Номер 244, страница 196 - гдз по алгебре 11 класс учебник Арефьева, Пирютко

Алгебра, 11 класс Учебник, авторы: Арефьева Ирина Глебовна, Пирютко Ольга Николаевна, издательство Народная асвета, Минск, 2020, бирюзового цвета

Авторы: Арефьева И. Г., Пирютко О. Н.

Тип: Учебник

Издательство: Народная асвета

Год издания: 2020 - 2025

Цвет обложки: бирюзовый, зелёный с графиком

ISBN: 978-985-03-3165-6

Популярные ГДЗ в 11 классе

Упражнения для итогового повторения. Выражения и их преобразования - номер 244, страница 196.

№244 (с. 196)
Условие. №244 (с. 196)
скриншот условия
Алгебра, 11 класс Учебник, авторы: Арефьева Ирина Глебовна, Пирютко Ольга Николаевна, издательство Народная асвета, Минск, 2020, бирюзового цвета, страница 196, номер 244, Условие

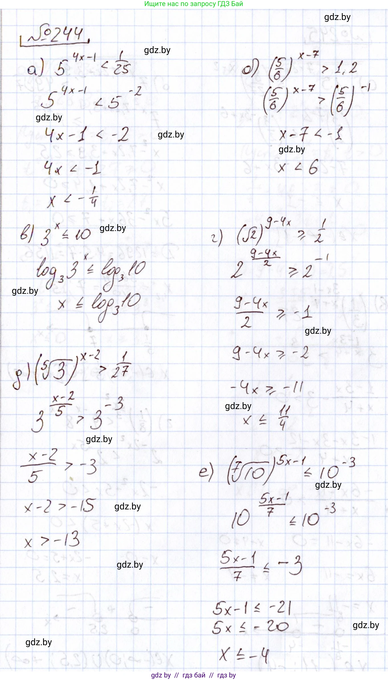
244. Решите неравенство, используя свойства степеней и свойства показательной функции:

а) $5^{4x-1} < \frac{1}{25}$;

б) $(\frac{5}{6})^{x-7} > 1,2$;

в) $3^x \le 10$;

г) $(\sqrt{2})^{9-4x} \ge \frac{1}{2}$;

д) $(\sqrt[5]{3})^{x-2} > \frac{1}{27}$;

е) $(\sqrt[7]{10})^{5x-1} \le 0,001.

$a^{f(x)} > a^{g(x)}$

Если $a > 1$, то $f(x) > g(x)$

Если $0 < a < 1$, то $f(x) < g(x)$

Решение. №244 (с. 196)
Алгебра, 11 класс Учебник, авторы: Арефьева Ирина Глебовна, Пирютко Ольга Николаевна, издательство Народная асвета, Минск, 2020, бирюзового цвета, страница 196, номер 244, Решение
Решение 2. №244 (с. 196)

а) $5^{4x-1} < \frac{1}{25}$

Приведем обе части неравенства к одному основанию 5.
Правая часть: $\frac{1}{25} = \frac{1}{5^2} = 5^{-2}$.
Неравенство принимает вид: $5^{4x-1} < 5^{-2}$.
Так как основание степени $a = 5 > 1$, показательная функция является возрастающей. При переходе к неравенству для показателей степеней знак неравенства сохраняется:
$4x - 1 < -2$
$4x < -2 + 1$
$4x < -1$
$x < -\frac{1}{4}$
Ответ: $x \in (-\infty; -\frac{1}{4})$.

б) $(\frac{5}{6})^{x-7} > 1,2$

Приведем обе части неравенства к одному основанию $\frac{5}{6}$.
Правая часть: $1,2 = \frac{12}{10} = \frac{6}{5} = (\frac{5}{6})^{-1}$.
Неравенство принимает вид: $(\frac{5}{6})^{x-7} > (\frac{5}{6})^{-1}$.
Так как основание степени $a = \frac{5}{6}$ находится в интервале $(0; 1)$, показательная функция является убывающей. При переходе к неравенству для показателей степеней знак неравенства меняется на противоположный:
$x - 7 < -1$
$x < -1 + 7$
$x < 6$
Ответ: $x \in (-\infty; 6)$.

