Номер 316, страница 206 - гдз по алгебре 11 класс учебник Арефьева, Пирютко

Алгебра, 11 класс Учебник, авторы: Арефьева Ирина Глебовна, Пирютко Ольга Николаевна, издательство Народная асвета, Минск, 2020, бирюзового цвета

Авторы: Арефьева И. Г., Пирютко О. Н.

Тип: Учебник

Издательство: Народная асвета

Год издания: 2020 - 2025

Цвет обложки: бирюзовый, зелёный с графиком

ISBN: 978-985-03-3165-6

Популярные ГДЗ в 11 классе

Упражнения для итогового повторения. Выражения и их преобразования - номер 316, страница 206.

№316 (с. 206)
Условие. №316 (с. 206)
скриншот условия
Алгебра, 11 класс Учебник, авторы: Арефьева Ирина Глебовна, Пирютко Ольга Николаевна, издательство Народная асвета, Минск, 2020, бирюзового цвета, страница 206, номер 316, Условие

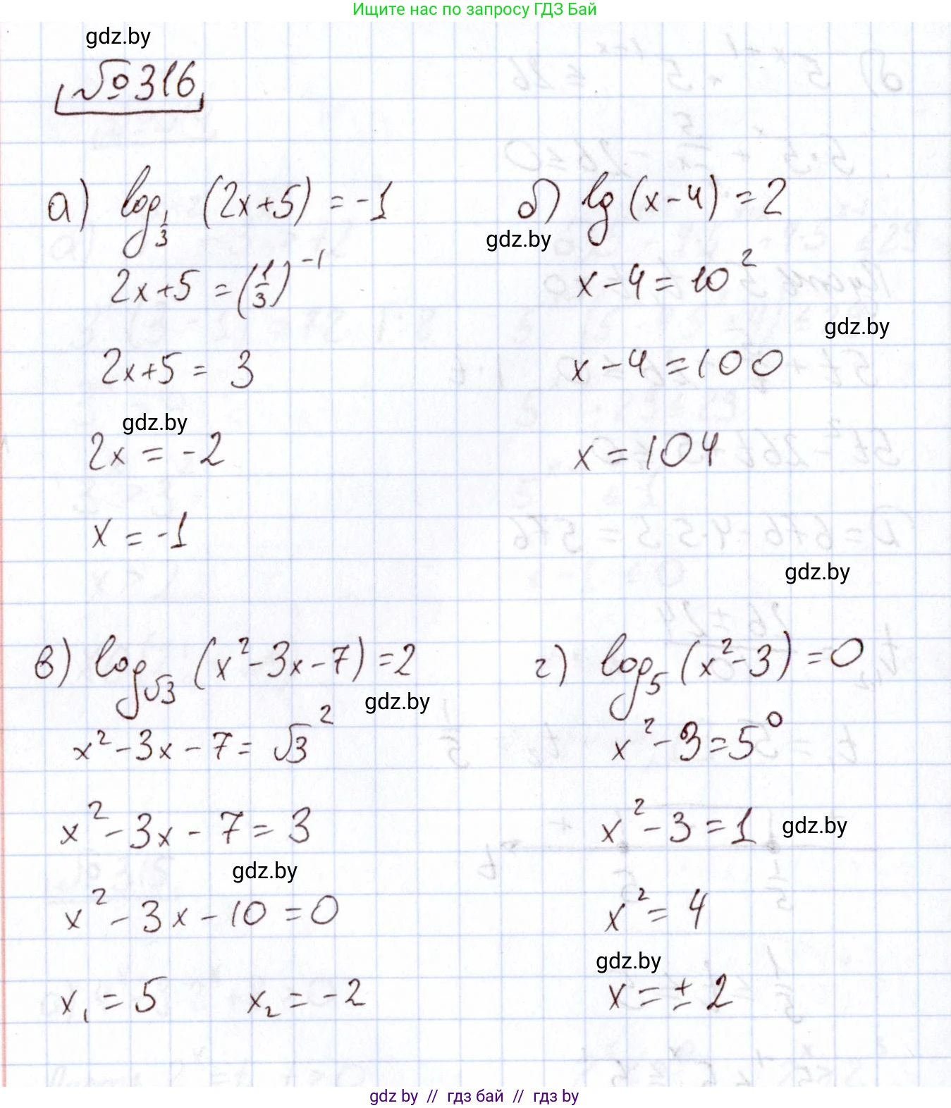
316. Решите логарифмическое уравнение, используя определение логарифма:

а) $\log_{\frac{1}{3}}(2x + 5) = -1$;

б) $\lg(x - 4) = 2$;

в) $\log_{\sqrt{3}}(x^2 - 3x - 7) = 2$;

г) $\log_5(x^2 - 3) = 0$.

