Номер 252, страница 197 - гдз по алгебре 11 класс учебник Арефьева, Пирютко

Алгебра, 11 класс Учебник, авторы: Арефьева Ирина Глебовна, Пирютко Ольга Николаевна, издательство Народная асвета, Минск, 2020, бирюзового цвета

Авторы: Арефьева И. Г., Пирютко О. Н.

Тип: Учебник

Издательство: Народная асвета

Год издания: 2020 - 2025

Цвет обложки: бирюзовый, зелёный с графиком

ISBN: 978-985-03-3165-6

Популярные ГДЗ в 11 классе

Упражнения для итогового повторения. Выражения и их преобразования - номер 252, страница 197.

№252 (с. 197)
Условие. №252 (с. 197)
скриншот условия
Алгебра, 11 класс Учебник, авторы: Арефьева Ирина Глебовна, Пирютко Ольга Николаевна, издательство Народная асвета, Минск, 2020, бирюзового цвета, страница 197, номер 252, Условие

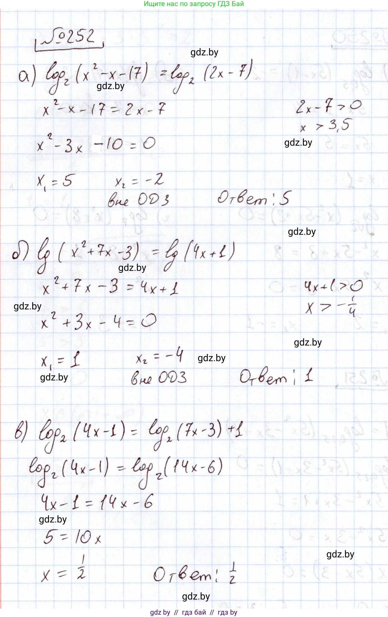
252. Решите уравнение:

а) $\log_2(x^2 - x - 17) = \log_2(2x - 7)$;

б) $\lg(x^2 + 7x - 3) = \lg(4x + 1)$;

в) $\log_2(4x - 1) = \log_2(7x - 3) + 1$;

г) $\lg(x^2 - 125) = \lg(x - 6) + 2$.

Решение. №252 (с. 197)
Алгебра, 11 класс Учебник, авторы: Арефьева Ирина Глебовна, Пирютко Ольга Николаевна, издательство Народная асвета, Минск, 2020, бирюзового цвета, страница 197, номер 252, Решение Алгебра, 11 класс Учебник, авторы: Арефьева Ирина Глебовна, Пирютко Ольга Николаевна, издательство Народная асвета, Минск, 2020, бирюзового цвета, страница 197, номер 252, Решение (продолжение 2)
Решение 2. №252 (с. 197)

а) Исходное уравнение: $log_2(x^2 - x - 17) = log_2(2x - 7)$.
Данное уравнение эквивалентно системе, состоящей из уравнения, полученного приравниванием подлогарифмических выражений, и неравенств, задающих область допустимых значений (ОДЗ).
$ \begin{cases} x^2 - x - 17 = 2x - 7 \\ 2x - 7 > 0 \end{cases} $
(Достаточно учесть, что одно из подлогарифмических выражений больше нуля, так как в силу их равенства второе автоматически тоже будет больше нуля. Выбираем более простое неравенство).
Решим сначала уравнение:
$x^2 - x - 17 = 2x - 7$
$x^2 - 3x - 10 = 0$
По теореме Виета находим корни:
$x_1 + x_2 = 3$
$x_1 \cdot x_2 = -10$
Отсюда $x_1 = 5$ и $x_2 = -2$.
Теперь проверим найденные корни на соответствие условию ОДЗ: $2x - 7 > 0$, то есть $x > 3.5$.
Для $x_1 = 5$: $2 \cdot 5 - 7 = 3 > 0$. Этот корень подходит.
Для $x_2 = -2$: $2 \cdot (-2) - 7 = -11 < 0$. Этот корень не подходит (посторонний корень).
Следовательно, уравнение имеет один корень.
Ответ: 5.

