Номер 247, страница 196 - гдз по алгебре 11 класс учебник Арефьева, Пирютко

Алгебра, 11 класс Учебник, авторы: Арефьева Ирина Глебовна, Пирютко Ольга Николаевна, издательство Народная асвета, Минск, 2020, бирюзового цвета

Авторы: Арефьева И. Г., Пирютко О. Н.

Тип: Учебник

Издательство: Народная асвета

Год издания: 2020 - 2025

Цвет обложки: бирюзовый, зелёный с графиком

ISBN: 978-985-03-3165-6

Популярные ГДЗ в 11 классе

Упражнения для итогового повторения. Выражения и их преобразования - номер 247, страница 196.

№247 (с. 196)
Условие. №247 (с. 196)
скриншот условия
Алгебра, 11 класс Учебник, авторы: Арефьева Ирина Глебовна, Пирютко Ольга Николаевна, издательство Народная асвета, Минск, 2020, бирюзового цвета, страница 196, номер 247, Условие

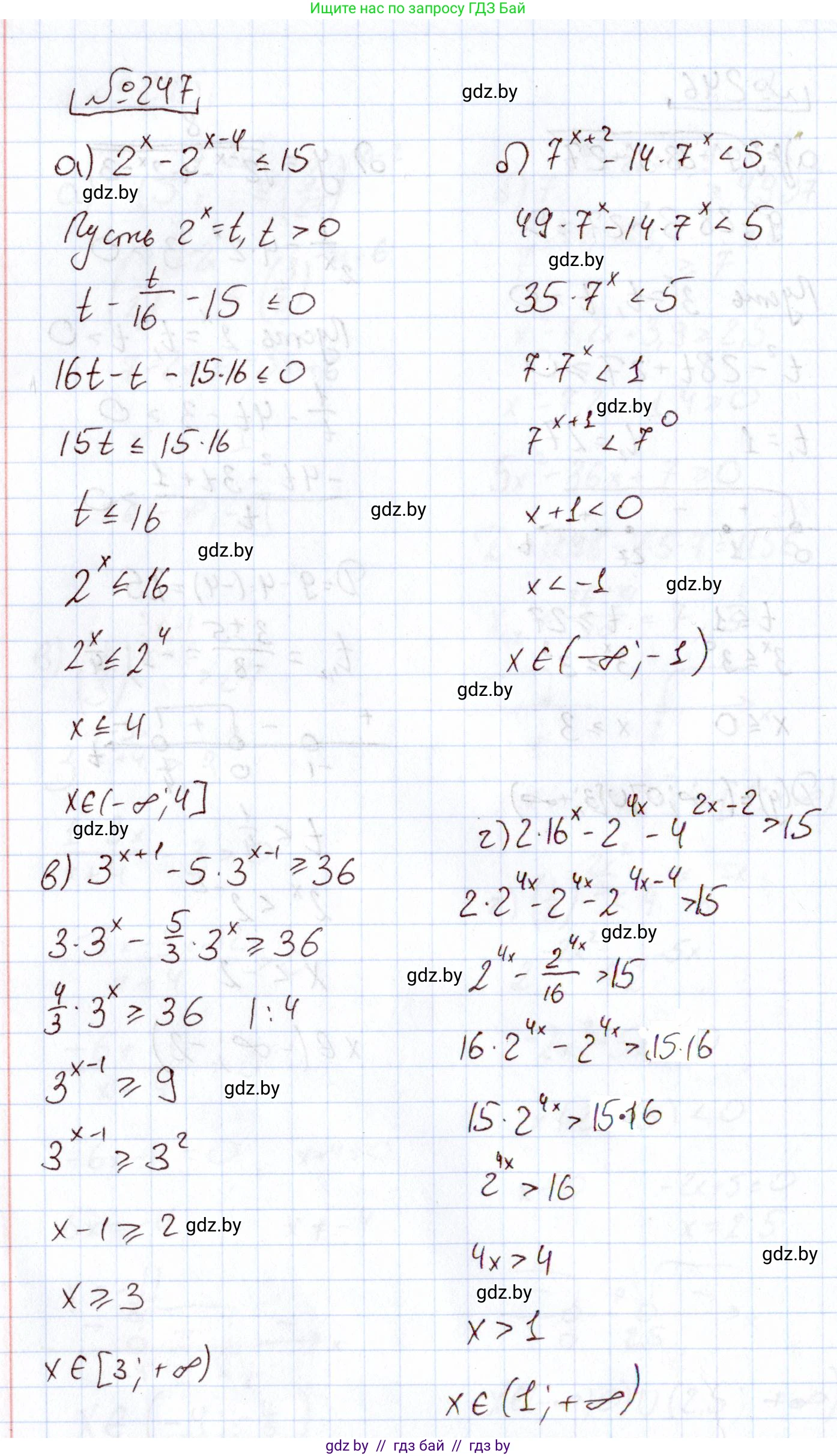
247. Решите неравенство:

а) $2^x - 2^{x-4} \le 15$;

б) $7^{x+2} - 14 \cdot 7^x < 5$;

В) $3^{x+1} - 5 \cdot 3^{x-1} \ge 36$;

Г) $2 \cdot 16^x - 2^{4x} - 4^{2x-2} > 15$.

