Номер 248, страница 196 - гдз по алгебре 11 класс учебник Арефьева, Пирютко

Алгебра, 11 класс Учебник, авторы: Арефьева Ирина Глебовна, Пирютко Ольга Николаевна, издательство Народная асвета, Минск, 2020, бирюзового цвета

Авторы: Арефьева И. Г., Пирютко О. Н.

Тип: Учебник

Издательство: Народная асвета

Год издания: 2020 - 2025

Цвет обложки: бирюзовый, зелёный с графиком

ISBN: 978-985-03-3165-6

Популярные ГДЗ в 11 классе

Упражнения для итогового повторения. Выражения и их преобразования - номер 248, страница 196.

№248 (с. 196)
Условие. №248 (с. 196)
скриншот условия
Алгебра, 11 класс Учебник, авторы: Арефьева Ирина Глебовна, Пирютко Ольга Николаевна, издательство Народная асвета, Минск, 2020, бирюзового цвета, страница 196, номер 248, Условие

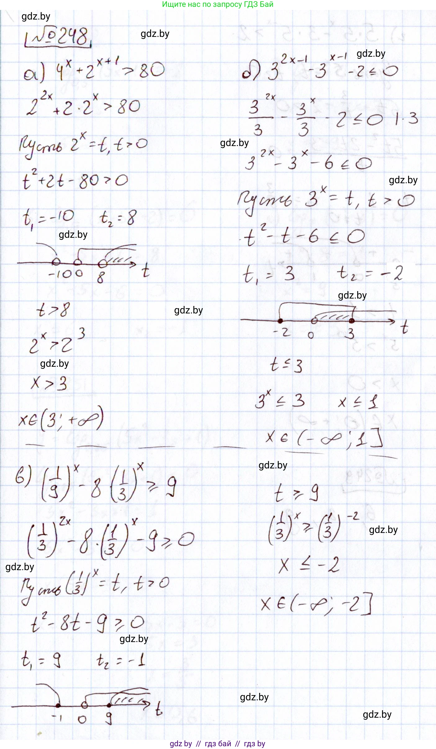
248. Решите неравенство, используя метод замены переменной:

а) $4^x + 2^{2x+1} > 80;$

б) $3^{2x-1} - 3^{x-1} - 2 \le 0;$

в) $(\frac{1}{9})^x - 8 \cdot (\frac{1}{3})^x \ge 9;$

г) $5 \cdot 5^x - 3 \cdot 5^{-x} > 2.$

Решение. №248 (с. 196)
Алгебра, 11 класс Учебник, авторы: Арефьева Ирина Глебовна, Пирютко Ольга Николаевна, издательство Народная асвета, Минск, 2020, бирюзового цвета, страница 196, номер 248, Решение Алгебра, 11 класс Учебник, авторы: Арефьева Ирина Глебовна, Пирютко Ольга Николаевна, издательство Народная асвета, Минск, 2020, бирюзового цвета, страница 196, номер 248, Решение (продолжение 2)
Решение 2. №248 (с. 196)

а) Исходное неравенство: $4^x + 2^{x+1} > 80$.

Преобразуем неравенство, приведя все степени к одному основанию 2:

$ (2^2)^x + 2^x \cdot 2^1 > 80 $

$ (2^x)^2 + 2 \cdot 2^x - 80 > 0 $

Сделаем замену переменной. Пусть $t = 2^x$. Так как показательная функция всегда положительна, то $t > 0$.

Получаем квадратное неравенство относительно $t$:

$ t^2 + 2t - 80 > 0 $

Найдем корни соответствующего квадратного уравнения $t^2 + 2t - 80 = 0$.

Используя дискриминант: $D = 2^2 - 4 \cdot 1 \cdot (-80) = 4 + 320 = 324 = 18^2$.

Корни уравнения: $ t_1 = \frac{-2 - 18}{2} = -10 $, $ t_2 = \frac{-2 + 18}{2} = 8$.

Парабола $y=t^2+2t-80$ ветвями вверх, поэтому неравенство $t^2 + 2t - 80 > 0$ выполняется при $t < -10$ или $t > 8$.

Учитывая условие $t > 0$, получаем $t > 8$.

Выполним обратную замену:

$ 2^x > 8 $

$ 2^x > 2^3 $

Так как основание степени $2 > 1$, показательная функция является возрастающей, поэтому при переходе к неравенству для показателей знак неравенства сохраняется:

$ x > 3 $

Ответ: $x \in (3; +\infty)$.

б) Исходное неравенство: $3^{2x-1} - 3^{x-1} - 2 \le 0$.

Преобразуем неравенство, используя свойства степеней:

$ 3^{2x} \cdot 3^{-1} - 3^x \cdot 3^{-1} - 2 \le 0 $

$ \frac{1}{3}(3^x)^2 - \frac{1}{3} \cdot 3^x - 2 \le 0 $

Умножим обе части неравенства на 3, чтобы избавиться от дробей:

$ (3^x)^2 - 3^x - 6 \le 0 $

Сделаем замену переменной. Пусть $t = 3^x$. Так как $3^x > 0$, то $t > 0$.

