Номер 254, страница 197 - гдз по алгебре 11 класс учебник Арефьева, Пирютко

Алгебра, 11 класс Учебник, авторы: Арефьева Ирина Глебовна, Пирютко Ольга Николаевна, издательство Народная асвета, Минск, 2020, бирюзового цвета

Авторы: Арефьева И. Г., Пирютко О. Н.

Тип: Учебник

Издательство: Народная асвета

Год издания: 2020 - 2025

Цвет обложки: бирюзовый, зелёный с графиком

ISBN: 978-985-03-3165-6

Популярные ГДЗ в 11 классе

Упражнения для итогового повторения. Выражения и их преобразования - номер 254, страница 197.

№254 (с. 197)
Условие. №254 (с. 197)
скриншот условия
Алгебра, 11 класс Учебник, авторы: Арефьева Ирина Глебовна, Пирютко Ольга Николаевна, издательство Народная асвета, Минск, 2020, бирюзового цвета, страница 197, номер 254, Условие

254. Используйте свойства логарифмов и решите уравнение:

a) $\log_7 x + \log_7 (x + 6) = 1;$

б) $\log_3 (x + 1) + \log_3 (x + 3) = 1;$

в) $\log_5 (x - 1) = 1 - \log_5 (x + 3);$

г) $\log_2 (x - 2) = 3 - \log_2 x;$

д) $\lg (x + 3) + \lg (x - 3) = \lg (2x - 1);$

е) $\log_4 (x + 2) + \log_4 (10 - x) = 2 + \log_4 x.$

Решение. №254 (с. 197)
Алгебра, 11 класс Учебник, авторы: Арефьева Ирина Глебовна, Пирютко Ольга Николаевна, издательство Народная асвета, Минск, 2020, бирюзового цвета, страница 197, номер 254, Решение Алгебра, 11 класс Учебник, авторы: Арефьева Ирина Глебовна, Пирютко Ольга Николаевна, издательство Народная асвета, Минск, 2020, бирюзового цвета, страница 197, номер 254, Решение (продолжение 2)
Решение 2. №254 (с. 197)

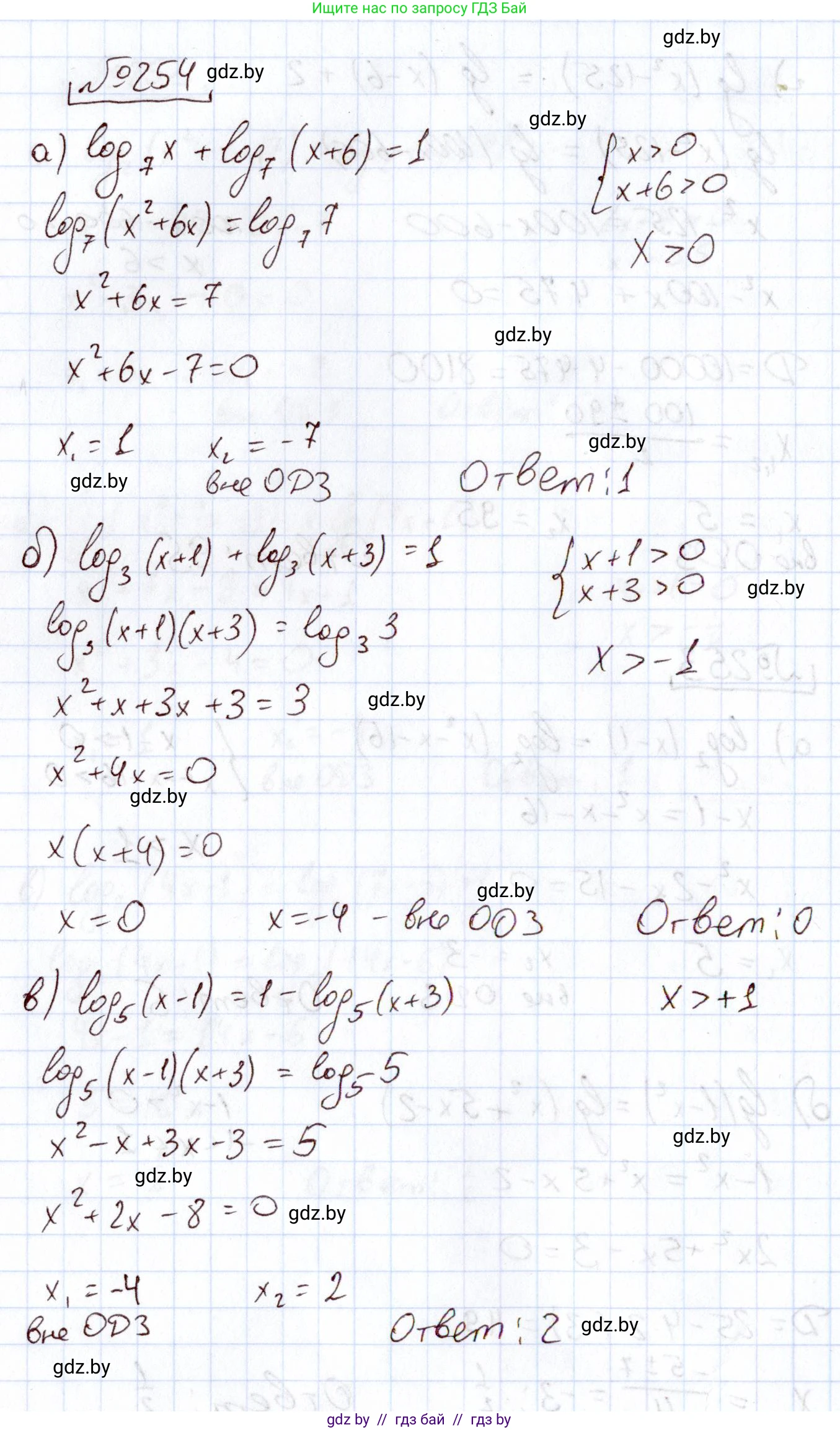
а) Исходное уравнение: $log_7 x + log_7(x + 6) = 1$.
1. Найдем область допустимых значений (ОДЗ). Аргументы логарифмов должны быть строго положительными:
$x > 0$
$x + 6 > 0 \Rightarrow x > -6$
Объединяя условия, получаем ОДЗ: $x > 0$.
2. Используем свойство суммы логарифмов $log_a b + log_a c = log_a(bc)$:
$log_7(x(x + 6)) = 1$
3. По определению логарифма ($log_a b = c \Leftrightarrow a^c = b$):
$x(x + 6) = 7^1$
$x^2 + 6x = 7$
4. Решим полученное квадратное уравнение:
$x^2 + 6x - 7 = 0$
По теореме Виета, корни уравнения: $x_1 = 1$, $x_2 = -7$.
5. Проверим корни на соответствие ОДЗ ($x > 0$):
$x_1 = 1$ — удовлетворяет ОДЗ.
$x_2 = -7$ — не удовлетворяет ОДЗ (посторонний корень).
Следовательно, решением уравнения является $x = 1$.
Ответ: 1.

