Номер 303, страница 204 - гдз по алгебре 11 класс учебник Арефьева, Пирютко

Алгебра, 11 класс Учебник, авторы: Арефьева Ирина Глебовна, Пирютко Ольга Николаевна, издательство Народная асвета, Минск, 2020, бирюзового цвета

Авторы: Арефьева И. Г., Пирютко О. Н.

Тип: Учебник

Издательство: Народная асвета

Год издания: 2020 - 2025

Цвет обложки: бирюзовый, зелёный с графиком

ISBN: 978-985-03-3165-6

Популярные ГДЗ в 11 классе

Упражнения для итогового повторения. Выражения и их преобразования - номер 303, страница 204.

№303 (с. 204)
Условие. №303 (с. 204)
скриншот условия
Алгебра, 11 класс Учебник, авторы: Арефьева Ирина Глебовна, Пирютко Ольга Николаевна, издательство Народная асвета, Минск, 2020, бирюзового цвета, страница 204, номер 303, Условие

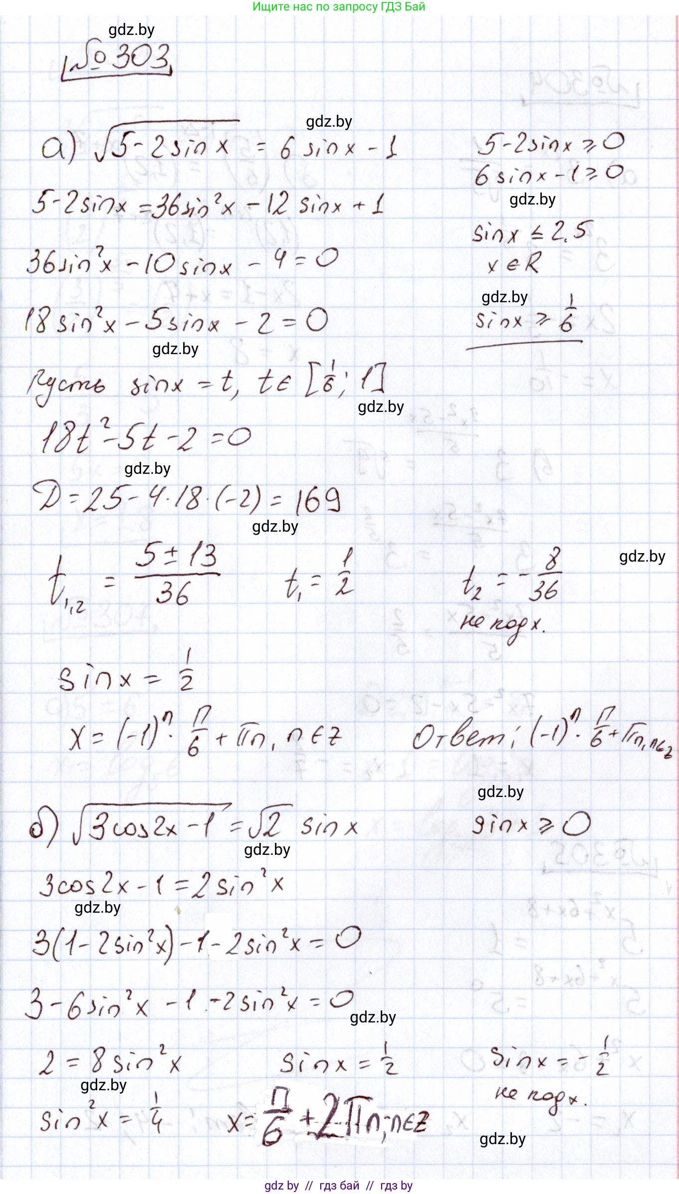
303*. Найдите все корни уравнения:

a) $\sqrt{5 - 2\sin x} = 6\sin x - 1$;

б) $\sqrt{3\cos 2x - 1} = \sqrt{2}\sin x.$

Решение. №303 (с. 204)
Алгебра, 11 класс Учебник, авторы: Арефьева Ирина Глебовна, Пирютко Ольга Николаевна, издательство Народная асвета, Минск, 2020, бирюзового цвета, страница 204, номер 303, Решение
Решение 2. №303 (с. 204)

a) $\sqrt{5 - 2\sin x} = 6\sin x - 1$

Данное иррациональное уравнение равносильно системе, состоящей из уравнения, полученного возведением обеих частей в квадрат, и неравенства, обеспечивающего неотрицательность правой части:

$\begin{cases} 6\sin x - 1 \ge 0 \\ 5 - 2\sin x = (6\sin x - 1)^2 \end{cases}$

Также должно выполняться условие неотрицательности подкоренного выражения: $5 - 2\sin x \ge 0$. Поскольку $5 - 2\sin x$ приравнивается к квадрату $(6\sin x - 1)^2$, который всегда неотрицателен, это условие выполняется автоматически для всех решений уравнения.

Из первого неравенства системы получаем: $6\sin x \ge 1$, то есть $\sin x \ge \frac{1}{6}$.

