Номер 79, страница 189 - гдз по математике 6 класс сборник задач Пирютко, Терешко

Математика, 6 класс Сборник задач, авторы: Пирютко Ольга Николаевна, Терешко Оксана Александровна, издательство Адукацыя i выхаванне, Минск, 2020, салатового цвета

Авторы: Пирютко О. Н., Терешко О. А.

Тип: Сборник задач

Издательство: Адукацыя i выхаванне

Год издания: 2020 - 2025

Цвет обложки: салатовый, белый, красный с учениками

ISBN: 978-985-599-225-8

Допущено Министерством образования Республики Беларусь

Популярные ГДЗ в 6 классе

Задачи для повторения - номер 79, страница 189.

№79 (с. 189)
Условие. №79 (с. 189)
скриншот условия
Математика, 6 класс Сборник задач, авторы: Пирютко Ольга Николаевна, Терешко Оксана Александровна, издательство Адукацыя i выхаванне, Минск, 2020, салатового цвета, страница 189, номер 79, Условие

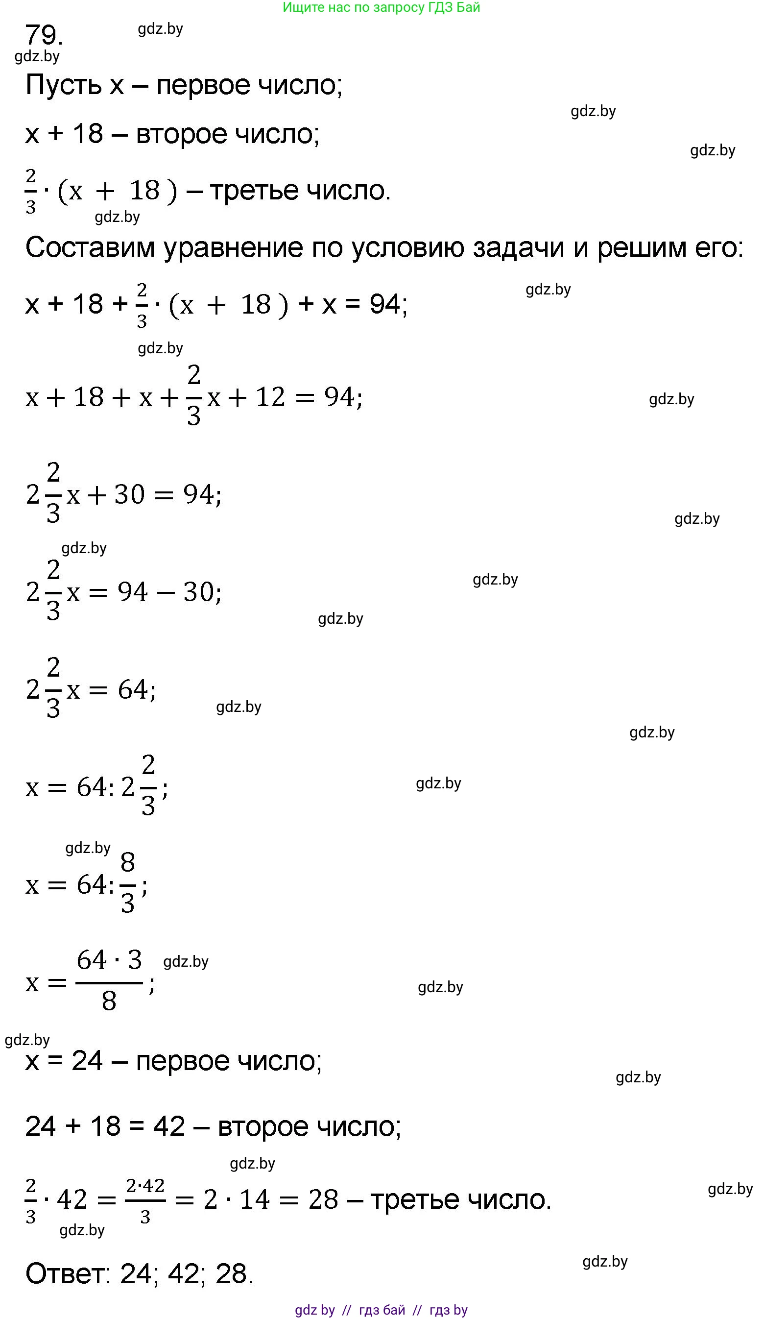
79. Сумма трёх чисел равна 94. Первое число на 18 меньше второго, а третье число составляет $\frac{2}{3}$ второго. Найдите эти числа.

Решение. №79 (с. 189)
Математика, 6 класс Сборник задач, авторы: Пирютко Ольга Николаевна, Терешко Оксана Александровна, издательство Адукацыя i выхаванне, Минск, 2020, салатового цвета, страница 189, номер 79, Решение
Решение 2. №79 (с. 189)

Для решения задачи составим уравнение. Обозначим второе число через $x$.

Согласно условию, первое число на 18 меньше второго, следовательно, его можно выразить как $x - 18$.

Третье число составляет $\frac{2}{3}$ второго, то есть его можно записать как $\frac{2}{3}x$.

Сумма трёх чисел равна 94. Составим и решим уравнение:

$(x - 18) + x + \frac{2}{3}x = 94$

Сгруппируем слагаемые с переменной $x$ и перенесём число -18 в правую часть уравнения с противоположным знаком:

$x + x + \frac{2}{3}x = 94 + 18$

$2x + \frac{2}{3}x = 112$

Чтобы сложить $2x$ и $\frac{2}{3}x$, представим $2x$ в виде дроби со знаменателем 3:

$\frac{6}{3}x + \frac{2}{3}x = 112$

$\frac{8}{3}x = 112$

Теперь найдём $x$, который является вторым числом:

$x = 112 \div \frac{8}{3}$

$x = 112 \cdot \frac{3}{8}$

$x = \frac{112 \cdot 3}{8} = 14 \cdot 3 = 42$

Итак, второе число равно 42.

Теперь найдём первое и третье числа.

Первое число: $x - 18 = 42 - 18 = 24$.

Третье число: $\frac{2}{3}x = \frac{2}{3} \cdot 42 = \frac{2 \cdot 42}{3} = 2 \cdot 14 = 28$.

Проверим, равна ли сумма найденных чисел 94:

$24 + 42 + 28 = 66 + 28 = 94$

Условие выполняется.

Первое число: Ответ: 24

Второе число: Ответ: 42

Третье число: Ответ: 28

Помогло решение? Оставьте отзыв в комментариях ниже.

Присоединяйтесь к Телеграм-группе @gdz_by_belarus

Присоединиться

Мы подготовили для вас ответ c подробным объяснением домашего задания по математике за 6 класс, для упражнения номер 79 расположенного на странице 189 к сборнику задач 2020 года издания для учащихся школ и гимназий.

Теперь на нашем сайте ГДЗ.ТОП вы всегда легко и бесплатно найдёте условие с правильным ответом на вопрос «Как решить ДЗ» и «Как сделать» задание по математике к упражнению №79 (с. 189), авторов: Пирютко (Ольга Николаевна), Терешко (Оксана Александровна), учебного пособия издательства Адукацыя i выхаванне.