Номер 13.28, страница 59 - гдз по алгебре 7-9 класс сборник задач Арефьева, Пирютко
Авторы: Арефьева И. Г., Пирютко О. Н.
Тип: Сборник задач
Издательство: Народная асвета
Год издания: 2020 - 2025
Цвет обложки: синий с графиками
Допущено Министерством образования Республики Беларусь
Популярные ГДЗ в 7 классе
7 класс. Параграф 13. Разложение многочлена на множители - номер 13.28, страница 59.
№13.28 (с. 59)
Условие. №13.28 (с. 59)
скриншот условия
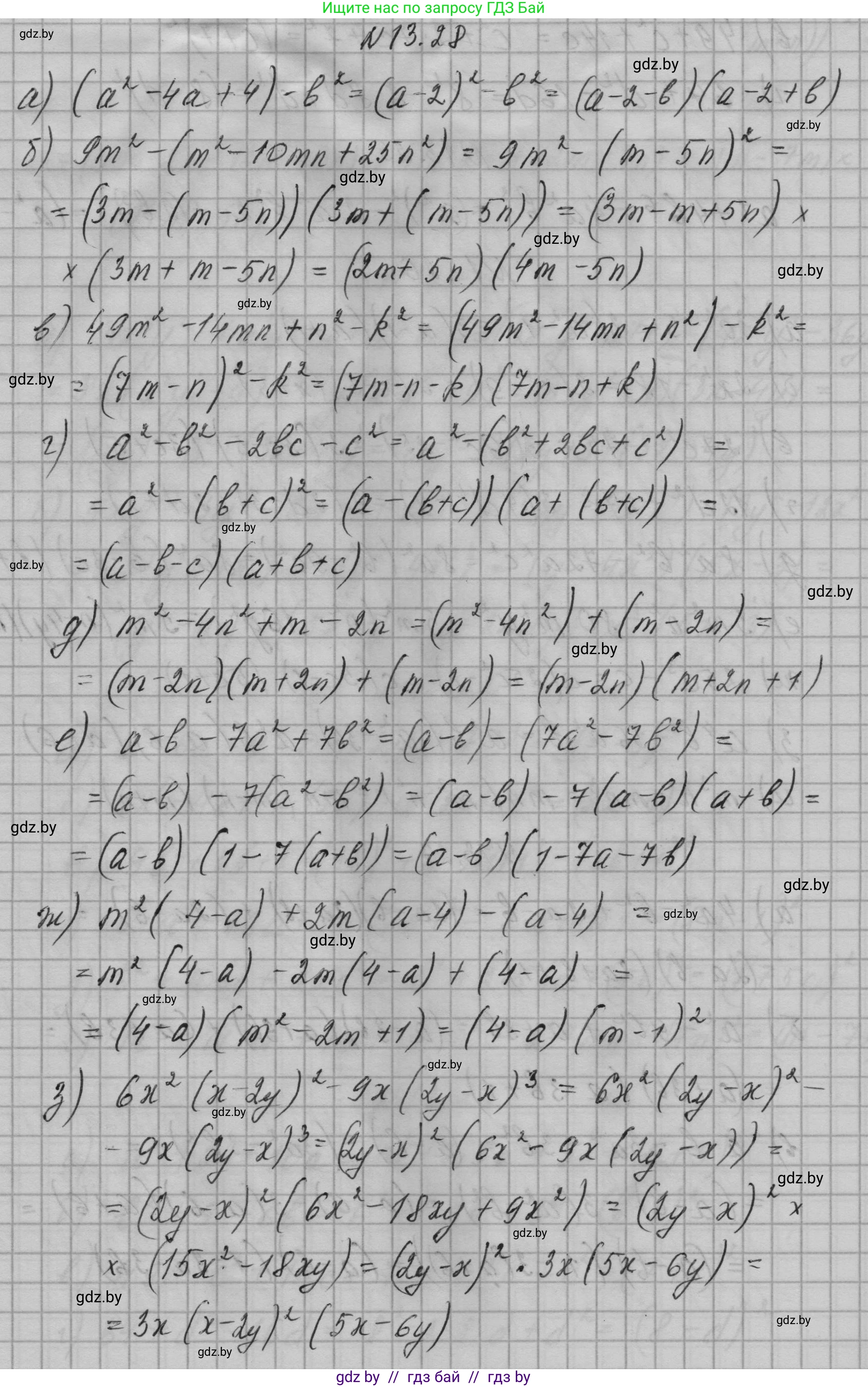
13.28. Разложите многочлен на множители, используя комбинацию различных способов:
а) $(a^2 - 4a + 4) - b^2$;
б) $9m^2 - (m^2 - 10mn + 25n^2)$;
в) $49m^2 - 14mn + n^2 - k^2$;
г) $a^2 - b^2 - 2bc - c^2$;
д) $m^2 - 4n^2 + m - 2n$;
е) $a - b - 7a^2 + 7b^2$;
ж) $m^2(4 - a) + 2m(a - 4) - (a - 4)$;
з) $6x^2(x - 2y)^2 - 9x(2y - x)^3$;
и) $4x^2(x - 4 + y) - 6x(4 - x - y)$;
к) $a^2 + 2ab + b^2 - ac - bc$.
Решение. №13.28 (с. 59)
Решение 2. №13.28 (с. 59)
а) Дан многочлен $(a^2 - 4a + 4) - b^2$.
Сначала рассмотрим выражение в скобках $a^2 - 4a + 4$. Это формула квадрата разности: $a^2 - 2 \cdot a \cdot 2 + 2^2 = (a-2)^2$.
Подставим полученный квадрат в исходное выражение: $(a-2)^2 - b^2$.
Теперь мы видим формулу разности квадратов $x^2 - y^2 = (x-y)(x+y)$, где $x = a-2$ и $y = b$.
Применим эту формулу: $((a-2) - b)((a-2) + b)$.