Сделаем замену переменной. Пусть $t = \sin x$. Учитывая область значений синуса и полученное условие, имеем: $\frac{1}{6} \le t \le 1$.

Решим второе уравнение системы с новой переменной:

$5 - 2t = (6t - 1)^2$

$5 - 2t = 36t^2 - 12t + 1$

$36t^2 - 10t - 4 = 0$

Разделим уравнение на 2:

$18t^2 - 5t - 2 = 0$

Найдем корни этого квадратного уравнения с помощью дискриминанта:

$D = b^2 - 4ac = (-5)^2 - 4 \cdot 18 \cdot (-2) = 25 + 144 = 169 = 13^2$

$t = \frac{-b \pm \sqrt{D}}{2a} = \frac{5 \pm 13}{36}$

$t_1 = \frac{5 + 13}{36} = \frac{18}{36} = \frac{1}{2}$

$t_2 = \frac{5 - 13}{36} = \frac{-8}{36} = -\frac{2}{9}$

Теперь необходимо проверить, удовлетворяют ли найденные корни условию $\frac{1}{6} \le t \le 1$.

Корень $t_1 = \frac{1}{2}$ удовлетворяет условию, так как $\frac{1}{6} \le \frac{1}{2} \le 1$.

Корень $t_2 = -\frac{2}{9}$ не удовлетворяет условию $\frac{1}{6} \le t$, так как является отрицательным. Следовательно, это посторонний корень.

Возвращаемся к исходной переменной $x$, используя единственный подходящий корень $t = \frac{1}{2}$:

$\sin x = \frac{1}{2}$

Общее решение этого простейшего тригонометрического уравнения:

$x = (-1)^k \arcsin\left(\frac{1}{2}\right) + \pi k, k \in \mathbb{Z}$

$x = (-1)^k \frac{\pi}{6} + \pi k, k \in \mathbb{Z}$

Ответ: $x = (-1)^k \frac{\pi}{6} + \pi k, k \in \mathbb{Z}$.

б) $\sqrt{3\cos 2x - 1} = \sqrt{2}\sin x$

Для решения этого уравнения необходимо, чтобы обе его части были неотрицательны. Возведем обе части в квадрат. Уравнение равносильно системе:

$\begin{cases} \sqrt{2}\sin x \ge 0 \\ 3\cos 2x - 1 \ge 0 \\ 3\cos 2x - 1 = (\sqrt{2}\sin x)^2 \end{cases}$

Из первого неравенства следует $\sin x \ge 0$. Второе неравенство $3\cos 2x - 1 \ge 0$ будет выполнено автоматически, если выполнено третье уравнение, так как правая часть $(\sqrt{2}\sin x)^2$ неотрицательна. Таким образом, после нахождения решений уравнения нам нужно будет проверить только условие $\sin x \ge 0$.

Решим уравнение:

$3\cos 2x - 1 = 2\sin^2 x$

Используем формулу косинуса двойного угла $\cos 2x = 1 - 2\sin^2 x$, чтобы выразить все через $\sin x$:

$3(1 - 2\sin^2 x) - 1 = 2\sin^2 x$

$3 - 6\sin^2 x - 1 = 2\sin^2 x$

$2 - 6\sin^2 x = 2\sin^2 x$

$8\sin^2 x = 2$

$\sin^2 x = \frac{2}{8} = \frac{1}{4}$

Из этого уравнения получаем два возможных значения для $\sin x$:

$\sin x = \frac{1}{2}$ или $\sin x = -\frac{1}{2}$

Теперь проверим эти решения на соответствие условию $\sin x \ge 0$.

Значение $\sin x = \frac{1}{2}$ удовлетворяет условию.

Значение $\sin x = -\frac{1}{2}$ не удовлетворяет условию, поэтому является посторонним решением.

Остается решить простейшее тригонометрическое уравнение:

$\sin x = \frac{1}{2}$

Общее решение этого уравнения:

$x = (-1)^k \frac{\pi}{6} + \pi k, k \in \mathbb{Z}$

Все корни этой серии удовлетворяют условию $\sin x \ge 0$.

Ответ: $x = (-1)^k \frac{\pi}{6} + \pi k, k \in \mathbb{Z}$.

Помогло решение? Оставьте отзыв в комментариях ниже.

Присоединяйтесь к Телеграм-группе @gdz_by_belarus

Присоединиться

Мы подготовили для вас ответ c подробным объяснением домашего задания по алгебре за 11 класс, для упражнения номер 303 расположенного на странице 204 к учебнику 2020 года издания для учащихся школ и гимназий.

Теперь на нашем сайте ГДЗ.ТОП вы всегда легко и бесплатно найдёте условие с правильным ответом на вопрос «Как решить ДЗ» и «Как сделать» задание по алгебре к упражнению №303 (с. 204), авторов: Арефьева (Ирина Глебовна), Пирютко (Ольга Николаевна), учебного пособия издательства Народная асвета.