Номер 288, страница 202 - гдз по алгебре 11 класс учебник Арефьева, Пирютко

Алгебра, 11 класс Учебник, авторы: Арефьева Ирина Глебовна, Пирютко Ольга Николаевна, издательство Народная асвета, Минск, 2020, бирюзового цвета

Авторы: Арефьева И. Г., Пирютко О. Н.

Тип: Учебник

Издательство: Народная асвета

Год издания: 2020 - 2025

Цвет обложки: бирюзовый, зелёный с графиком

ISBN: 978-985-03-3165-6

Популярные ГДЗ в 11 классе

Упражнения для итогового повторения. Выражения и их преобразования - номер 288, страница 202.

№288 (с. 202)
Условие. №288 (с. 202)
скриншот условия
Алгебра, 11 класс Учебник, авторы: Арефьева Ирина Глебовна, Пирютко Ольга Николаевна, издательство Народная асвета, Минск, 2020, бирюзового цвета, страница 202, номер 288, Условие

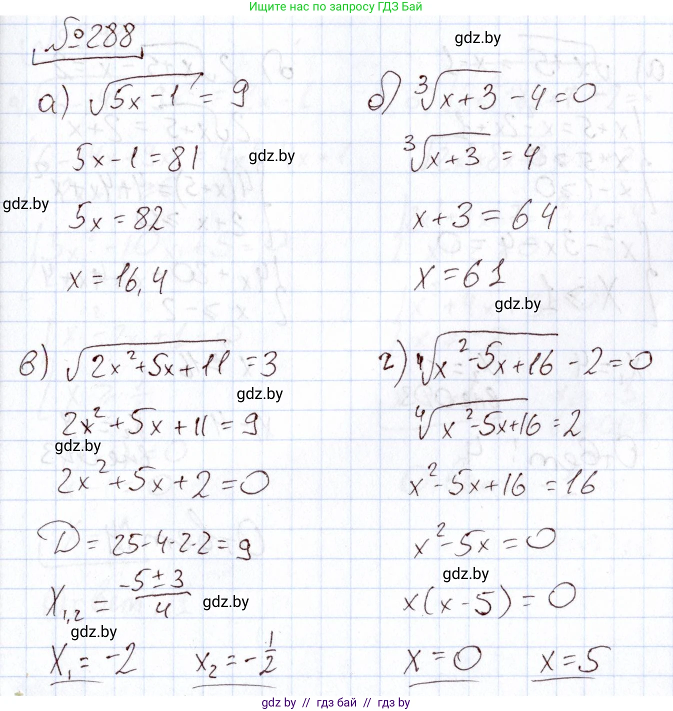
288. Решите уравнение:

а) $\sqrt{5x - 1} = 9;$

б) $\sqrt[3]{x + 3} - 4 = 0;$

в) $\sqrt{2x^2 + 5x + 11} = 3;$

г) $\sqrt[4]{x^2 - 5x + 16} - 2 = 0.$

Решение. №288 (с. 202)
Алгебра, 11 класс Учебник, авторы: Арефьева Ирина Глебовна, Пирютко Ольга Николаевна, издательство Народная асвета, Минск, 2020, бирюзового цвета, страница 202, номер 288, Решение
Решение 2. №288 (с. 202)

а) Дано уравнение $\sqrt{5x - 1} = 9$.
Поскольку корень четной степени (квадратный), подкоренное выражение должно быть неотрицательным. Это является областью допустимых значений (ОДЗ) уравнения:
$5x - 1 \ge 0$
$5x \ge 1$
$x \ge \frac{1}{5}$
Для решения уравнения возведем обе его части в квадрат:
$(\sqrt{5x - 1})^2 = 9^2$
$5x - 1 = 81$
Теперь решим полученное линейное уравнение:
$5x = 81 + 1$
$5x = 82$
$x = \frac{82}{5} = 16.4$
Проверим, удовлетворяет ли найденный корень условию ОДЗ: $16.4 \ge 0.2$. Условие выполняется, следовательно, корень является решением уравнения.
Ответ: $16.4$.

