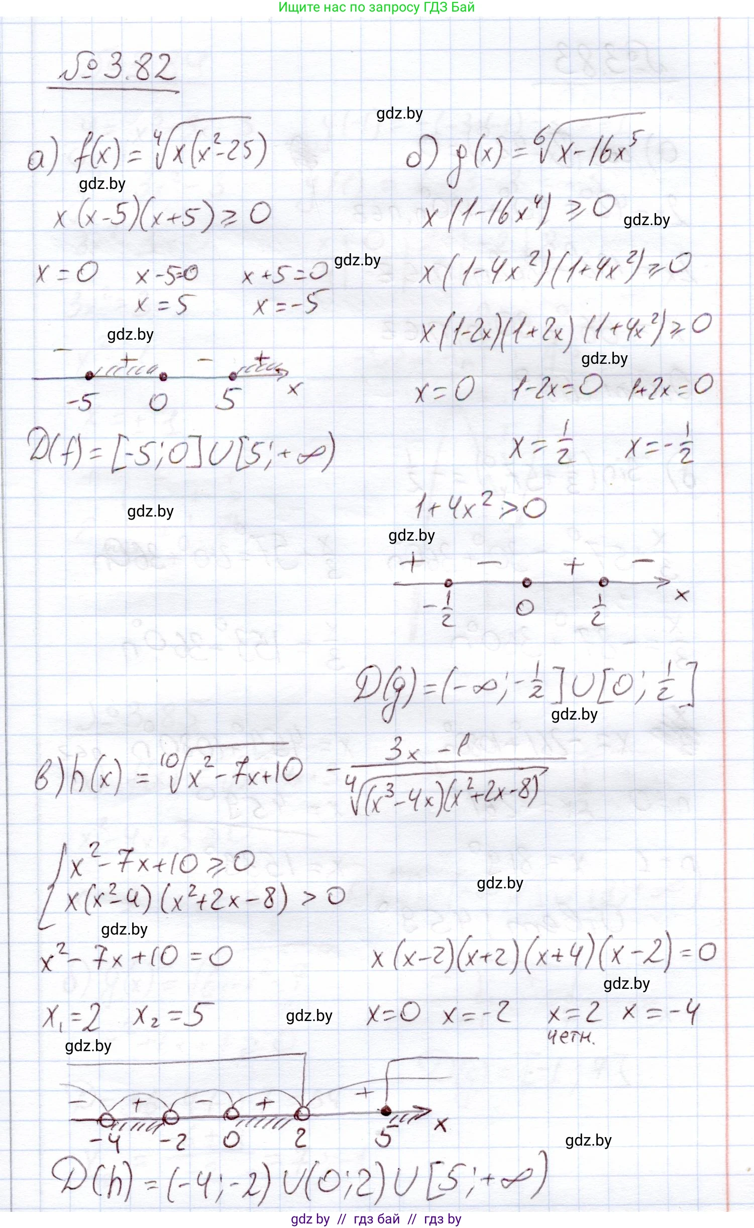
3.82. Найдите область определения функции:

a) $f(x) = \sqrt[4]{x(x^2 - 25)};$

б) $g(x) = \sqrt[6]{x - 16x^5};$

в) $h(x) = \sqrt[10]{x^2 - 7x + 10} - \frac{3x - 1}{\sqrt[4]{(x^3 - 4x)(x^2 + 2x - 8)}}.$

Решение. №3.82 (с. 115)
Алгебра, 11 класс Учебник, авторы: Арефьева Ирина Глебовна, Пирютко Ольга Николаевна, издательство Народная асвета, Минск, 2020, бирюзового цвета, страница 115, номер 3.82, Решение
Решение 2. №3.82 (с. 115)

а)

Область определения функции $f(x) = \sqrt[4]{x(x^2 - 25)}$ находится из условия, что подкоренное выражение корня четной степени (в данном случае, степени 4) должно быть неотрицательным. Таким образом, необходимо решить неравенство:

$x(x^2 - 25) \ge 0$

Разложим левую часть на множители, используя формулу разности квадратов:

$x(x - 5)(x + 5) \ge 0$

Решим это неравенство методом интервалов. Нулями выражения являются $x_1 = -5$, $x_2 = 0$ и $x_3 = 5$. Эти точки делят числовую ось на интервалы. Определим знак выражения $x(x - 5)(x + 5)$ на каждом из них:

- при $x \in (5, +\infty)$ выражение положительно;
- при $x \in (0, 5)$ выражение отрицательно;
- при $x \in (-5, 0)$ выражение положительно;
- при $x \in (-\infty, -5)$ выражение отрицательно.

Поскольку неравенство нестрогое ($ \ge 0 $), нас интересуют промежутки, где выражение положительно, а также точки, в которых оно равно нулю. Следовательно, в решение включаются и сами нули.

Таким образом, область определения функции есть объединение промежутков: $[-5, 0] \cup [5, +\infty)$.