б) Исходное уравнение: $log_3(x + 1) + log_3(x + 3) = 1$.
1. ОДЗ:
$x + 1 > 0 \Rightarrow x > -1$
$x + 3 > 0 \Rightarrow x > -3$
Общая ОДЗ: $x > -1$.
2. Применим свойство суммы логарифмов:
$log_3((x + 1)(x + 3)) = 1$
3. По определению логарифма:
$(x + 1)(x + 3) = 3^1$
$x^2 + 3x + x + 3 = 3$
$x^2 + 4x = 0$
4. Решим полученное неполное квадратное уравнение:
$x(x + 4) = 0$
Корни: $x_1 = 0$, $x_2 = -4$.
5. Проверим корни на соответствие ОДЗ ($x > -1$):
$x_1 = 0$ — удовлетворяет ОДЗ.
$x_2 = -4$ — не удовлетворяет ОДЗ.
Ответ: 0.

в) Исходное уравнение: $log_5(x - 1) = 1 - log_5(x + 3)$.
1. Перенесем логарифм в левую часть:
$log_5(x - 1) + log_5(x + 3) = 1$
2. ОДЗ:
$x - 1 > 0 \Rightarrow x > 1$
$x + 3 > 0 \Rightarrow x > -3$
Общая ОДЗ: $x > 1$.
3. Применим свойство суммы логарифмов:
$log_5((x - 1)(x + 3)) = 1$
4. По определению логарифма:
$(x - 1)(x + 3) = 5^1$
$x^2 + 3x - x - 3 = 5$
$x^2 + 2x - 8 = 0$
5. Решим квадратное уравнение. По теореме Виета: $x_1 = 2$, $x_2 = -4$.
6. Проверим корни на соответствие ОДЗ ($x > 1$):
$x_1 = 2$ — удовлетворяет ОДЗ.
$x_2 = -4$ — не удовлетворяет ОДЗ.
Ответ: 2.

