Номер 308, страница 204 - гдз по алгебре 11 класс учебник Арефьева, Пирютко

Алгебра, 11 класс Учебник, авторы: Арефьева Ирина Глебовна, Пирютко Ольга Николаевна, издательство Народная асвета, Минск, 2020, бирюзового цвета

Авторы: Арефьева И. Г., Пирютко О. Н.

Тип: Учебник

Издательство: Народная асвета

Год издания: 2020 - 2025

Цвет обложки: бирюзовый, зелёный с графиком

ISBN: 978-985-03-3165-6

Популярные ГДЗ в 11 классе

Упражнения для итогового повторения. Выражения и их преобразования - номер 308, страница 204.

№308 (с. 204)
Условие. №308 (с. 204)
скриншот условия
Алгебра, 11 класс Учебник, авторы: Арефьева Ирина Глебовна, Пирютко Ольга Николаевна, издательство Народная асвета, Минск, 2020, бирюзового цвета, страница 204, номер 308, Условие

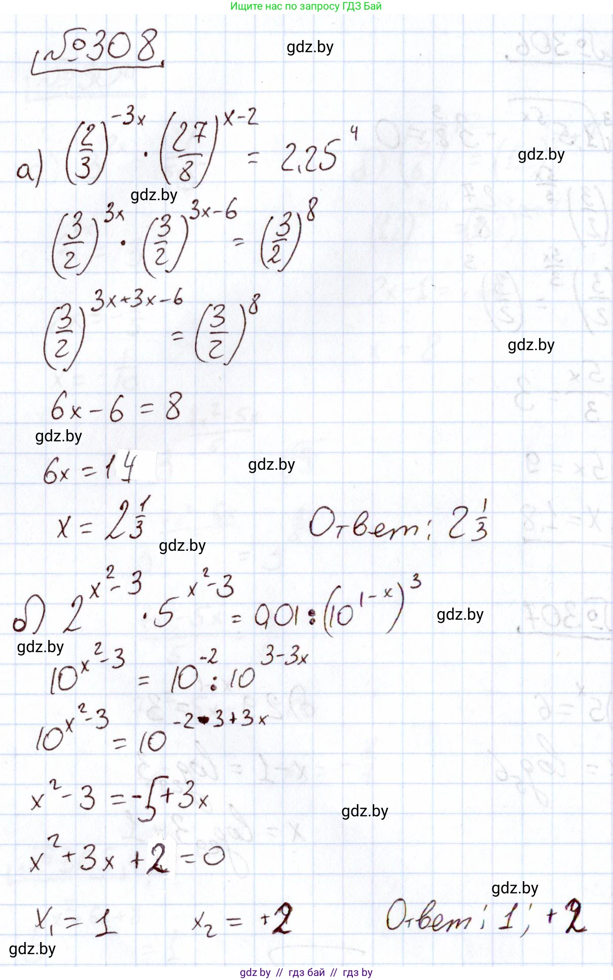
308. Используйте свойства степеней и решите уравнение:

a) $ (\frac{2}{3})^{-3x} \cdot (\frac{27}{8})^{x-2} = 2,25^4; $

б) $ 2^{x^2 - 3} \cdot 5^{x^2 - 3} = 0,01 : (10^{1-x})^3. $

Решение. №308 (с. 204)
Алгебра, 11 класс Учебник, авторы: Арефьева Ирина Глебовна, Пирютко Ольга Николаевна, издательство Народная асвета, Минск, 2020, бирюзового цвета, страница 204, номер 308, Решение
Решение 2. №308 (с. 204)

а) $(\frac{2}{3})^{-3x} \cdot (\frac{27}{8})^{x-2} = 2,25^4$

Для решения этого уравнения необходимо привести все его части к одному основанию. Заметим, что все основания можно выразить через дробь $\frac{3}{2}$.

