Номер 312, страница 205 - гдз по алгебре 11 класс учебник Арефьева, Пирютко

Алгебра, 11 класс Учебник, авторы: Арефьева Ирина Глебовна, Пирютко Ольга Николаевна, издательство Народная асвета, Минск, 2020, бирюзового цвета

Авторы: Арефьева И. Г., Пирютко О. Н.

Тип: Учебник

Издательство: Народная асвета

Год издания: 2020 - 2025

Цвет обложки: бирюзовый, зелёный с графиком

ISBN: 978-985-03-3165-6

Популярные ГДЗ в 11 классе

Упражнения для итогового повторения. Выражения и их преобразования - номер 312, страница 205.

№312 (с. 205)
Условие. №312 (с. 205)
скриншот условия
Алгебра, 11 класс Учебник, авторы: Арефьева Ирина Глебовна, Пирютко Ольга Николаевна, издательство Народная асвета, Минск, 2020, бирюзового цвета, страница 205, номер 312, Условие

312. Решите показательное неравенство:

а) $7^{3x+1} \geq \frac{1}{49};$

б) $(\sqrt{5})^{8x-3} < 0,2;$

в) $3^{8-x} \leq 1;$

г) $(\sqrt[3]{0,1})^{4x-1} > 1000;$

д) $5^{x^2+3x} > 125 \cdot 5^x;$

е) $3^{x^2-6x+0,5} \leq \frac{1}{81\sqrt{3}}.$

Решение. №312 (с. 205)
Алгебра, 11 класс Учебник, авторы: Арефьева Ирина Глебовна, Пирютко Ольга Николаевна, издательство Народная асвета, Минск, 2020, бирюзового цвета, страница 205, номер 312, Решение Алгебра, 11 класс Учебник, авторы: Арефьева Ирина Глебовна, Пирютко Ольга Николаевна, издательство Народная асвета, Минск, 2020, бирюзового цвета, страница 205, номер 312, Решение (продолжение 2)
Решение 2. №312 (с. 205)

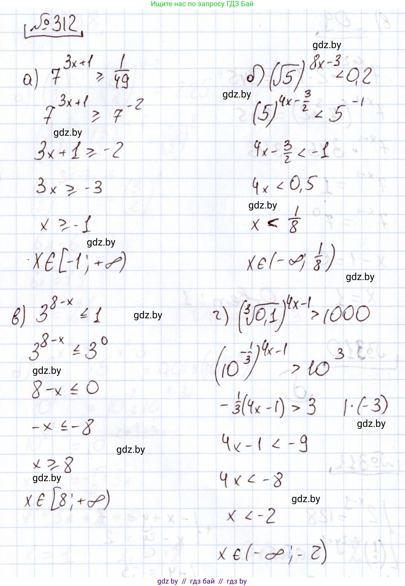
а) $7^{3x+1} \ge \frac{1}{49}$

Представим правую часть неравенства в виде степени с основанием 7. Так как $49 = 7^2$, то $\frac{1}{49} = \frac{1}{7^2} = 7^{-2}$.

Неравенство принимает вид: $7^{3x+1} \ge 7^{-2}$.

Поскольку основание степени $7 > 1$, показательная функция является возрастающей. Следовательно, при переходе к неравенству для показателей степеней знак неравенства сохраняется.

$3x + 1 \ge -2$

$3x \ge -3$

$x \ge -1$

Ответ: $x \in [-1; +\infty)$.

б) $(\sqrt{5})^{8x-3} < 0,2$

Приведем обе части неравенства к одному основанию 5. Левая часть: $\sqrt{5} = 5^{1/2}$, поэтому $(\sqrt{5})^{8x-3} = (5^{1/2})^{8x-3} = 5^{\frac{1}{2}(8x-3)} = 5^{4x-1,5}$. Правая часть: $0,2 = \frac{2}{10} = \frac{1}{5} = 5^{-1}$.

Неравенство принимает вид: $5^{4x-1,5} < 5^{-1}$.

Так как основание $5 > 1$, показательная функция является возрастающей, и знак неравенства при переходе к показателям сохраняется.

$4x - 1,5 < -1$

$4x < -1 + 1,5$

$4x < 0,5$

$x < \frac{0,5}{4}$

$x < \frac{1}{8}$

Ответ: $x \in (-\infty; \frac{1}{8})$.

