Номер 268, страница 200 - гдз по алгебре 11 класс учебник Арефьева, Пирютко

Алгебра, 11 класс Учебник, авторы: Арефьева Ирина Глебовна, Пирютко Ольга Николаевна, издательство Народная асвета, Минск, 2020, бирюзового цвета

Авторы: Арефьева И. Г., Пирютко О. Н.

Тип: Учебник

Издательство: Народная асвета

Год издания: 2020 - 2025

Цвет обложки: бирюзовый, зелёный с графиком

ISBN: 978-985-03-3165-6

Популярные ГДЗ в 11 классе

Упражнения для итогового повторения. Выражения и их преобразования - номер 268, страница 200.

№268 (с. 200)
Условие. №268 (с. 200)
скриншот условия
Алгебра, 11 класс Учебник, авторы: Арефьева Ирина Глебовна, Пирютко Ольга Николаевна, издательство Народная асвета, Минск, 2020, бирюзового цвета, страница 200, номер 268, Условие

268. Решите неравенство, представив число в правой его части в виде логарифма числа по заданному основанию:

а) $ \lg(x - 1) < 1 $;

б) $ \log_{\frac{1}{12}} (x^2 - x) \ge -1 $;

в) $ \log_{0.3} (5x - x^2 + 15) \le 0 $;

г) $ \log_{2} \frac{3x - 6}{x + 2} > 3 $.

Решение. №268 (с. 200)
Алгебра, 11 класс Учебник, авторы: Арефьева Ирина Глебовна, Пирютко Ольга Николаевна, издательство Народная асвета, Минск, 2020, бирюзового цвета, страница 200, номер 268, Решение Алгебра, 11 класс Учебник, авторы: Арефьева Ирина Глебовна, Пирютко Ольга Николаевна, издательство Народная асвета, Минск, 2020, бирюзового цвета, страница 200, номер 268, Решение (продолжение 2)
Решение 2. №268 (с. 200)

а) $\lg(x - 1) < 1$

Основание десятичного логарифма равно 10, что больше 1.

Сначала найдем область допустимых значений (ОДЗ). Аргумент логарифма должен быть строго положительным:
$x - 1 > 0$
$x > 1$
ОДЗ: $x \in (1; +\infty)$.

Представим правую часть неравенства в виде логарифма по основанию 10:
$1 = \lg(10^1) = \lg(10)$.
Неравенство принимает вид:
$\lg(x - 1) < \lg(10)$.

Так как основание логарифма $10 > 1$, то при переходе к неравенству для аргументов знак неравенства сохраняется:
$x - 1 < 10$
$x < 11$

Объединим полученное решение с ОДЗ. Решением является пересечение интервалов $x > 1$ и $x < 11$.
Получаем $1 < x < 11$.

Ответ: $(1; 11)$.

б) $\log_{\frac{1}{12}}(x^2 - x) \ge -1$

Основание логарифма равно $\frac{1}{12}$, что меньше 1 ($0 < \frac{1}{12} < 1$).

Найдем ОДЗ:
$x^2 - x > 0$
$x(x - 1) > 0$
Решая методом интервалов, получаем:
ОДЗ: $x \in (-\infty; 0) \cup (1; +\infty)$.

Представим правую часть в виде логарифма по основанию $\frac{1}{12}$:
$-1 = \log_{\frac{1}{12}}\left(\left(\frac{1}{12}\right)^{-1}\right) = \log_{\frac{1}{12}}(12)$.
Неравенство принимает вид:
$\log_{\frac{1}{12}}(x^2 - x) \ge \log_{\frac{1}{12}}(12)$.

Так как основание логарифма $0 < \frac{1}{12} < 1$, то при переходе к неравенству для аргументов знак неравенства меняется на противоположный:
$x^2 - x \le 12$
$x^2 - x - 12 \le 0$
Найдем корни уравнения $x^2 - x - 12 = 0$. По теореме Виета, корни $x_1 = 4$ и $x_2 = -3$.
Так как это парабола с ветвями вверх, неравенство выполняется между корнями: $x \in [-3; 4]$.