Решение. №316 (с. 206)
Алгебра, 11 класс Учебник, авторы: Арефьева Ирина Глебовна, Пирютко Ольга Николаевна, издательство Народная асвета, Минск, 2020, бирюзового цвета, страница 206, номер 316, Решение
Решение 2. №316 (с. 206)

Для решения логарифмических уравнений воспользуемся определением логарифма: $\log_a b = c$ эквивалентно $b = a^c$, где $a > 0$, $a \neq 1$ и $b > 0$.

а) $\log_{\frac{1}{3}}(2x + 5) = -1$

Согласно определению логарифма, данное уравнение равносильно следующему:

$2x + 5 = (\frac{1}{3})^{-1}$

Так как $(\frac{1}{3})^{-1} = 3$, получаем линейное уравнение:

$2x + 5 = 3$

$2x = 3 - 5$

$2x = -2$

$x = -1$

Проверим, удовлетворяет ли найденный корень условию существования логарифма (аргумент логарифма должен быть положителен):

$2x + 5 > 0$

$2(-1) + 5 = -2 + 5 = 3$

$3 > 0$. Условие выполняется.

Ответ: -1

б) $\lg(x - 4) = 2$

Десятичный логарифм $\lg$ — это логарифм по основанию 10, то есть $\lg(x - 4) = \log_{10}(x - 4)$.

Используя определение логарифма, переходим к уравнению:

$x - 4 = 10^2$

$x - 4 = 100$

$x = 100 + 4$

$x = 104$

Проверим условие $x - 4 > 0$:

$104 - 4 = 100$

$100 > 0$. Условие выполняется.

Ответ: 104

в) $\log_{\sqrt{3}}(x^2 - 3x - 7) = 2$

По определению логарифма:

$x^2 - 3x - 7 = (\sqrt{3})^2$

$x^2 - 3x - 7 = 3$

Перенесем все члены в левую часть, чтобы получить квадратное уравнение:

$x^2 - 3x - 7 - 3 = 0$

$x^2 - 3x - 10 = 0$

Найдем корни квадратного уравнения с помощью дискриминанта $D = b^2 - 4ac$:

$D = (-3)^2 - 4 \cdot 1 \cdot (-10) = 9 + 40 = 49 = 7^2$

$x_1 = \frac{-(-3) + 7}{2 \cdot 1} = \frac{3 + 7}{2} = \frac{10}{2} = 5$

$x_2 = \frac{-(-3) - 7}{2 \cdot 1} = \frac{3 - 7}{2} = \frac{-4}{2} = -2$

Так как мы решали уравнение $x^2 - 3x - 7 = 3$, а число 3 положительно, условие положительности аргумента логарифма ($x^2 - 3x - 7 > 0$) выполняется автоматически для найденных корней. Оба корня являются решениями.

Ответ: -2; 5

г) $\log_5(x^2 - 3) = 0$

По определению логарифма:

$x^2 - 3 = 5^0$

Любое число в нулевой степени равно 1, поэтому:

$x^2 - 3 = 1$

$x^2 = 1 + 3$

$x^2 = 4$

Отсюда получаем два корня:

$x_1 = 2$, $x_2 = -2$

Условие существования логарифма $x^2 - 3 > 0$ для найденных корней выполняется, так как $x^2 - 3 = 1$, а $1 > 0$.

Ответ: -2; 2

Помогло решение? Оставьте отзыв в комментариях ниже.

Присоединяйтесь к Телеграм-группе @gdz_by_belarus

Присоединиться

Мы подготовили для вас ответ c подробным объяснением домашего задания по алгебре за 11 класс, для упражнения номер 316 расположенного на странице 206 к учебнику 2020 года издания для учащихся школ и гимназий.

Теперь на нашем сайте ГДЗ.ТОП вы всегда легко и бесплатно найдёте условие с правильным ответом на вопрос «Как решить ДЗ» и «Как сделать» задание по алгебре к упражнению №316 (с. 206), авторов: Арефьева (Ирина Глебовна), Пирютко (Ольга Николаевна), учебного пособия издательства Народная асвета.