Номер 292, страница 203 - гдз по алгебре 11 класс учебник Арефьева, Пирютко

Алгебра, 11 класс Учебник, авторы: Арефьева Ирина Глебовна, Пирютко Ольга Николаевна, издательство Народная асвета, Минск, 2020, бирюзового цвета

Авторы: Арефьева И. Г., Пирютко О. Н.

Тип: Учебник

Издательство: Народная асвета

Год издания: 2020 - 2025

Цвет обложки: бирюзовый, зелёный с графиком

ISBN: 978-985-03-3165-6

Популярные ГДЗ в 11 классе

Упражнения для итогового повторения. Выражения и их преобразования - номер 292, страница 203.

№292 (с. 203)
Условие. №292 (с. 203)
скриншот условия
Алгебра, 11 класс Учебник, авторы: Арефьева Ирина Глебовна, Пирютко Ольга Николаевна, издательство Народная асвета, Минск, 2020, бирюзового цвета, страница 203, номер 292, Условие

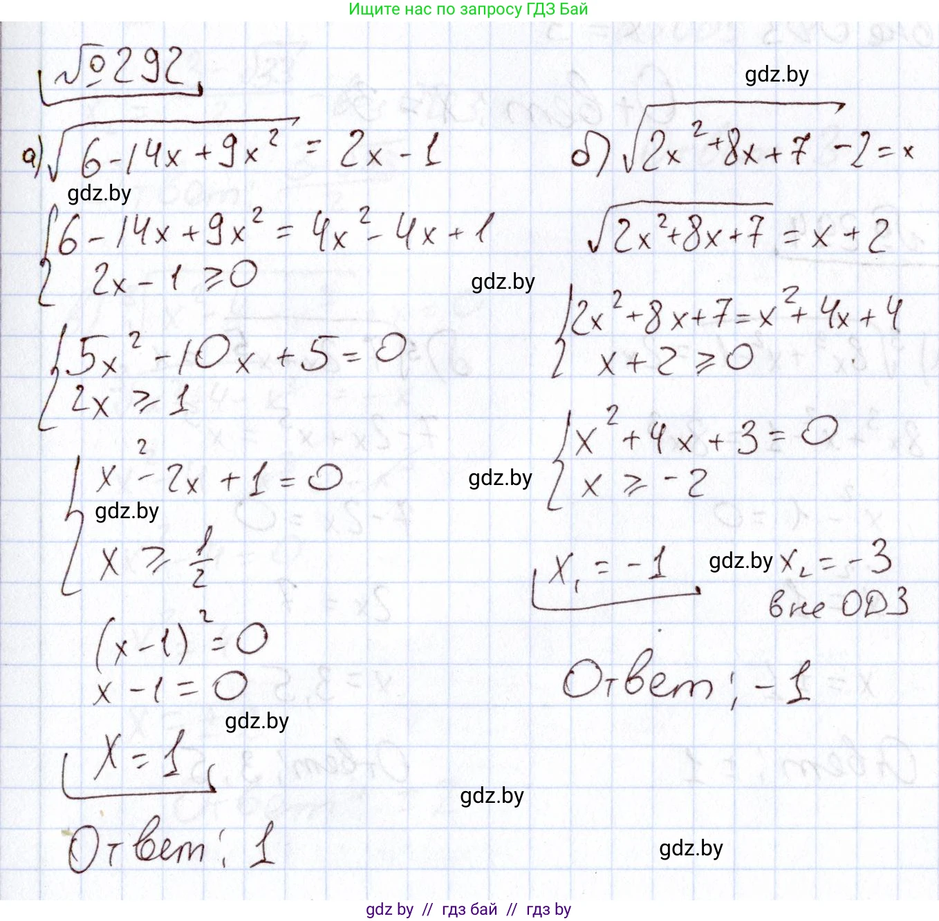
292. Решите иррациональное уравнение:

а) $\sqrt{6-14x+9x^2}=2x-1$;

б) $\sqrt{2x^2+8x+7}-2=x.$

Решение. №292 (с. 203)
Алгебра, 11 класс Учебник, авторы: Арефьева Ирина Глебовна, Пирютко Ольга Николаевна, издательство Народная асвета, Минск, 2020, бирюзового цвета, страница 203, номер 292, Решение
Решение 2. №292 (с. 203)

a)

Дано иррациональное уравнение: $\sqrt{6 - 14x + 9x^2} = 2x - 1$.