в) $3^x \le 10$

В данном неравенстве правую часть нельзя представить в виде степени с целым или рациональным показателем с основанием 3. Поэтому прологарифмируем обе части неравенства по основанию 3.
$\log_3(3^x) \le \log_3(10)$
Так как основание логарифма $a=3 > 1$, логарифмическая функция $y = \log_3(t)$ является возрастающей, поэтому при логарифмировании знак неравенства сохраняется.
Используя свойство логарифма $\log_a(a^b) = b$, получаем:
$x \le \log_3(10)$
Ответ: $x \in (-\infty; \log_3(10)]$.

г) $(\sqrt{2})^{9-4x} \ge \frac{1}{2}$

Приведем обе части неравенства к основанию 2.
Левая часть: $(\sqrt{2})^{9-4x} = (2^{\frac{1}{2}})^{9-4x} = 2^{\frac{9-4x}{2}}$.
Правая часть: $\frac{1}{2} = 2^{-1}$.
Неравенство принимает вид: $2^{\frac{9-4x}{2}} \ge 2^{-1}$.
Так как основание $a=2 > 1$, показательная функция является возрастающей, поэтому знак неравенства сохраняется.
$\frac{9-4x}{2} \ge -1$
$9 - 4x \ge -2$
$-4x \ge -2 - 9$
$-4x \ge -11$
При делении на отрицательное число (-4) знак неравенства меняется на противоположный:
$x \le \frac{11}{4}$
Ответ: $x \in (-\infty; \frac{11}{4}]$.

д) $(\sqrt[5]{3})^{x-2} > \frac{1}{27}$

Приведем обе части неравенства к основанию 3.
Левая часть: $(\sqrt[5]{3})^{x-2} = (3^{\frac{1}{5}})^{x-2} = 3^{\frac{x-2}{5}}$.
Правая часть: $\frac{1}{27} = \frac{1}{3^3} = 3^{-3}$.
Неравенство принимает вид: $3^{\frac{x-2}{5}} > 3^{-3}$.
Так как основание $a=3 > 1$, показательная функция является возрастающей, поэтому знак неравенства сохраняется.
$\frac{x-2}{5} > -3$
$x-2 > -15$
$x > -15 + 2$
$x > -13$
Ответ: $x \in (-13; +\infty)$.

е) $(\sqrt[7]{10})^{5x-1} < 0,001$

Приведем обе части неравенства к основанию 10.
Левая часть: $(\sqrt[7]{10})^{5x-1} = (10^{\frac{1}{7}})^{5x-1} = 10^{\frac{5x-1}{7}}$.
Правая часть: $0,001 = \frac{1}{1000} = \frac{1}{10^3} = 10^{-3}$.
Неравенство принимает вид: $10^{\frac{5x-1}{7}} < 10^{-3}$.
Так как основание $a=10 > 1$, показательная функция является возрастающей, поэтому знак неравенства сохраняется.
$\frac{5x-1}{7} < -3$
$5x-1 < -21$
$5x < -21 + 1$
$5x < -20$
$x < -4$
Ответ: $x \in (-\infty; -4)$.

Помогло решение? Оставьте отзыв в комментариях ниже.

Присоединяйтесь к Телеграм-группе @gdz_by_belarus

Присоединиться

Мы подготовили для вас ответ c подробным объяснением домашего задания по алгебре за 11 класс, для упражнения номер 244 расположенного на странице 196 к учебнику 2020 года издания для учащихся школ и гимназий.

Теперь на нашем сайте ГДЗ.ТОП вы всегда легко и бесплатно найдёте условие с правильным ответом на вопрос «Как решить ДЗ» и «Как сделать» задание по алгебре к упражнению №244 (с. 196), авторов: Арефьева (Ирина Глебовна), Пирютко (Ольга Николаевна), учебного пособия издательства Народная асвета.