Получаем квадратное неравенство:

$ t^2 - t - 6 \le 0 $

Найдем корни уравнения $t^2 - t - 6 = 0$.

По теореме Виета, корни $t_1 = -2$ и $t_2 = 3$.

Парабола $y=t^2-t-6$ ветвями вверх, поэтому неравенство $t^2 - t - 6 \le 0$ выполняется при $-2 \le t \le 3$.

Учитывая условие $t > 0$, получаем $0 < t \le 3$.

Выполним обратную замену:

$ 0 < 3^x \le 3 $

Неравенство $3^x > 0$ выполняется для любого $x$. Решим неравенство $3^x \le 3$.

$ 3^x \le 3^1 $

Так как основание $3 > 1$, функция возрастающая, знак неравенства сохраняется:

$ x \le 1 $

Ответ: $x \in (-\infty; 1]$.

в) Исходное неравенство: $(\frac{1}{9})^x - 8 \cdot (\frac{1}{3})^x \ge 9$.

Преобразуем неравенство, заметив, что $\frac{1}{9} = (\frac{1}{3})^2$:

$ ((\frac{1}{3})^2)^x - 8 \cdot (\frac{1}{3})^x - 9 \ge 0 $

$ ((\frac{1}{3})^x)^2 - 8 \cdot (\frac{1}{3})^x - 9 \ge 0 $

Сделаем замену. Пусть $t = (\frac{1}{3})^x$. Так как $(\frac{1}{3})^x > 0$, то $t > 0$.

Получаем неравенство:

$ t^2 - 8t - 9 \ge 0 $

Найдем корни уравнения $t^2 - 8t - 9 = 0$.

По теореме Виета, корни $t_1 = -1$ и $t_2 = 9$.

Решением неравенства $t^2 - 8t - 9 \ge 0$ является $t \le -1$ или $t \ge 9$.

С учетом условия $t > 0$, получаем $t \ge 9$.

Выполним обратную замену:

$ (\frac{1}{3})^x \ge 9 $

Представим 9 как степень с основанием $\frac{1}{3}$: $9 = 3^2 = (\frac{1}{3})^{-2}$.

$ (\frac{1}{3})^x \ge (\frac{1}{3})^{-2} $

Так как основание $0 < \frac{1}{3} < 1$, показательная функция является убывающей, поэтому при переходе к неравенству для показателей знак неравенства меняется на противоположный:

$ x \le -2 $

Ответ: $x \in (-\infty; -2]$.

г) Исходное неравенство: $5 \cdot 5^x - 3 \cdot 5^{-x} > 2$.

Преобразуем неравенство, используя свойство $a^{-n} = \frac{1}{a^n}$:

$ 5 \cdot 5^x - 3 \cdot \frac{1}{5^x} - 2 > 0 $

Сделаем замену. Пусть $t = 5^x$. Так как $5^x > 0$, то $t > 0$.

Получаем неравенство:

$ 5t - \frac{3}{t} - 2 > 0 $

Так как $t > 0$, умножим обе части на $t$, сохранив знак неравенства:

$ 5t^2 - 3 - 2t > 0 $

$ 5t^2 - 2t - 3 > 0 $

Найдем корни уравнения $5t^2 - 2t - 3 = 0$.

Дискриминант: $D = (-2)^2 - 4 \cdot 5 \cdot (-3) = 4 + 60 = 64 = 8^2$.

Корни: $t_1 = \frac{2 - 8}{2 \cdot 5} = \frac{-6}{10} = -0.6$, $t_2 = \frac{2 + 8}{2 \cdot 5} = \frac{10}{10} = 1$.

Решением неравенства $5t^2 - 2t - 3 > 0$ является $t < -0.6$ или $t > 1$.

С учетом условия $t > 0$, получаем $t > 1$.

Выполним обратную замену:

$ 5^x > 1 $

$ 5^x > 5^0 $

Так как основание $5 > 1$, функция возрастающая, знак неравенства сохраняется:

$ x > 0 $

Ответ: $x \in (0; +\infty)$.

Помогло решение? Оставьте отзыв в комментариях ниже.

Присоединяйтесь к Телеграм-группе @gdz_by_belarus

Присоединиться

Мы подготовили для вас ответ c подробным объяснением домашего задания по алгебре за 11 класс, для упражнения номер 248 расположенного на странице 196 к учебнику 2020 года издания для учащихся школ и гимназий.

Теперь на нашем сайте ГДЗ.ТОП вы всегда легко и бесплатно найдёте условие с правильным ответом на вопрос «Как решить ДЗ» и «Как сделать» задание по алгебре к упражнению №248 (с. 196), авторов: Арефьева (Ирина Глебовна), Пирютко (Ольга Николаевна), учебного пособия издательства Народная асвета.