Номер 15, страница 245 - гдз по алгебре 11 класс учебник Арефьева, Пирютко

Алгебра, 11 класс Учебник, авторы: Арефьева Ирина Глебовна, Пирютко Ольга Николаевна, издательство Народная асвета, Минск, 2020, бирюзового цвета

Авторы: Арефьева И. Г., Пирютко О. Н.

Тип: Учебник

Издательство: Народная асвета

Год издания: 2020 - 2025

Цвет обложки: бирюзовый, зелёный с графиком

ISBN: 978-985-03-3165-6

Популярные ГДЗ в 11 классе

Тематические тесты. Тест 5. Тригонометрические функции - номер 15, страница 245.

№15 (с. 245)
Условие. №15 (с. 245)
скриншот условия
Алгебра, 11 класс Учебник, авторы: Арефьева Ирина Глебовна, Пирютко Ольга Николаевна, издательство Народная асвета, Минск, 2020, бирюзового цвета, страница 245, номер 15, Условие

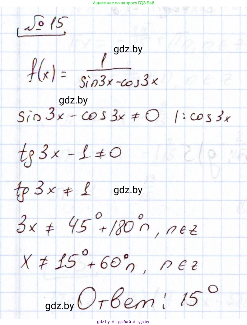
15. Найдите (в градусах) наименьшее положительное значение переменной, не входящее в область определения функции $f(x) = \frac{1}{\sin 3x - \cos 3x}$.

Решение. №15 (с. 245)
Алгебра, 11 класс Учебник, авторы: Арефьева Ирина Глебовна, Пирютко Ольга Николаевна, издательство Народная асвета, Минск, 2020, бирюзового цвета, страница 245, номер 15, Решение
Решение 2. №15 (с. 245)

Область определения функции $f(x) = \frac{1}{\sin(3x) - \cos(3x)}$ включает все значения переменной $x$, при которых знаменатель дроби не равен нулю.

Значения переменной, не входящие в область определения, — это те значения, при которых знаменатель обращается в ноль. Найдем эти значения, решив уравнение:

$\sin(3x) - \cos(3x) = 0$

Перенесем $\cos(3x)$ в правую часть уравнения:

$\sin(3x) = \cos(3x)$

Разделим обе части уравнения на $\cos(3x)$. Это можно сделать, так как если бы $\cos(3x) = 0$, то из уравнения следовало бы, что и $\sin(3x) = 0$. Однако синус и косинус одного и того же угла не могут одновременно быть равны нулю, так как это противоречит основному тригонометрическому тождеству $\sin^2(3x) + \cos^2(3x) = 1$.

В результате деления получаем:

$\frac{\sin(3x)}{\cos(3x)} = 1$

$\tan(3x) = 1$

Решим это тригонометрическое уравнение. Так как в вопросе требуется ответ в градусах, будем вести вычисления в градусах.

$3x = \arctan(1) + 180^\circ \cdot n$, где $n$ — любое целое число.

$3x = 45^\circ + 180^\circ \cdot n$

Теперь найдем $x$, разделив обе части на 3:

$x = \frac{45^\circ}{3} + \frac{180^\circ \cdot n}{3}$

$x = 15^\circ + 60^\circ \cdot n$

Мы получили общую формулу для всех значений $x$, не входящих в область определения функции. Теперь нам нужно найти наименьшее положительное значение из этой серии. Будем подставлять различные целые значения $n$. При $n = -1$ получаем $x = 15^\circ - 60^\circ = -45^\circ$, что является отрицательным значением. При $n = 0$ получаем $x = 15^\circ + 60^\circ \cdot 0 = 15^\circ$, что является положительным значением. При $n = 1$ получаем $x = 15^\circ + 60^\circ \cdot 1 = 75^\circ$, что также является положительным значением, но больше предыдущего. Таким образом, наименьшее положительное значение равно $15^\circ$.

Ответ: 15.

Помогло решение? Оставьте отзыв в комментариях ниже.

Присоединяйтесь к Телеграм-группе @gdz_by_belarus

Присоединиться

Мы подготовили для вас ответ c подробным объяснением домашего задания по алгебре за 11 класс, для упражнения номер 15 расположенного на странице 245 к учебнику 2020 года издания для учащихся школ и гимназий.

Теперь на нашем сайте ГДЗ.ТОП вы всегда легко и бесплатно найдёте условие с правильным ответом на вопрос «Как решить ДЗ» и «Как сделать» задание по алгебре к упражнению №15 (с. 245), авторов: Арефьева (Ирина Глебовна), Пирютко (Ольга Николаевна), учебного пособия издательства Народная асвета.