в) $3^{8-x} \le 1$

Представим число 1 в виде степени с основанием 3: $1 = 3^0$.

Неравенство принимает вид: $3^{8-x} \le 3^0$.

Основание $3 > 1$, поэтому показательная функция возрастающая, и знак неравенства сохраняется.

$8 - x \le 0$

$8 \le x$

Ответ: $x \in [8; +\infty)$.

г) $(\sqrt[3]{0,1})^{4x-1} > 1000$

Приведем обе части неравенства к основанию 0,1. Левая часть: $\sqrt[3]{0,1} = (0,1)^{1/3}$, поэтому $(\sqrt[3]{0,1})^{4x-1} = (0,1)^{\frac{4x-1}{3}}$. Правая часть: $1000 = 10^3 = (\frac{1}{10})^{-3} = (0,1)^{-3}$.

Неравенство принимает вид: $(0,1)^{\frac{4x-1}{3}} > (0,1)^{-3}$.

Поскольку основание $0,1 < 1$, показательная функция является убывающей. При переходе к неравенству для показателей знак неравенства меняется на противоположный.

$\frac{4x-1}{3} < -3$

$4x - 1 < -9$

$4x < -8$

$x < -2$

Ответ: $x \in (-\infty; -2)$.

д) $5^{x^2 + 3x} > 125 \cdot 5^x$

Упростим правую часть неравенства, представив 125 как степень 5: $125 \cdot 5^x = 5^3 \cdot 5^x = 5^{3+x}$.

Неравенство принимает вид: $5^{x^2 + 3x} > 5^{x+3}$.

Основание $5 > 1$, функция возрастающая, поэтому знак неравенства сохраняется.

$x^2 + 3x > x + 3$

$x^2 + 2x - 3 > 0$

Для решения квадратного неравенства найдем корни соответствующего уравнения $x^2 + 2x - 3 = 0$. По теореме Виета, корни уравнения: $x_1 = 1$ и $x_2 = -3$.

Графиком функции $y=x^2 + 2x - 3$ является парабола с ветвями, направленными вверх. Значения функции положительны при $x$ вне интервала между корнями.

Таким образом, решение неравенства: $x < -3$ или $x > 1$.

Ответ: $(-\infty; -3) \cup (1; +\infty)$.

е) $3^{x^2 - 6x + 0,5} \le \frac{1}{81\sqrt{3}}$

Приведем правую часть к основанию 3. Знаем, что $81 = 3^4$ и $\sqrt{3} = 3^{1/2} = 3^{0,5}$. Тогда $81\sqrt{3} = 3^4 \cdot 3^{0,5} = 3^{4+0,5} = 3^{4,5}$.

Следовательно, правая часть равна $\frac{1}{3^{4,5}} = 3^{-4,5}$.

Неравенство принимает вид: $3^{x^2 - 6x + 0,5} \le 3^{-4,5}$.

Основание $3 > 1$, функция возрастающая, знак неравенства сохраняется.

$x^2 - 6x + 0,5 \le -4,5$

$x^2 - 6x + 0,5 + 4,5 \le 0$

$x^2 - 6x + 5 \le 0$

Найдем корни квадратного уравнения $x^2 - 6x + 5 = 0$. По теореме Виета, корни: $x_1 = 1$ и $x_2 = 5$.

Графиком функции $y=x^2 - 6x + 5$ является парабола с ветвями вверх. Значения функции не положительны ($ \le 0 $) при $x$, находящемся между корнями, включая сами корни.

Решением неравенства является отрезок $1 \le x \le 5$.

Ответ: $[1; 5]$.

Помогло решение? Оставьте отзыв в комментариях ниже.

Присоединяйтесь к Телеграм-группе @gdz_by_belarus

Присоединиться

Мы подготовили для вас ответ c подробным объяснением домашего задания по алгебре за 11 класс, для упражнения номер 312 расположенного на странице 205 к учебнику 2020 года издания для учащихся школ и гимназий.

Теперь на нашем сайте ГДЗ.ТОП вы всегда легко и бесплатно найдёте условие с правильным ответом на вопрос «Как решить ДЗ» и «Как сделать» задание по алгебре к упражнению №312 (с. 205), авторов: Арефьева (Ирина Глебовна), Пирютко (Ольга Николаевна), учебного пособия издательства Народная асвета.