Номер 295, страница 203 - гдз по алгебре 11 класс учебник Арефьева, Пирютко

Алгебра, 11 класс Учебник, авторы: Арефьева Ирина Глебовна, Пирютко Ольга Николаевна, издательство Народная асвета, Минск, 2020, бирюзового цвета

Авторы: Арефьева И. Г., Пирютко О. Н.

Тип: Учебник

Издательство: Народная асвета

Год издания: 2020 - 2025

Цвет обложки: бирюзовый, зелёный с графиком

ISBN: 978-985-03-3165-6

Популярные ГДЗ в 11 классе

Упражнения для итогового повторения. Выражения и их преобразования - номер 295, страница 203.

№295 (с. 203)
Условие. №295 (с. 203)
скриншот условия
Алгебра, 11 класс Учебник, авторы: Арефьева Ирина Глебовна, Пирютко Ольга Николаевна, издательство Народная асвета, Минск, 2020, бирюзового цвета, страница 203, номер 295, Условие

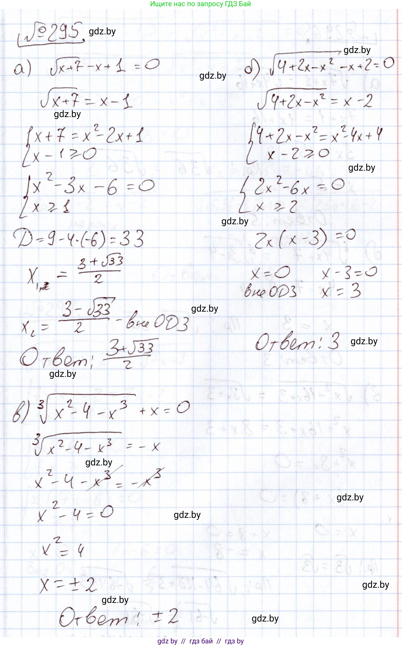
295. Найдите нули функции:

а) $y = \sqrt{x + 7} - x + 1;$

б) $y = \sqrt{4 + 2x - x^2} - x + 2;$

в) $y = \sqrt[3]{x^2 - 4 - x^3} + x.$

Решение. №295 (с. 203)
Алгебра, 11 класс Учебник, авторы: Арефьева Ирина Глебовна, Пирютко Ольга Николаевна, издательство Народная асвета, Минск, 2020, бирюзового цвета, страница 203, номер 295, Решение
Решение 2. №295 (с. 203)

а)

Дана функция $y = \sqrt{x+7} - x + 1$.

Чтобы найти нули функции, необходимо решить уравнение $y=0$:

$\sqrt{x+7} - x + 1 = 0$

Сначала определим область допустимых значений (ОДЗ) функции. Выражение под знаком квадратного корня должно быть неотрицательным:

$x+7 \ge 0 \implies x \ge -7$.

Теперь уединим корень в левой части уравнения:

$\sqrt{x+7} = x - 1$

Левая часть уравнения (арифметический квадратный корень) по определению неотрицательна. Следовательно, правая часть также должна быть неотрицательной:

$x - 1 \ge 0 \implies x \ge 1$.

Это условие является более строгим, чем ОДЗ, поэтому будем использовать его для проверки корней.

Возведем обе части уравнения в квадрат, чтобы избавиться от корня:

$(\sqrt{x+7})^2 = (x - 1)^2$

$x + 7 = x^2 - 2x + 1$

Перенесем все члены в одну сторону, чтобы получить стандартное квадратное уравнение:

$x^2 - 3x - 6 = 0$

Решим это уравнение с помощью формулы для корней квадратного уравнения $x = \frac{-b \pm \sqrt{b^2 - 4ac}}{2a}$.

Для нашего уравнения $a=1, b=-3, c=-6$.

Дискриминант $D = b^2 - 4ac = (-3)^2 - 4 \cdot 1 \cdot (-6) = 9 + 24 = 33$.

Корни уравнения: $x_1 = \frac{3 + \sqrt{33}}{2}$ и $x_2 = \frac{3 - \sqrt{33}}{2}$.

Теперь необходимо проверить, удовлетворяют ли найденные корни условию $x \ge 1$.

Для корня $x_1 = \frac{3 + \sqrt{33}}{2}$. Поскольку $5 < \sqrt{33} < 6$, то $x_1 \approx \frac{3 + 5.7}{2} = 4.35$. Это значение больше 1, следовательно, $x_1$ является решением.

Для корня $x_2 = \frac{3 - \sqrt{33}}{2}$. $x_2 \approx \frac{3 - 5.7}{2} = -1.35$. Это значение меньше 1, следовательно, $x_2$ — посторонний корень, который появился из-за возведения в квадрат.