Решение. №247 (с. 196)
Алгебра, 11 класс Учебник, авторы: Арефьева Ирина Глебовна, Пирютко Ольга Николаевна, издательство Народная асвета, Минск, 2020, бирюзового цвета, страница 196, номер 247, Решение
Решение 2. №247 (с. 196)

а) $2^x - 2^{x-4} \le 15$

Преобразуем левую часть неравенства, используя свойство степени $a^{m-n} = \frac{a^m}{a^n}$:

$2^x - \frac{2^x}{2^4} \le 15$

$2^x - \frac{2^x}{16} \le 15$

Вынесем общий множитель $2^x$ за скобки:

$2^x(1 - \frac{1}{16}) \le 15$

$2^x(\frac{16-1}{16}) \le 15$

$2^x \cdot \frac{15}{16} \le 15$

Разделим обе части неравенства на $\frac{15}{16}$ (знак неравенства не меняется, так как делим на положительное число):

$2^x \le 15 \cdot \frac{16}{15}$

$2^x \le 16$

Представим 16 как степень двойки: $16 = 2^4$.

$2^x \le 2^4$

Так как основание степени $2 > 1$, показательная функция является возрастающей, поэтому можно перейти к сравнению показателей:

$x \le 4$

Ответ: $x \in (-\infty, 4]$.

б) $7^{x+2} - 14 \cdot 7^x < 5$

Используем свойство степени $a^{m+n} = a^m \cdot a^n$:

$7^x \cdot 7^2 - 14 \cdot 7^x < 5$

$49 \cdot 7^x - 14 \cdot 7^x < 5$

Вынесем общий множитель $7^x$ за скобки:

$7^x(49 - 14) < 5$

$7^x \cdot 35 < 5$

Разделим обе части на 35:

$7^x < \frac{5}{35}$

$7^x < \frac{1}{7}$

Представим $\frac{1}{7}$ как степень семерки: $\frac{1}{7} = 7^{-1}$.

$7^x < 7^{-1}$

Так как основание $7 > 1$, показательная функция является возрастающей, поэтому переходим к сравнению показателей:

$x < -1$

Ответ: $x \in (-\infty, -1)$.

в) $3^{x+1} - 5 \cdot 3^{x-1} \ge 36$

Преобразуем члены с переменной $x$, используя свойства степеней:

$3^x \cdot 3^1 - 5 \cdot \frac{3^x}{3^1} \ge 36$

$3 \cdot 3^x - \frac{5}{3} \cdot 3^x \ge 36$

Вынесем $3^x$ за скобки:

$3^x(3 - \frac{5}{3}) \ge 36$

$3^x(\frac{9-5}{3}) \ge 36$

$3^x \cdot \frac{4}{3} \ge 36$

Умножим обе части на $\frac{3}{4}$:

$3^x \ge 36 \cdot \frac{3}{4}$

$3^x \ge 9 \cdot 3$

$3^x \ge 27$

Представим 27 как степень тройки: $27 = 3^3$.

$3^x \ge 3^3$

Так как основание $3 > 1$, показательная функция возрастает, поэтому переходим к сравнению показателей:

$x \ge 3$

Ответ: $x \in [3, +\infty)$.

г) $2 \cdot 16^x - 2^{4x} - 4^{2x-2} > 15$

Приведем все степени к одному основанию 2:

$16^x = (2^4)^x = 2^{4x}$

$4^{2x-2} = (2^2)^{2x-2} = 2^{2(2x-2)} = 2^{4x-4}$

Подставим эти выражения в неравенство:

$2 \cdot 2^{4x} - 2^{4x} - 2^{4x-4} > 15$

Упростим левую часть:

$(2-1) \cdot 2^{4x} - 2^{4x-4} > 15$

$2^{4x} - 2^{4x} \cdot 2^{-4} > 15$

$2^{4x} - \frac{2^{4x}}{16} > 15$

Вынесем $2^{4x}$ за скобки:

$2^{4x}(1 - \frac{1}{16}) > 15$

$2^{4x} \cdot \frac{15}{16} > 15$

Разделим обе части на $\frac{15}{16}$:

$2^{4x} > 15 \cdot \frac{16}{15}$

$2^{4x} > 16$

Представим 16 как $2^4$:

$2^{4x} > 2^4$

Так как основание $2 > 1$, показательная функция возрастает, поэтому переходим к сравнению показателей:

$4x > 4$

$x > 1$

Ответ: $x \in (1, +\infty)$.

Помогло решение? Оставьте отзыв в комментариях ниже.

Присоединяйтесь к Телеграм-группе @gdz_by_belarus

Присоединиться

Мы подготовили для вас ответ c подробным объяснением домашего задания по алгебре за 11 класс, для упражнения номер 247 расположенного на странице 196 к учебнику 2020 года издания для учащихся школ и гимназий.

Теперь на нашем сайте ГДЗ.ТОП вы всегда легко и бесплатно найдёте условие с правильным ответом на вопрос «Как решить ДЗ» и «Как сделать» задание по алгебре к упражнению №247 (с. 196), авторов: Арефьева (Ирина Глебовна), Пирютко (Ольга Николаевна), учебного пособия издательства Народная асвета.