1. Преобразуем левую часть уравнения. Используем свойство степени $(\frac{a}{b})^{-n} = (\frac{b}{a})^n$ для первого множителя:

$(\frac{2}{3})^{-3x} = (\frac{3}{2})^{3x}$

2. Представим второй множитель в виде степени с основанием $\frac{3}{2}$, зная что $27=3^3$ и $8=2^3$:

$(\frac{27}{8})^{x-2} = ((\frac{3}{2})^3)^{x-2}$

Используя свойство $(a^m)^n = a^{mn}$, получаем:

$(\frac{3}{2})^{3(x-2)} = (\frac{3}{2})^{3x-6}$

3. Теперь вся левая часть уравнения выглядит так:

$(\frac{3}{2})^{3x} \cdot (\frac{3}{2})^{3x-6}$

Используя свойство $a^m \cdot a^n = a^{m+n}$, складываем показатели степеней:

$(\frac{3}{2})^{3x + 3x - 6} = (\frac{3}{2})^{6x-6}$

4. Преобразуем правую часть уравнения. Переведем десятичную дробь в обыкновенную:

$2,25 = 2\frac{25}{100} = 2\frac{1}{4} = \frac{9}{4} = (\frac{3}{2})^2$

Тогда правая часть уравнения равна:

$((\frac{3}{2})^2)^4 = (\frac{3}{2})^{2 \cdot 4} = (\frac{3}{2})^8$

5. Приравняем левую и правую части:

$(\frac{3}{2})^{6x-6} = (\frac{3}{2})^8$

Так как основания степеней равны, мы можем приравнять их показатели:

$6x - 6 = 8$

$6x = 14$

$x = \frac{14}{6} = \frac{7}{3}$

Ответ: $x = \frac{7}{3}$.

б) $2^{x^2-3} \cdot 5^{x^2-3} = 0,01 : (10^{1-x})^3$

Для решения приведем обе части уравнения к основанию 10.

1. Преобразуем левую часть. Так как показатели степеней у множителей одинаковы, используем свойство $a^n \cdot b^n = (ab)^n$:

$2^{x^2-3} \cdot 5^{x^2-3} = (2 \cdot 5)^{x^2-3} = 10^{x^2-3}$

2. Преобразуем правую часть. Сначала представим десятичную дробь в виде степени с основанием 10:

$0,01 = \frac{1}{100} = 10^{-2}$

Затем упростим делитель, используя свойство $(a^m)^n = a^{mn}$:

$(10^{1-x})^3 = 10^{3(1-x)} = 10^{3-3x}$

3. Теперь вся правая часть выглядит так:

$10^{-2} : 10^{3-3x}$

Используя свойство $a^m : a^n = a^{m-n}$, вычитаем показатели степеней:

$10^{-2 - (3-3x)} = 10^{-2-3+3x} = 10^{3x-5}$

4. Приравняем преобразованные левую и правую части:

$10^{x^2-3} = 10^{3x-5}$

Так как основания равны, приравниваем показатели:

$x^2 - 3 = 3x - 5$

5. Решим полученное квадратное уравнение. Перенесем все члены в левую часть:

$x^2 - 3x - 3 + 5 = 0$

$x^2 - 3x + 2 = 0$

Найдем корни уравнения. Можно использовать теорему Виета: произведение корней равно 2, а сумма равна 3. Корнями являются $x_1 = 1$ и $x_2 = 2$.

Либо решим через дискриминант:

$D = b^2 - 4ac = (-3)^2 - 4 \cdot 1 \cdot 2 = 9 - 8 = 1$

$x_{1,2} = \frac{-b \pm \sqrt{D}}{2a} = \frac{3 \pm \sqrt{1}}{2}$

$x_1 = \frac{3+1}{2} = 2$

$x_2 = \frac{3-1}{2} = 1$

Ответ: $x_1 = 1, x_2 = 2$.

Помогло решение? Оставьте отзыв в комментариях ниже.

Присоединяйтесь к Телеграм-группе @gdz_by_belarus

Присоединиться

Мы подготовили для вас ответ c подробным объяснением домашего задания по алгебре за 11 класс, для упражнения номер 308 расположенного на странице 204 к учебнику 2020 года издания для учащихся школ и гимназий.

Теперь на нашем сайте ГДЗ.ТОП вы всегда легко и бесплатно найдёте условие с правильным ответом на вопрос «Как решить ДЗ» и «Как сделать» задание по алгебре к упражнению №308 (с. 204), авторов: Арефьева (Ирина Глебовна), Пирютко (Ольга Николаевна), учебного пособия издательства Народная асвета.