Номер 275, страница 200 - гдз по алгебре 11 класс учебник Арефьева, Пирютко

Алгебра, 11 класс Учебник, авторы: Арефьева Ирина Глебовна, Пирютко Ольга Николаевна, издательство Народная асвета, Минск, 2020, бирюзового цвета

Авторы: Арефьева И. Г., Пирютко О. Н.

Тип: Учебник

Издательство: Народная асвета

Год издания: 2020 - 2025

Цвет обложки: бирюзовый, зелёный с графиком

ISBN: 978-985-03-3165-6

Популярные ГДЗ в 11 классе

Упражнения для итогового повторения. Выражения и их преобразования - номер 275, страница 200.

№275 (с. 200)
Условие. №275 (с. 200)
скриншот условия
Алгебра, 11 класс Учебник, авторы: Арефьева Ирина Глебовна, Пирютко Ольга Николаевна, издательство Народная асвета, Минск, 2020, бирюзового цвета, страница 200, номер 275, Условие

275. Решите дробно-рациональное уравнение:

а) $ \frac{6}{x^2 - 1} + \frac{3}{x + 1} = \frac{x + 1}{x - 1}; $

б) $ \frac{3}{x + 2} + 1 = \frac{4}{x^2 + 4x + 4}. $

Решение. №275 (с. 200)
Алгебра, 11 класс Учебник, авторы: Арефьева Ирина Глебовна, Пирютко Ольга Николаевна, издательство Народная асвета, Минск, 2020, бирюзового цвета, страница 200, номер 275, Решение Алгебра, 11 класс Учебник, авторы: Арефьева Ирина Глебовна, Пирютко Ольга Николаевна, издательство Народная асвета, Минск, 2020, бирюзового цвета, страница 200, номер 275, Решение (продолжение 2)
Решение 2. №275 (с. 200)

а)

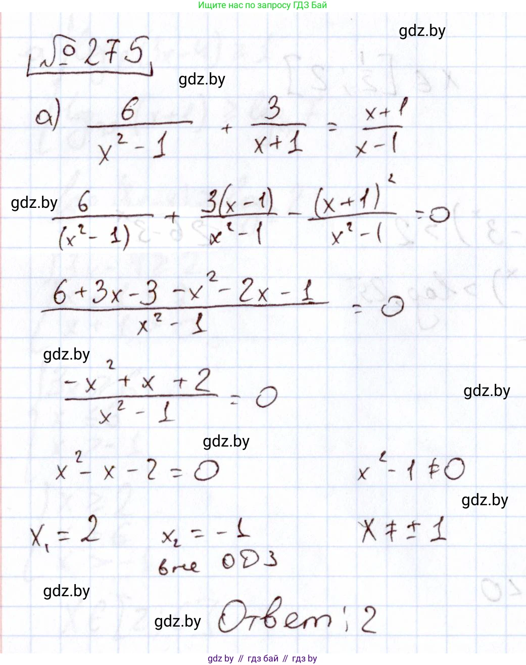
Исходное уравнение: $\frac{6}{x^2 - 1} + \frac{3}{x + 1} = \frac{x+1}{x-1}$.

1. Найдем область допустимых значений (ОДЗ). Знаменатели дробей не могут быть равны нулю:

$x^2 - 1 \neq 0 \implies (x-1)(x+1) \neq 0 \implies x \neq 1$ и $x \neq -1$.

$x + 1 \neq 0 \implies x \neq -1$.

$x - 1 \neq 0 \implies x \neq 1$.

Следовательно, ОДЗ: $x \neq \pm 1$.

2. Приведем все дроби к общему знаменателю. Знаменатель первой дроби раскладывается на множители: $x^2 - 1 = (x-1)(x+1)$. Это и будет общий знаменатель.

$\frac{6}{(x-1)(x+1)} + \frac{3(x-1)}{(x+1)(x-1)} = \frac{(x+1)(x+1)}{(x-1)(x+1)}$

3. Так как знаменатели равны, можем приравнять числители, при условии, что $x$ входит в ОДЗ.

$6 + 3(x-1) = (x+1)^2$

4. Раскроем скобки и решим полученное уравнение:

$6 + 3x - 3 = x^2 + 2x + 1$

$3x + 3 = x^2 + 2x + 1$

5. Перенесем все члены в правую часть, чтобы получить стандартное квадратное уравнение:

$x^2 + 2x - 3x + 1 - 3 = 0$

$x^2 - x - 2 = 0$

6. Решим квадратное уравнение с помощью теоремы Виета:

Сумма корней $x_1 + x_2 = 1$.

Произведение корней $x_1 \cdot x_2 = -2$.

Корнями являются $x_1 = 2$ и $x_2 = -1$.

7. Проверим найденные корни на соответствие ОДЗ ($x \neq \pm 1$).

Корень $x = 2$ удовлетворяет ОДЗ.

Корень $x = -1$ не удовлетворяет ОДЗ, поэтому является посторонним.

Ответ: $2$


б)

Исходное уравнение: $\frac{3}{x+2} + 1 = \frac{4}{x^2 + 4x + 4}$.

1. Найдем область допустимых значений (ОДЗ). Знаменатели не могут быть равны нулю:

$x+2 \neq 0 \implies x \neq -2$.

$x^2 + 4x + 4 = (x+2)^2 \neq 0 \implies x \neq -2$.

Следовательно, ОДЗ: $x \neq -2$.

2. Приведем все члены уравнения к общему знаменателю. Заметим, что $x^2 + 4x + 4$ является полным квадратом $(x+2)^2$. Это и будет общий знаменатель.

$\frac{3(x+2)}{(x+2)^2} + \frac{(x+2)^2}{(x+2)^2} = \frac{4}{(x+2)^2}$

3. Умножим обе части уравнения на общий знаменатель $(x+2)^2$, который не равен нулю в ОДЗ.

$3(x+2) + (x+2)^2 = 4$

4. Раскроем скобки и упростим:

$3x + 6 + x^2 + 4x + 4 = 4$

5. Приведем подобные слагаемые и запишем уравнение в стандартном виде:

$x^2 + (3x+4x) + (6+4) = 4$

$x^2 + 7x + 10 = 4$

$x^2 + 7x + 6 = 0$

6. Решим полученное квадратное уравнение по теореме Виета:

Сумма корней $x_1 + x_2 = -7$.

Произведение корней $x_1 \cdot x_2 = 6$.

Корнями являются $x_1 = -1$ и $x_2 = -6$.

7. Проверим найденные корни на соответствие ОДЗ ($x \neq -2$).

Оба корня, $x = -1$ и $x = -6$, удовлетворяют ОДЗ.

Ответ: $-6; -1$

Помогло решение? Оставьте отзыв в комментариях ниже.

Присоединяйтесь к Телеграм-группе @gdz_by_belarus

Присоединиться

Мы подготовили для вас ответ c подробным объяснением домашего задания по алгебре за 11 класс, для упражнения номер 275 расположенного на странице 200 к учебнику 2020 года издания для учащихся школ и гимназий.

Теперь на нашем сайте ГДЗ.ТОП вы всегда легко и бесплатно найдёте условие с правильным ответом на вопрос «Как решить ДЗ» и «Как сделать» задание по алгебре к упражнению №275 (с. 200), авторов: Арефьева (Ирина Глебовна), Пирютко (Ольга Николаевна), учебного пособия издательства Народная асвета.