Найдем пересечение полученного решения $[-3; 4]$ с ОДЗ $(-\infty; 0) \cup (1; +\infty)$.
Пересечение $[-3; 4]$ с $(-\infty; 0)$ дает интервал $[-3; 0)$.
Пересечение $[-3; 4]$ с $(1; +\infty)$ дает интервал $(1; 4]$.
Объединяя эти два интервала, получаем окончательное решение.

Ответ: $[-3; 0) \cup (1; 4]$.

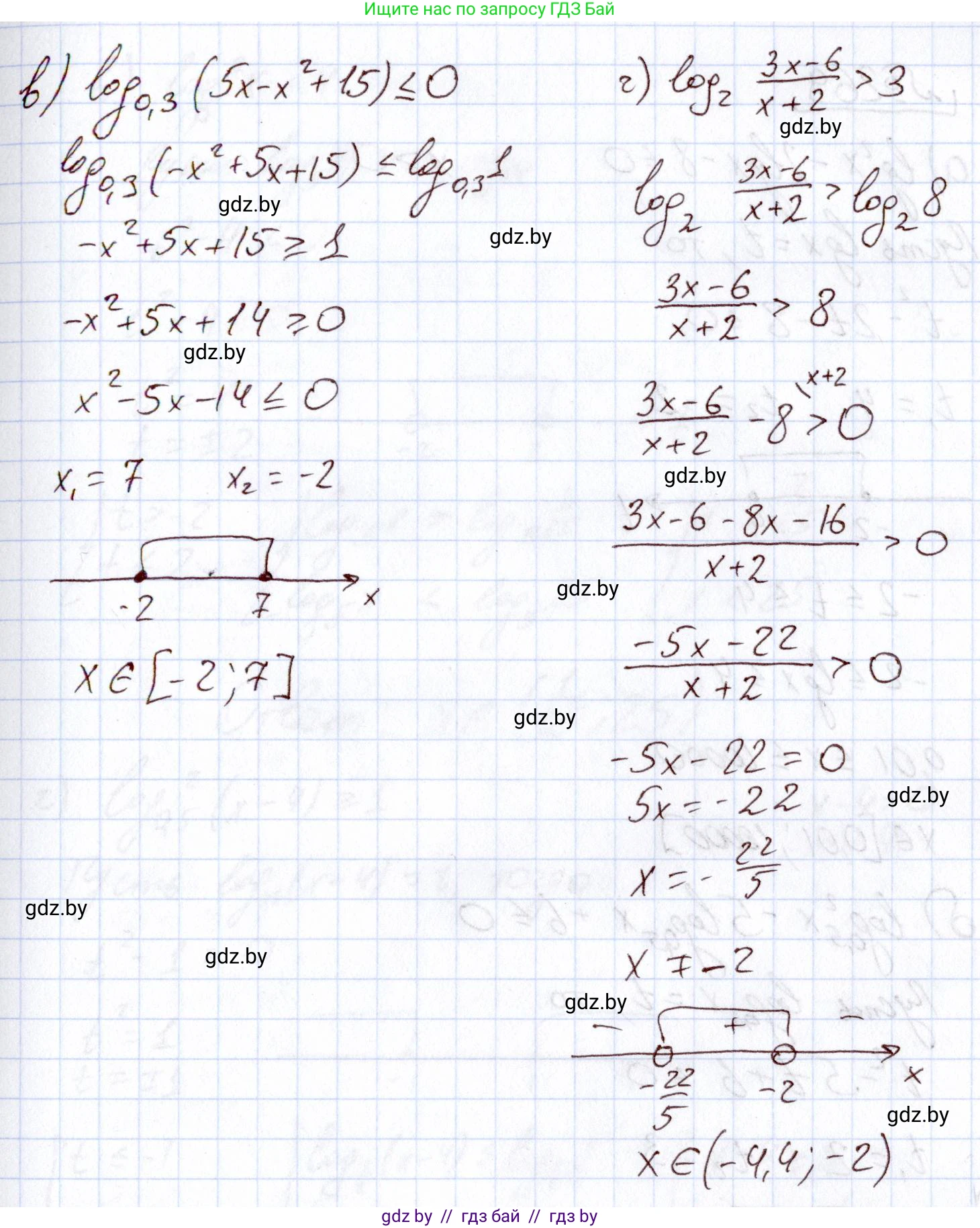
в) $\log_{0,3}(5x - x^2 + 15) \le 0$

Основание логарифма равно $0,3$, что меньше 1 ($0 < 0,3 < 1$).

Представим правую часть в виде логарифма по основанию $0,3$:
$0 = \log_{0,3}(0,3^0) = \log_{0,3}(1)$.
Неравенство принимает вид:
$\log_{0,3}(5x - x^2 + 15) \le \log_{0,3}(1)$.

Так как основание $0 < 0,3 < 1$, знак неравенства меняется на противоположный:
$5x - x^2 + 15 \ge 1$.
При решении этого неравенства условие ОДЗ ($5x - x^2 + 15 > 0$) будет выполнено автоматически, так как если выражение больше или равно 1, оно заведомо больше 0.

Решаем неравенство:
$-x^2 + 5x + 14 \ge 0$
Умножим на -1, изменив знак неравенства:
$x^2 - 5x - 14 \le 0$
Найдем корни уравнения $x^2 - 5x - 14 = 0$. По теореме Виета, корни $x_1 = 7$ и $x_2 = -2$.
Неравенство выполняется между корнями: $x \in [-2; 7]$.

Ответ: $[-2; 7]$.

г) $\log_2\frac{3x-6}{x+2} > 3$

Основание логарифма равно 2, что больше 1.

Найдем ОДЗ:
$\frac{3x - 6}{x + 2} > 0$
$\frac{3(x - 2)}{x + 2} > 0$
Методом интервалов находим нули числителя ($x=2$) и знаменателя ($x=-2$).
ОДЗ: $x \in (-\infty; -2) \cup (2; +\infty)$.

