Номер 276, страница 201 - гдз по алгебре 11 класс учебник Арефьева, Пирютко

Алгебра, 11 класс Учебник, авторы: Арефьева Ирина Глебовна, Пирютко Ольга Николаевна, издательство Народная асвета, Минск, 2020, бирюзового цвета

Авторы: Арефьева И. Г., Пирютко О. Н.

Тип: Учебник

Издательство: Народная асвета

Год издания: 2020 - 2025

Цвет обложки: бирюзовый, зелёный с графиком

ISBN: 978-985-03-3165-6

Популярные ГДЗ в 11 классе

Упражнения для итогового повторения. Выражения и их преобразования - номер 276, страница 201.

№276 (с. 201)
Условие. №276 (с. 201)
скриншот условия
Алгебра, 11 класс Учебник, авторы: Арефьева Ирина Глебовна, Пирютко Ольга Николаевна, издательство Народная асвета, Минск, 2020, бирюзового цвета, страница 201, номер 276, Условие

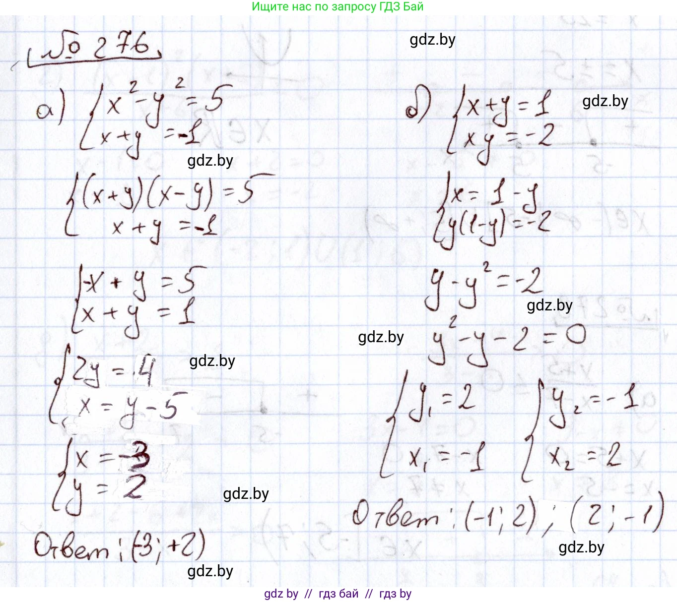
276. Решите систему уравнений:

а) $\begin{cases} x^2 - y^2 = 5, \\ x + y = -1; \end{cases}$

б) $\begin{cases} x + y = 1, \\ xy = -2. \end{cases}$

Решение. №276 (с. 201)
Алгебра, 11 класс Учебник, авторы: Арефьева Ирина Глебовна, Пирютко Ольга Николаевна, издательство Народная асвета, Минск, 2020, бирюзового цвета, страница 201, номер 276, Решение
Решение 2. №276 (с. 201)

а) Дана система уравнений:
$ \begin{cases} x^2 - y^2 = 5, \\ x + y = -1; \end{cases} $
Первое уравнение представляет собой разность квадратов, которую можно разложить на множители: $x^2 - y^2 = (x - y)(x + y)$.
Подставим это в систему:
$ \begin{cases} (x - y)(x + y) = 5, \\ x + y = -1; \end{cases} $
Теперь подставим второе уравнение в первое:
$(x - y) \cdot (-1) = 5$
$x - y = -5$
Теперь у нас есть новая, более простая система линейных уравнений:
$ \begin{cases} x + y = -1, \\ x - y = -5; \end{cases} $
Сложим два уравнения системы, чтобы найти $x$:
$(x + y) + (x - y) = -1 + (-5)$
$2x = -6$
$x = -3$
Подставим найденное значение $x$ в уравнение $x + y = -1$:
$-3 + y = -1$
$y = -1 + 3$
$y = 2$
Решение системы: $(-3; 2)$.
Проверим:
$(-3)^2 - 2^2 = 9 - 4 = 5$ (Верно)
$-3 + 2 = -1$ (Верно)
Ответ: $(-3; 2)$

б) Дана система уравнений:
$ \begin{cases} x + y = 1, \\ xy = -2; \end{cases} $
Это симметрическая система. Её можно решить методом подстановки. Выразим $y$ из первого уравнения:
$y = 1 - x$
Подставим это выражение во второе уравнение:
$x(1 - x) = -2$
Раскроем скобки:
$x - x^2 = -2$
Перенесём все члены в одну сторону, чтобы получить квадратное уравнение:
$x^2 - x - 2 = 0$
Решим это уравнение. Можно использовать теорему Виета или найти дискриминант.
Дискриминант: $D = b^2 - 4ac = (-1)^2 - 4 \cdot 1 \cdot (-2) = 1 + 8 = 9$.
Найдём корни уравнения:
$x_1 = \frac{-b + \sqrt{D}}{2a} = \frac{1 + \sqrt{9}}{2 \cdot 1} = \frac{1 + 3}{2} = 2$
$x_2 = \frac{-b - \sqrt{D}}{2a} = \frac{1 - \sqrt{9}}{2 \cdot 1} = \frac{1 - 3}{2} = -1$
Теперь найдём соответствующие значения $y$ для каждого $x$:
1. Если $x_1 = 2$, то $y_1 = 1 - x_1 = 1 - 2 = -1$.
2. Если $x_2 = -1$, то $y_2 = 1 - x_2 = 1 - (-1) = 2$.
Таким образом, система имеет два решения.
Ответ: $(2; -1)$, $(-1; 2)$

Помогло решение? Оставьте отзыв в комментариях ниже.

Присоединяйтесь к Телеграм-группе @gdz_by_belarus

Присоединиться

Мы подготовили для вас ответ c подробным объяснением домашего задания по алгебре за 11 класс, для упражнения номер 276 расположенного на странице 201 к учебнику 2020 года издания для учащихся школ и гимназий.

Теперь на нашем сайте ГДЗ.ТОП вы всегда легко и бесплатно найдёте условие с правильным ответом на вопрос «Как решить ДЗ» и «Как сделать» задание по алгебре к упражнению №276 (с. 201), авторов: Арефьева (Ирина Глебовна), Пирютко (Ольга Николаевна), учебного пособия издательства Народная асвета.