Номер 261, страница 198 - гдз по алгебре 11 класс учебник Арефьева, Пирютко

Алгебра, 11 класс Учебник, авторы: Арефьева Ирина Глебовна, Пирютко Ольга Николаевна, издательство Народная асвета, Минск, 2020, бирюзового цвета

Авторы: Арефьева И. Г., Пирютко О. Н.

Тип: Учебник

Издательство: Народная асвета

Год издания: 2020 - 2025

Цвет обложки: бирюзовый, зелёный с графиком

ISBN: 978-985-03-3165-6

Популярные ГДЗ в 11 классе

Упражнения для итогового повторения. Выражения и их преобразования - номер 261, страница 198.

№261 (с. 198)
Условие. №261 (с. 198)
скриншот условия
Алгебра, 11 класс Учебник, авторы: Арефьева Ирина Глебовна, Пирютко Ольга Николаевна, издательство Народная асвета, Минск, 2020, бирюзового цвета, страница 198, номер 261, Условие

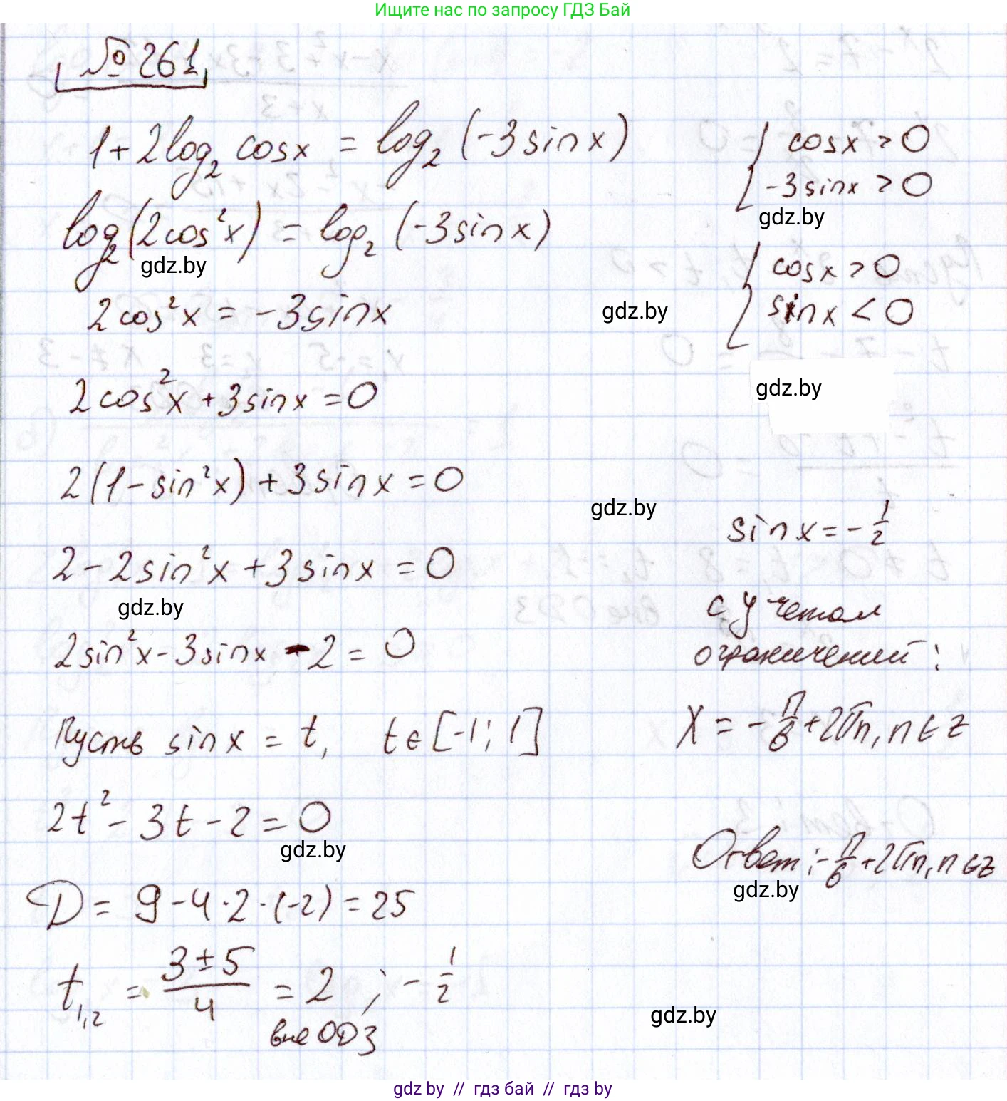
261. Найдите все корни уравнения $1 + 2\log_2 \cos x = \log_2 (-3\sin x)$.

Решение. №261 (с. 198)
Алгебра, 11 класс Учебник, авторы: Арефьева Ирина Глебовна, Пирютко Ольга Николаевна, издательство Народная асвета, Минск, 2020, бирюзового цвета, страница 198, номер 261, Решение
Решение 2. №261 (с. 198)

Данное уравнение: $1 + 2\log_2(\cos x) = \log_2(-3\sin x)$.