Таким образом, функция имеет один нуль.

Ответ: $x = \frac{3 + \sqrt{33}}{2}$.

б)

Дана функция $y = \sqrt{4+2x-x^2} - x + 2$.

Для нахождения нулей решим уравнение $y=0$:

$\sqrt{4+2x-x^2} - x + 2 = 0$

ОДЗ: $4+2x-x^2 \ge 0$, что эквивалентно $x^2 - 2x - 4 \le 0$. Найдем корни ثلاثчлена $x^2 - 2x - 4 = 0$ по формуле: $x = \frac{2 \pm \sqrt{(-2)^2 - 4 \cdot 1 \cdot (-4)}}{2} = \frac{2 \pm \sqrt{4+16}}{2} = \frac{2 \pm \sqrt{20}}{2} = 1 \pm \sqrt{5}$. Поскольку ветви параболы $f(x)=x^2 - 2x - 4$ направлены вверх, неравенство $f(x) \le 0$ выполняется между корнями. Таким образом, ОДЗ: $x \in [1-\sqrt{5}, 1+\sqrt{5}]$.

Уединим корень:

$\sqrt{4+2x-x^2} = x - 2$

Правая часть уравнения должна быть неотрицательной: $x - 2 \ge 0 \implies x \ge 2$.

Объединяя это условие с ОДЗ, получаем окончательное ограничение для $x$: $x \in [2, 1+\sqrt{5}]$.

Возведем обе части уравнения в квадрат:

$4+2x-x^2 = (x-2)^2$

$4+2x-x^2 = x^2 - 4x + 4$

Приведем подобные члены:

$2x^2 - 6x = 0$

$2x(x - 3) = 0$

Получаем два возможных корня: $x_1 = 0$ и $x_2 = 3$.

Проверим их на соответствие условию $x \in [2, 1+\sqrt{5}]$.

$x_1 = 0$: $0$ не принадлежит отрезку $[2, 1+\sqrt{5}]$, так как $0 < 2$. Это посторонний корень.

$x_2 = 3$: Проверим, принадлежит ли 3 отрезку $[2, 1+\sqrt{5}]$. $2 \le 3$ — верно. $3 \le 1+\sqrt{5} \iff 2 \le \sqrt{5} \iff 4 \le 5$ — верно. Следовательно, $x=3$ является решением.

Ответ: $x = 3$.

в)

Дана функция $y = \sqrt[3]{x^2 - 4 - x^3} + x$.

Приравняем функцию к нулю, чтобы найти ее нули:

$\sqrt[3]{x^2 - 4 - x^3} + x = 0$

Область определения кубического корня — все действительные числа, поэтому ОДЗ здесь $x \in \mathbb{R}$.

Уединим корень:

$\sqrt[3]{x^2 - 4 - x^3} = -x$

Возведем обе части уравнения в третью степень:

$(\sqrt[3]{x^2 - 4 - x^3})^3 = (-x)^3$

$x^2 - 4 - x^3 = -x^3$

Прибавим $x^3$ к обеим частям уравнения:

$x^2 - 4 = 0$

$x^2 = 4$

Отсюда получаем два корня: $x_1 = 2$ и $x_2 = -2$.

Возведение в нечетную степень является равносильным преобразованием, поэтому посторонние корни не появляются. Выполним проверку для уверенности.

Проверка для $x=2$:

$y(2) = \sqrt[3]{2^2 - 4 - 2^3} + 2 = \sqrt[3]{4 - 4 - 8} + 2 = \sqrt[3]{-8} + 2 = -2 + 2 = 0$.

Проверка для $x=-2$:

$y(-2) = \sqrt[3]{(-2)^2 - 4 - (-2)^3} + (-2) = \sqrt[3]{4 - 4 - (-8)} - 2 = \sqrt[3]{8} - 2 = 2 - 2 = 0$.

Оба значения являются нулями функции.

Ответ: $x = -2, x = 2$.

Помогло решение? Оставьте отзыв в комментариях ниже.

Присоединяйтесь к Телеграм-группе @gdz_by_belarus

Присоединиться

Мы подготовили для вас ответ c подробным объяснением домашего задания по алгебре за 11 класс, для упражнения номер 295 расположенного на странице 203 к учебнику 2020 года издания для учащихся школ и гимназий.

Теперь на нашем сайте ГДЗ.ТОП вы всегда легко и бесплатно найдёте условие с правильным ответом на вопрос «Как решить ДЗ» и «Как сделать» задание по алгебре к упражнению №295 (с. 203), авторов: Арефьева (Ирина Глебовна), Пирютко (Ольга Николаевна), учебного пособия издательства Народная асвета.