Номер 142, страница 182 - гдз по алгебре 11 класс учебник Арефьева, Пирютко

Алгебра, 11 класс Учебник, авторы: Арефьева Ирина Глебовна, Пирютко Ольга Николаевна, издательство Народная асвета, Минск, 2020, бирюзового цвета

Авторы: Арефьева И. Г., Пирютко О. Н.

Тип: Учебник

Издательство: Народная асвета

Год издания: 2020 - 2025

Цвет обложки: бирюзовый, зелёный с графиком

ISBN: 978-985-03-3165-6

Популярные ГДЗ в 11 классе

Упражнения для итогового повторения. Выражения и их преобразования - номер 142, страница 182.

№142 (с. 182)
Условие. №142 (с. 182)
скриншот условия
Алгебра, 11 класс Учебник, авторы: Арефьева Ирина Глебовна, Пирютко Ольга Николаевна, издательство Народная асвета, Минск, 2020, бирюзового цвета, страница 182, номер 142, Условие

142. Упростите выражение:

a) $2\sin\left(\frac{\pi}{4} + \alpha\right)\cos\left(\frac{\pi}{4} + \alpha\right);$

б) $\sin^2\left(\frac{3\pi}{4} - \alpha\right) - \cos^2\left(\frac{3\pi}{4} - \alpha\right);$

В) $\frac{\operatorname{tg}(45^\circ + \alpha)}{1 - \operatorname{tg}^2(45^\circ + \alpha)}.$

Решение. №142 (с. 182)
Алгебра, 11 класс Учебник, авторы: Арефьева Ирина Глебовна, Пирютко Ольга Николаевна, издательство Народная асвета, Минск, 2020, бирюзового цвета, страница 182, номер 142, Решение
Решение 2. №142 (с. 182)

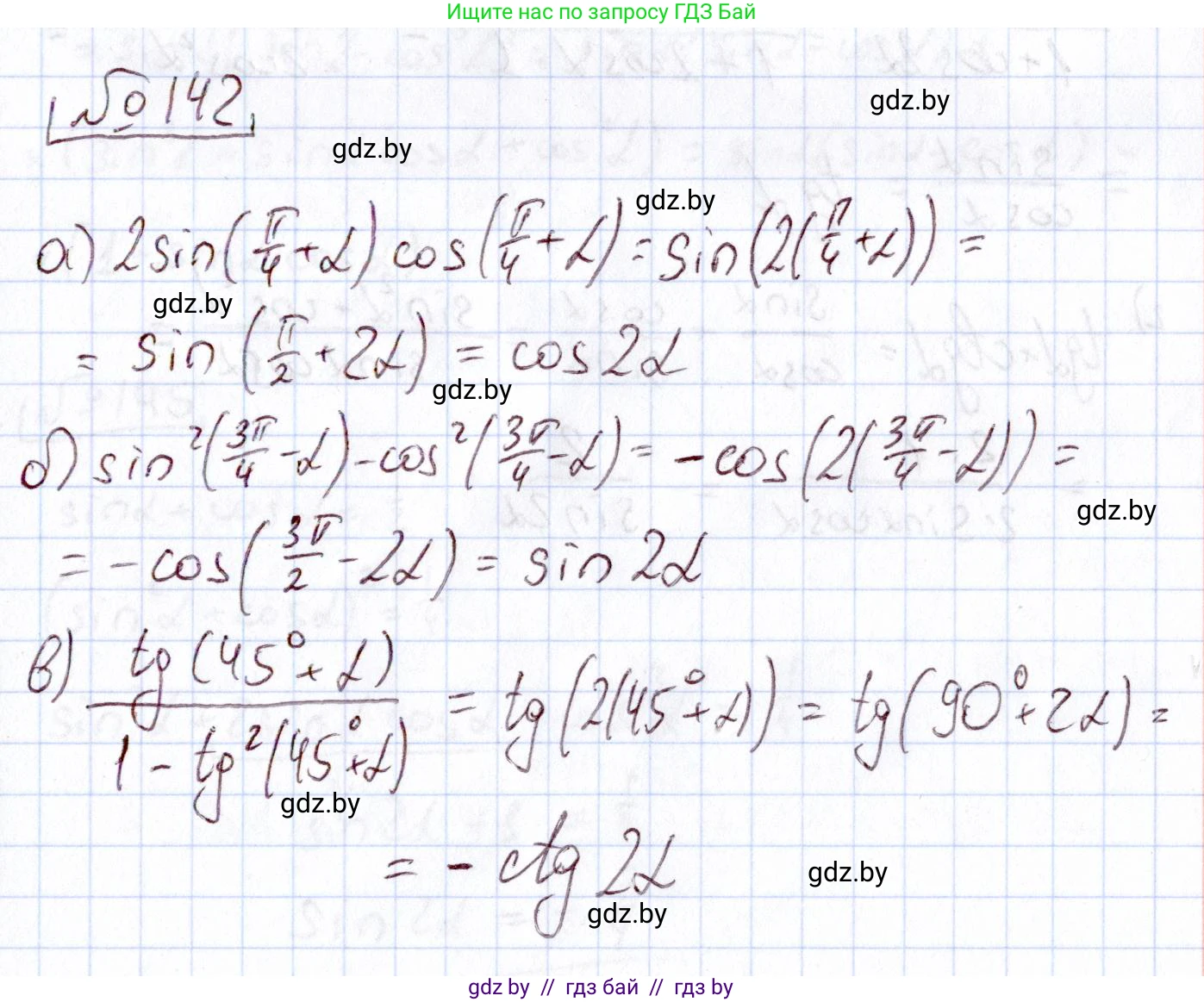
а) $2\sin(\frac{\pi}{4} + \alpha)\cos(\frac{\pi}{4} + \alpha)$

Для упрощения данного выражения воспользуемся формулой синуса двойного угла: $\sin(2x) = 2\sin(x)\cos(x)$.