В первую очередь определим область допустимых значений (ОДЗ). Для существования логарифмов их аргументы должны быть строго положительными. Это приводит к системе неравенств:

$\begin{cases} \cos x > 0 \\ -3\sin x > 0 \end{cases}$

Из второго неравенства следует, что $\sin x < 0$. Условия $\cos x > 0$ и $\sin x < 0$ выполняются одновременно, когда угол $x$ находится в IV координатной четверти. Следовательно, ОДЗ задается как $x \in (2\pi n - \frac{\pi}{2}; 2\pi n)$, где $n$ — любое целое число ($n \in \mathbb{Z}$).

Теперь приступим к решению уравнения. Используем свойства логарифмов для преобразования левой части. Представим единицу как логарифм по основанию 2: $1 = \log_2 2$.

$\log_2 2 + 2\log_2(\cos x) = \log_2(-3\sin x)$

Применим свойство степени логарифма $k \cdot \log_a b = \log_a(b^k)$:

$\log_2 2 + \log_2(\cos^2 x) = \log_2(-3\sin x)$

Далее применим свойство суммы логарифмов $\log_a b + \log_a c = \log_a(b \cdot c)$:

$\log_2(2\cos^2 x) = \log_2(-3\sin x)$

Поскольку основания логарифмов в обеих частях уравнения равны, мы можем приравнять их аргументы:

$2\cos^2 x = -3\sin x$

Чтобы решить это тригонометрическое уравнение, воспользуемся основным тригонометрическим тождеством $\cos^2 x = 1 - \sin^2 x$ для того, чтобы выразить все через одну функцию — синус:

$2(1 - \sin^2 x) = -3\sin x$

$2 - 2\sin^2 x = -3\sin x$

Перенесем все члены в одну часть, чтобы получить квадратное уравнение относительно $\sin x$:

$2\sin^2 x - 3\sin x - 2 = 0$

Произведем замену переменной. Пусть $t = \sin x$, при этом должно выполняться условие $|t| \le 1$.

$2t^2 - 3t - 2 = 0$

Решим это квадратное уравнение. Найдем дискриминант: $D = b^2 - 4ac = (-3)^2 - 4(2)(-2) = 9 + 16 = 25$.

Корни уравнения для $t$ равны:

$t_1 = \frac{-b + \sqrt{D}}{2a} = \frac{3 + \sqrt{25}}{4} = \frac{3+5}{4} = \frac{8}{4} = 2$

$t_2 = \frac{-b - \sqrt{D}}{2a} = \frac{3 - \sqrt{25}}{4} = \frac{3-5}{4} = -\frac{2}{4} = -\frac{1}{2}$

Теперь выполним обратную замену.

1. $t_1 = 2 \implies \sin x = 2$. Это уравнение не имеет решений, так как значение синуса не может превышать 1.

2. $t_2 = -\frac{1}{2} \implies \sin x = -\frac{1}{2}$. Это уравнение имеет две серии решений:
$x = -\frac{\pi}{6} + 2\pi k$, $k \in \mathbb{Z}$
$x = -\frac{5\pi}{6} + 2\pi k$, $k \in \mathbb{Z}$ (что эквивалентно $x = \frac{7\pi}{6} + 2\pi m$, $m \in \mathbb{Z}$)

На последнем шаге необходимо проверить, принадлежат ли найденные корни ОДЗ (то есть, находятся ли они в IV четверти).

Для серии $x = -\frac{\pi}{6} + 2\pi k$: эти углы всегда находятся в IV четверти. При этом $\sin x = -1/2 < 0$ и $\cos x = \cos(-\pi/6) = \sqrt{3}/2 > 0$. Оба условия ОДЗ выполняются. Значит, эта серия является решением.

Для серии $x = -\frac{5\pi}{6} + 2\pi k$: эти углы всегда находятся в III четверти. При этом $\sin x = -1/2 < 0$ (условие выполняется), но $\cos x = \cos(-5\pi/6) = -\sqrt{3}/2 < 0$ (условие $\cos x > 0$ не выполняется). Следовательно, эта серия корней является посторонней и должна быть отброшена.

Ответ: $x = -\frac{\pi}{6} + 2\pi k$, где $k \in \mathbb{Z}$.

Помогло решение? Оставьте отзыв в комментариях ниже.

Присоединяйтесь к Телеграм-группе @gdz_by_belarus

Присоединиться

Мы подготовили для вас ответ c подробным объяснением домашего задания по алгебре за 11 класс, для упражнения номер 261 расположенного на странице 198 к учебнику 2020 года издания для учащихся школ и гимназий.

Теперь на нашем сайте ГДЗ.ТОП вы всегда легко и бесплатно найдёте условие с правильным ответом на вопрос «Как решить ДЗ» и «Как сделать» задание по алгебре к упражнению №261 (с. 198), авторов: Арефьева (Ирина Глебовна), Пирютко (Ольга Николаевна), учебного пособия издательства Народная асвета.