Уравнение вида $\sqrt{f(x)} = g(x)$ равносильно системе, в которой правая часть неотрицательна, и квадрат левой части равен квадрату правой:

$\begin{cases} 6 - 14x + 9x^2 = (2x - 1)^2 \\ 2x - 1 \ge 0 \end{cases}$

Сначала решим неравенство, чтобы определить область допустимых значений для $x$:

$2x - 1 \ge 0$

$2x \ge 1$

$x \ge 0.5$

Теперь решим уравнение, возведя обе его части в квадрат:

$6 - 14x + 9x^2 = (2x - 1)^2$

Раскроем скобки в правой части по формуле квадрата разности $(a-b)^2 = a^2 - 2ab + b^2$:

$6 - 14x + 9x^2 = 4x^2 - 4x + 1$

Перенесем все члены уравнения в левую часть и приведем подобные слагаемые:

$(9x^2 - 4x^2) + (-14x + 4x) + (6 - 1) = 0$

$5x^2 - 10x + 5 = 0$

Разделим обе части уравнения на 5 для упрощения:

$x^2 - 2x + 1 = 0$

Свернем левую часть по формуле квадрата разности:

$(x - 1)^2 = 0$

Отсюда следует, что:

$x - 1 = 0 \implies x = 1$

Проверим, удовлетворяет ли найденный корень $x=1$ условию $x \ge 0.5$.

Поскольку $1 > 0.5$, условие выполняется. Следовательно, $x=1$ является решением исходного уравнения.

Ответ: $1$.

б)

Дано иррациональное уравнение: $\sqrt{2x^2 + 8x + 7} - 2 = x$.

Для решения перенесем $-2$ в правую часть, чтобы изолировать радикал:

$\sqrt{2x^2 + 8x + 7} = x + 2$.

Данное уравнение, как и в предыдущем пункте, равносильно системе:

$\begin{cases} 2x^2 + 8x + 7 = (x + 2)^2 \\ x + 2 \ge 0 \end{cases}$

Решим неравенство, чтобы найти ОДЗ:

$x + 2 \ge 0$

$x \ge -2$

Теперь решим уравнение, возведя обе части в квадрат:

$2x^2 + 8x + 7 = (x + 2)^2$

Раскроем скобки в правой части по формуле квадрата суммы $(a+b)^2 = a^2 + 2ab + b^2$:

$2x^2 + 8x + 7 = x^2 + 4x + 4$

Перенесем все члены в левую часть и приведем подобные слагаемые:

$(2x^2 - x^2) + (8x - 4x) + (7 - 4) = 0$

$x^2 + 4x + 3 = 0$

Решим полученное квадратное уравнение. Можно использовать теорему Виета. Сумма корней равна $-4$, а их произведение равно $3$. Подбором находим корни:

$x_1 = -1$

$x_2 = -3$

Теперь необходимо проверить, удовлетворяют ли найденные корни условию $x \ge -2$.

Для корня $x_1 = -1$:

$-1 \ge -2$. Неравенство верное, значит, $x = -1$ является решением.

Для корня $x_2 = -3$:

$-3 \ge -2$. Неравенство неверное, так как $-3$ меньше $-2$. Следовательно, $x = -3$ — это посторонний корень.

Таким образом, исходное уравнение имеет единственный корень.

Ответ: $-1$.

Помогло решение? Оставьте отзыв в комментариях ниже.

Присоединяйтесь к Телеграм-группе @gdz_by_belarus

Присоединиться

Мы подготовили для вас ответ c подробным объяснением домашего задания по алгебре за 11 класс, для упражнения номер 292 расположенного на странице 203 к учебнику 2020 года издания для учащихся школ и гимназий.

Теперь на нашем сайте ГДЗ.ТОП вы всегда легко и бесплатно найдёте условие с правильным ответом на вопрос «Как решить ДЗ» и «Как сделать» задание по алгебре к упражнению №292 (с. 203), авторов: Арефьева (Ирина Глебовна), Пирютко (Ольга Николаевна), учебного пособия издательства Народная асвета.