б) Дано уравнение $\sqrt[3]{x + 3} - 4 = 0$.
Сначала изолируем радикал, перенеся 4 в правую часть уравнения:
$\sqrt[3]{x + 3} = 4$
Так как корень нечетной степени (кубический), подкоренное выражение может быть любым действительным числом, поэтому область допустимых значений — все действительные числа ($x \in \mathbb{R}$).
Возведем обе части уравнения в третью степень, чтобы избавиться от корня:
$(\sqrt[3]{x + 3})^3 = 4^3$
$x + 3 = 64$
Решим полученное линейное уравнение:
$x = 64 - 3$
$x = 61$
Ответ: $61$.

в) Дано уравнение $\sqrt{2x^2 + 5x + 11} = 3$.
ОДЗ определяется условием $2x^2 + 5x + 11 \ge 0$. Найдем дискриминант квадратного трехчлена: $D = 5^2 - 4 \cdot 2 \cdot 11 = 25 - 88 = -63$. Так как дискриминант отрицательный ($D < 0$) и старший коэффициент положителен ($a=2 > 0$), то парабола $y=2x^2+5x+11$ полностью лежит выше оси абсцисс, то есть выражение $2x^2 + 5x + 11$ положительно при любых значениях $x$. Следовательно, ОДЗ: $x \in \mathbb{R}$.
Возведем обе части уравнения в квадрат:
$(\sqrt{2x^2 + 5x + 11})^2 = 3^2$
$2x^2 + 5x + 11 = 9$
Перенесем все члены в левую часть, чтобы получить стандартное квадратное уравнение:
$2x^2 + 5x + 11 - 9 = 0$
$2x^2 + 5x + 2 = 0$
Решим его через дискриминант: $D = 5^2 - 4 \cdot 2 \cdot 2 = 25 - 16 = 9 = 3^2$.
Найдем корни уравнения:
$x_1 = \frac{-5 - \sqrt{9}}{2 \cdot 2} = \frac{-5 - 3}{4} = \frac{-8}{4} = -2$
$x_2 = \frac{-5 + \sqrt{9}}{2 \cdot 2} = \frac{-5 + 3}{4} = \frac{-2}{4} = -0.5$
Оба корня принадлежат ОДЗ.
Ответ: $-2; -0.5$.

г) Дано уравнение $\sqrt[4]{x^2 - 5x + 16} - 2 = 0$.
Изолируем радикал:
$\sqrt[4]{x^2 - 5x + 16} = 2$
ОДЗ определяется условием $x^2 - 5x + 16 \ge 0$. Дискриминант этого квадратного трехчлена: $D = (-5)^2 - 4 \cdot 1 \cdot 16 = 25 - 64 = -39$. Так как $D < 0$ и старший коэффициент положителен ($a=1 > 0$), выражение $x^2 - 5x + 16$ всегда положительно. Следовательно, ОДЗ: $x \in \mathbb{R}$.
Возведем обе части уравнения в четвертую степень:
$(\sqrt[4]{x^2 - 5x + 16})^4 = 2^4$
$x^2 - 5x + 16 = 16$
Упростим уравнение:
$x^2 - 5x + 16 - 16 = 0$
$x^2 - 5x = 0$
Решим полученное неполное квадратное уравнение, вынеся общий множитель $x$ за скобки:
$x(x - 5) = 0$
Произведение равно нулю, если хотя бы один из множителей равен нулю:
$x_1 = 0$ или $x - 5 = 0 \implies x_2 = 5$
Оба корня принадлежат ОДЗ.
Ответ: $0; 5$.

Помогло решение? Оставьте отзыв в комментариях ниже.

Присоединяйтесь к Телеграм-группе @gdz_by_belarus

Присоединиться

Мы подготовили для вас ответ c подробным объяснением домашего задания по алгебре за 11 класс, для упражнения номер 288 расположенного на странице 202 к учебнику 2020 года издания для учащихся школ и гимназий.

Теперь на нашем сайте ГДЗ.ТОП вы всегда легко и бесплатно найдёте условие с правильным ответом на вопрос «Как решить ДЗ» и «Как сделать» задание по алгебре к упражнению №288 (с. 202), авторов: Арефьева (Ирина Глебовна), Пирютко (Ольга Николаевна), учебного пособия издательства Народная асвета.