Представим правую часть в виде логарифма по основанию 2:
$3 = \log_2(2^3) = \log_2(8)$.
Неравенство принимает вид:
$\log_2\frac{3x - 6}{x + 2} > \log_2(8)$.

Так как основание $2 > 1$, знак неравенства сохраняется:
$\frac{3x - 6}{x + 2} > 8$
$\frac{3x - 6}{x + 2} - 8 > 0$
$\frac{3x - 6 - 8(x + 2)}{x + 2} > 0$
$\frac{3x - 6 - 8x - 16}{x + 2} > 0$
$\frac{-5x - 22}{x + 2} > 0$
Умножим на -1, изменив знак неравенства:
$\frac{5x + 22}{x + 2} < 0$
Решаем методом интервалов. Нули числителя $x = -22/5 = -4,4$ и знаменателя $x = -2$.
Неравенство выполняется на интервале $(-4,4; -2)$.

Найдем пересечение полученного решения $(-4,4; -2)$ с ОДЗ $(-\infty; -2) \cup (2; +\infty)$.
Интервал $(-4,4; -2)$ полностью входит в область $(-\infty; -2)$.

Ответ: $(-4,4; -2)$.

Помогло решение? Оставьте отзыв в комментариях ниже.

Присоединяйтесь к Телеграм-группе @gdz_by_belarus

Присоединиться

Мы подготовили для вас ответ c подробным объяснением домашего задания по алгебре за 11 класс, для упражнения номер 268 расположенного на странице 200 к учебнику 2020 года издания для учащихся школ и гимназий.

Теперь на нашем сайте ГДЗ.ТОП вы всегда легко и бесплатно найдёте условие с правильным ответом на вопрос «Как решить ДЗ» и «Как сделать» задание по алгебре к упражнению №268 (с. 200), авторов: Арефьева (Ирина Глебовна), Пирютко (Ольга Николаевна), учебного пособия издательства Народная асвета.