В нашем случае, аргумент $x = \frac{\pi}{4} + \alpha$.

Применяя формулу, получаем:

$2\sin(\frac{\pi}{4} + \alpha)\cos(\frac{\pi}{4} + \alpha) = \sin\left(2\left(\frac{\pi}{4} + \alpha\right)\right)$

Упростим аргумент синуса:

$\sin\left(2 \cdot \frac{\pi}{4} + 2 \cdot \alpha\right) = \sin\left(\frac{\pi}{2} + 2\alpha\right)$

Теперь используем формулу приведения $\sin(\frac{\pi}{2} + \beta) = \cos(\beta)$. В нашем случае $\beta = 2\alpha$.

$\sin\left(\frac{\pi}{2} + 2\alpha\right) = \cos(2\alpha)$

Ответ: $\cos(2\alpha)$

б) $\sin^2(\frac{3\pi}{4} - \alpha) - \cos^2(\frac{3\pi}{4} - \alpha)$

Для упрощения этого выражения воспользуемся формулой косинуса двойного угла: $\cos(2x) = \cos^2(x) - \sin^2(x)$.

Вынесем минус за скобки, чтобы привести выражение к стандартному виду формулы:

$\sin^2\left(\frac{3\pi}{4} - \alpha\right) - \cos^2\left(\frac{3\pi}{4} - \alpha\right) = -\left(\cos^2\left(\frac{3\pi}{4} - \alpha\right) - \sin^2\left(\frac{3\pi}{4} - \alpha\right)\right)$

Теперь в скобках у нас формула косинуса двойного угла, где $x = \frac{3\pi}{4} - \alpha$.

Применяем формулу:

$-\cos\left(2\left(\frac{3\pi}{4} - \alpha\right)\right)$

Упростим аргумент косинуса:

$-\cos\left(2 \cdot \frac{3\pi}{4} - 2 \cdot \alpha\right) = -\cos\left(\frac{3\pi}{2} - 2\alpha\right)$

Используем формулу приведения $\cos(\frac{3\pi}{2} - \beta) = -\sin(\beta)$. В нашем случае $\beta = 2\alpha$.

$-\cos\left(\frac{3\pi}{2} - 2\alpha\right) = -(-\sin(2\alpha)) = \sin(2\alpha)$

Ответ: $\sin(2\alpha)$

в) $\frac{\operatorname{tg}(45^\circ + \alpha)}{1 - \operatorname{tg}^2(45^\circ + \alpha)}$

Для упрощения выражения воспользуемся формулой тангенса двойного угла: $\operatorname{tg}(2x) = \frac{2\operatorname{tg}(x)}{1 - \operatorname{tg}^2(x)}$.

Наше выражение похоже на эту формулу, но в числителе отсутствует множитель 2. Чтобы использовать формулу, домножим и разделим выражение на 2:

$\frac{\operatorname{tg}(45^\circ + \alpha)}{1 - \operatorname{tg}^2(45^\circ + \alpha)} = \frac{1}{2} \cdot \frac{2\operatorname{tg}(45^\circ + \alpha)}{1 - \operatorname{tg}^2(45^\circ + \alpha)}$

Теперь мы можем применить формулу тангенса двойного угла, где $x = 45^\circ + \alpha$.

$\frac{1}{2} \operatorname{tg}\left(2(45^\circ + \alpha)\right)$

Упростим аргумент тангенса:

$\frac{1}{2} \operatorname{tg}(2 \cdot 45^\circ + 2 \cdot \alpha) = \frac{1}{2} \operatorname{tg}(90^\circ + 2\alpha)$

Используем формулу приведения $\operatorname{tg}(90^\circ + \beta) = -\operatorname{ctg}(\beta)$. В нашем случае $\beta = 2\alpha$.

$\frac{1}{2} \operatorname{tg}(90^\circ + 2\alpha) = \frac{1}{2} (-\operatorname{ctg}(2\alpha)) = -\frac{1}{2}\operatorname{ctg}(2\alpha)$

Ответ: $-\frac{1}{2}\operatorname{ctg}(2\alpha)$

Помогло решение? Оставьте отзыв в комментариях ниже.

Присоединяйтесь к Телеграм-группе @gdz_by_belarus

Присоединиться

Мы подготовили для вас ответ c подробным объяснением домашего задания по алгебре за 11 класс, для упражнения номер 142 расположенного на странице 182 к учебнику 2020 года издания для учащихся школ и гимназий.

Теперь на нашем сайте ГДЗ.ТОП вы всегда легко и бесплатно найдёте условие с правильным ответом на вопрос «Как решить ДЗ» и «Как сделать» задание по алгебре к упражнению №142 (с. 182), авторов: Арефьева (Ирина Глебовна), Пирютко (Ольга Николаевна), учебного пособия издательства Народная асвета.