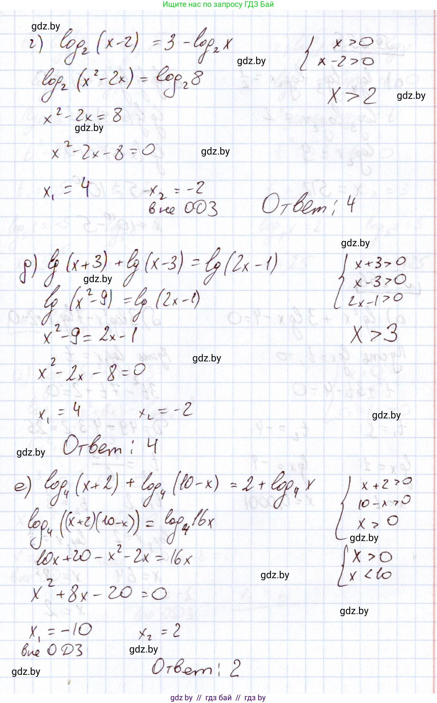
г) Исходное уравнение: $log_2(x - 2) = 3 - log_2 x$.
1. Перенесем логарифм в левую часть:
$log_2(x - 2) + log_2 x = 3$
2. ОДЗ:
$x - 2 > 0 \Rightarrow x > 2$
$x > 0$
Общая ОДЗ: $x > 2$.
3. Применим свойство суммы логарифмов:
$log_2(x(x - 2)) = 3$
4. По определению логарифма:
$x(x - 2) = 2^3$
$x^2 - 2x = 8$
$x^2 - 2x - 8 = 0$
5. Решим квадратное уравнение. По теореме Виета: $x_1 = 4$, $x_2 = -2$.
6. Проверим корни на соответствие ОДЗ ($x > 2$):
$x_1 = 4$ — удовлетворяет ОДЗ.
$x_2 = -2$ — не удовлетворяет ОДЗ.
Ответ: 4.

д) Исходное уравнение: $lg(x + 3) + lg(x - 3) = lg(2x - 1)$. (lg — десятичный логарифм, $log_{10}$)
1. ОДЗ:
$x + 3 > 0 \Rightarrow x > -3$
$x - 3 > 0 \Rightarrow x > 3$
$2x - 1 > 0 \Rightarrow x > 0.5$
Общая ОДЗ: $x > 3$.
2. Применим свойство суммы логарифмов к левой части:
$lg((x + 3)(x - 3)) = lg(2x - 1)$
$lg(x^2 - 9) = lg(2x - 1)$
3. Так как основания логарифмов равны, приравниваем их аргументы:
$x^2 - 9 = 2x - 1$
$x^2 - 2x - 8 = 0$
4. Корни этого уравнения: $x_1 = 4$, $x_2 = -2$.
5. Проверим корни на соответствие ОДЗ ($x > 3$):
$x_1 = 4$ — удовлетворяет ОДЗ.
$x_2 = -2$ — не удовлетворяет ОДЗ.
Ответ: 4.

е) Исходное уравнение: $log_4(x + 2) + log_4(10 - x) = 2 + log_4 x$.
1. ОДЗ:
$x + 2 > 0 \Rightarrow x > -2$
$10 - x > 0 \Rightarrow x < 10$
$x > 0$
Общая ОДЗ: $0 < x < 10$.
2. Перенесем $log_4 x$ в левую часть и представим 2 как логарифм по основанию 4 ($2 = log_4 4^2 = log_4 16$):
$log_4(x + 2) + log_4(10 - x) - log_4 x = 2$
3. Используем свойства логарифмов ($log_a b + log_a c - log_a d = log_a \frac{bc}{d}$):
$log_4\frac{(x + 2)(10 - x)}{x} = 2$
4. По определению логарифма:
$\frac{(x + 2)(10 - x)}{x} = 4^2$
$\frac{10x - x^2 + 20 - 2x}{x} = 16$
$\frac{-x^2 + 8x + 20}{x} = 16$
5. Решим уравнение (учитывая, что $x \neq 0$ из ОДЗ):
$-x^2 + 8x + 20 = 16x$
$-x^2 - 8x + 20 = 0$
$x^2 + 8x - 20 = 0$
6. Решим квадратное уравнение. По теореме Виета: $x_1 = 2$, $x_2 = -10$.
7. Проверим корни на соответствие ОДЗ ($0 < x < 10$):
$x_1 = 2$ — удовлетворяет ОДЗ.
$x_2 = -10$ — не удовлетворяет ОДЗ.
Ответ: 2.

Помогло решение? Оставьте отзыв в комментариях ниже.

Присоединяйтесь к Телеграм-группе @gdz_by_belarus

Присоединиться

Мы подготовили для вас ответ c подробным объяснением домашего задания по алгебре за 11 класс, для упражнения номер 254 расположенного на странице 197 к учебнику 2020 года издания для учащихся школ и гимназий.

Теперь на нашем сайте ГДЗ.ТОП вы всегда легко и бесплатно найдёте условие с правильным ответом на вопрос «Как решить ДЗ» и «Как сделать» задание по алгебре к упражнению №254 (с. 197), авторов: Арефьева (Ирина Глебовна), Пирютко (Ольга Николаевна), учебного пособия издательства Народная асвета.