б) Исходное уравнение: $lg(x^2 + 7x - 3) = lg(4x + 1)$.
Здесь $lg$ обозначает десятичный логарифм ($log_{10}$). Уравнение эквивалентно системе:
$ \begin{cases} x^2 + 7x - 3 = 4x + 1 \\ 4x + 1 > 0 \end{cases} $
Решаем уравнение:
$x^2 + 7x - 3 = 4x + 1$
$x^2 + 3x - 4 = 0$
По теореме Виета находим корни:
$x_1 + x_2 = -3$
$x_1 \cdot x_2 = -4$
Отсюда $x_1 = 1$ и $x_2 = -4$.
Проверяем корни по условию ОДЗ: $4x + 1 > 0$, то есть $x > -1/4$.
Для $x_1 = 1$: $4 \cdot 1 + 1 = 5 > 0$. Этот корень подходит.
Для $x_2 = -4$: $4 \cdot (-4) + 1 = -15 < 0$. Этот корень не подходит.
Ответ: 1.

в) Исходное уравнение: $log_2(4x - 1) = log_2(7x - 3) + 1$.
Сначала преобразуем правую часть уравнения, представив 1 как логарифм по основанию 2: $1 = log_2(2)$.
$log_2(4x - 1) = log_2(7x - 3) + log_2(2)$
Используем свойство суммы логарифмов $log_a(b) + log_a(c) = log_a(bc)$:
$log_2(4x - 1) = log_2(2 \cdot (7x - 3))$
Теперь уравнение можно свести к равенству подлогарифмических выражений при условии, что они положительны.
ОДЗ:
$ \begin{cases} 4x - 1 > 0 \implies x > 1/4 \\ 7x - 3 > 0 \implies x > 3/7 \end{cases} $
Поскольку $3/7 > 1/4$, общее условие ОДЗ: $x > 3/7$.
Решаем уравнение:
$4x - 1 = 2(7x - 3)$
$4x - 1 = 14x - 6$
$5 = 10x$
$x = 5/10 = 1/2 = 0.5$
Проверим найденный корень на соответствие ОДЗ: $0.5 > 3/7$, так как $1/2 > 3/7 \iff 7 > 6$. Условие выполняется.
Ответ: 0.5.

г) Исходное уравнение: $lg(x^2 - 125) = lg(x - 6) + 2$.
Представим 2 как десятичный логарифм: $2 = 2 \cdot lg(10) = lg(10^2) = lg(100)$.
$lg(x^2 - 125) = lg(x - 6) + lg(100)$
По свойству суммы логарифмов:
$lg(x^2 - 125) = lg(100 \cdot (x - 6))$
ОДЗ:
$ \begin{cases} x^2 - 125 > 0 \implies x^2 > 125 \implies x \in (-\infty; -5\sqrt{5}) \cup (5\sqrt{5}; +\infty) \\ x - 6 > 0 \implies x > 6 \end{cases} $
Так как $5\sqrt{5} \approx 11.18$, то общим условием ОДЗ является $x > 5\sqrt{5}$.
Решаем уравнение:
$x^2 - 125 = 100(x - 6)$
$x^2 - 125 = 100x - 600$
$x^2 - 100x + 475 = 0$
Решим квадратное уравнение через дискриминант:
$D = b^2 - 4ac = (-100)^2 - 4 \cdot 1 \cdot 475 = 10000 - 1900 = 8100$
$\sqrt{D} = 90$
$x_1 = \frac{-b + \sqrt{D}}{2a} = \frac{100 + 90}{2} = \frac{190}{2} = 95$
$x_2 = \frac{-b - \sqrt{D}}{2a} = \frac{100 - 90}{2} = \frac{10}{2} = 5$
Проверим корни на соответствие ОДЗ $x > 5\sqrt{5}$ (т.е. $x > 11.18$).
Корень $x_1 = 95$: $95 > 11.18$. Корень подходит.
Корень $x_2 = 5$: $5 \ngtr 11.18$. Корень не подходит.
Ответ: 95.

Помогло решение? Оставьте отзыв в комментариях ниже.

Присоединяйтесь к Телеграм-группе @gdz_by_belarus

Присоединиться

Мы подготовили для вас ответ c подробным объяснением домашего задания по алгебре за 11 класс, для упражнения номер 252 расположенного на странице 197 к учебнику 2020 года издания для учащихся школ и гимназий.

Теперь на нашем сайте ГДЗ.ТОП вы всегда легко и бесплатно найдёте условие с правильным ответом на вопрос «Как решить ДЗ» и «Как сделать» задание по алгебре к упражнению №252 (с. 197), авторов: Арефьева (Ирина Глебовна), Пирютко (Ольга Николаевна), учебного пособия издательства Народная асвета.