Ответ: $D(f) = [-5, 0] \cup [5, +\infty)$

б)

Область определения функции $g(x) = \sqrt[6]{x - 16x^5}$ находится из условия, что подкоренное выражение корня четной степени (степени 6) должно быть неотрицательным. Решим неравенство:

$x - 16x^5 \ge 0$

Вынесем общий множитель $x$ за скобки:

$x(1 - 16x^4) \ge 0$

Разложим выражение в скобках на множители по формуле разности квадратов $a^2 - b^2 = (a-b)(a+b)$:

$x(1 - 4x^2)(1 + 4x^2) \ge 0$

Множитель $(1 + 4x^2)$ всегда строго положителен при любом действительном $x$ (так как $x^2 \ge 0 \implies 4x^2 \ge 0 \implies 1+4x^2 \ge 1$). Поэтому мы можем разделить обе части неравенства на этот множитель без изменения знака неравенства:

$x(1 - 4x^2) \ge 0$

Еще раз применим формулу разности квадратов:

$x(1 - 2x)(1 + 2x) \ge 0$

Решим это неравенство методом интервалов. Нули выражения: $x_1 = 0$, $x_2 = 1/2$, $x_3 = -1/2$. Определим знаки на интервалах:

- при $x \in (1/2, +\infty)$ выражение отрицательно;
- при $x \in (0, 1/2)$ выражение положительно;
- при $x \in (-1/2, 0)$ выражение отрицательно;
- при $x \in (-\infty, -1/2)$ выражение положительно.

Нас интересуют промежутки, где выражение неотрицательно. Включая нули, получаем решение: $x \in (-\infty, -1/2] \cup [0, 1/2]$.

Ответ: $D(g) = (-\infty, -1/2] \cup [0, 1/2]$

в)

Функция $h(x) = \sqrt[10]{x^2 - 7x + 10} - \frac{3x-1}{\sqrt[4]{(x^3-4x)(x^2+2x-8)}}$ является разностью двух выражений. Ее область определения — это пересечение областей определения каждого из выражений. Это сводится к системе из двух условий:

1) Выражение под корнем десятой степени должно быть неотрицательным: $x^2 - 7x + 10 \ge 0$.

2) Выражение под корнем четвертой степени в знаменателе должно быть строго положительным (положительным из-за корня и не равным нулю из-за знаменателя): $(x^3 - 4x)(x^2 + 2x - 8) > 0$.

Рассмотрим каждое условие.

Решение неравенства 1: $x^2 - 7x + 10 \ge 0$.

Найдем корни квадратного трехчлена $x^2 - 7x + 10 = 0$. По теореме Виета (или через дискриминант) находим корни: $x_1 = 2$, $x_2 = 5$. Графиком является парабола с ветвями вверх, поэтому она принимает неотрицательные значения вне интервала между корнями. Решение: $x \in (-\infty, 2] \cup [5, +\infty)$.

Решение неравенства 2: $(x^3 - 4x)(x^2 + 2x - 8) > 0$.

Разложим оба многочлена на множители:

$x^3 - 4x = x(x^2 - 4) = x(x-2)(x+2)$.

$x^2 + 2x - 8 = (x+4)(x-2)$ (корни $x=-4$ и $x=2$).

Подставим разложения в неравенство:

$[x(x-2)(x+2)] \cdot [(x+4)(x-2)] > 0$

$x(x+4)(x+2)(x-2)^2 > 0$

Решим методом интервалов. Нули выражения: $x = -4, -2, 0, 2$. Неравенство строгое, поэтому все нули исключаются из решения. Множитель $(x-2)^2$ всегда неотрицателен, и знак всего выражения не меняется при переходе через точку $x=2$ (корень четной кратности). Выражение положительно на интервалах $(-4, -2) \cup (0, 2) \cup (2, +\infty)$.

Нахождение области определения:

Найдем пересечение множеств решений обоих неравенств:

$((-\infty, 2] \cup [5, +\infty)) \cap ((-4, -2) \cup (0, 2) \cup (2, +\infty))$

Пересекая $(-\infty, 2]$ с вторым множеством, получаем $(-4, -2) \cup (0, 2)$.

Пересекая $[5, +\infty)$ с вторым множеством, получаем $[5, +\infty)$.

Объединяя эти результаты, получаем итоговую область определения.

Ответ: $D(h) = (-4, -2) \cup (0, 2) \cup [5, +\infty)$

Помогло решение? Оставьте отзыв в комментариях ниже.

Присоединяйтесь к Телеграм-группе @gdz_by_belarus

Присоединиться

Мы подготовили для вас ответ c подробным объяснением домашего задания по алгебре за 11 класс, для упражнения номер 3.82 расположенного на странице 115 к учебнику 2020 года издания для учащихся школ и гимназий.

Теперь на нашем сайте ГДЗ.ТОП вы всегда легко и бесплатно найдёте условие с правильным ответом на вопрос «Как решить ДЗ» и «Как сделать» задание по алгебре к упражнению №3.82 (с. 115), авторов: Арефьева (Ирина Глебовна), Пирютко (Ольга Николаевна), учебного пособия издательства Народная асвета.