Упростим, убрав внутренние скобки: $(a - b - 2)(a + b - 2)$.
Ответ: $(a - b - 2)(a + b - 2)$.
б) Дан многочлен $9m^2 - (m^2 - 10mn + 25n^2)$.
Выражение в скобках $m^2 - 10mn + 25n^2$ является квадратом разности: $m^2 - 2 \cdot m \cdot (5n) + (5n)^2 = (m-5n)^2$.
Подставим в исходное выражение: $9m^2 - (m-5n)^2$.
Представим $9m^2$ как $(3m)^2$ и получим разность квадратов: $(3m)^2 - (m-5n)^2$.
Применим формулу $x^2 - y^2 = (x-y)(x+y)$, где $x = 3m$ и $y = m-5n$:
$(3m - (m-5n))(3m + (m-5n))$.
Раскроем скобки внутри: $(3m - m + 5n)(3m + m - 5n)$.
Приведем подобные слагаемые: $(2m + 5n)(4m - 5n)$.
Ответ: $(2m + 5n)(4m - 5n)$.
в) Дан многочлен $49m^2 - 14mn + n^2 - k^2$.
Сгруппируем первые три члена: $(49m^2 - 14mn + n^2) - k^2$.
Выражение в скобках является квадратом разности: $(7m)^2 - 2 \cdot (7m) \cdot n + n^2 = (7m - n)^2$.
Подставим в выражение: $(7m - n)^2 - k^2$.
Применим формулу разности квадратов: $((7m - n) - k)((7m - n) + k)$.
Упростим: $(7m - n - k)(7m - n + k)$.
Ответ: $(7m - n - k)(7m - n + k)$.
г) Дан многочлен $a^2 - b^2 - 2bc - c^2$.
Сгруппируем последние три члена, вынеся за скобки $-1$: $a^2 - (b^2 + 2bc + c^2)$.
Выражение в скобках является квадратом суммы: $b^2 + 2bc + c^2 = (b+c)^2$.
Подставим в выражение: $a^2 - (b+c)^2$.
Применим формулу разности квадратов: $(a - (b+c))(a + (b+c))$.
Упростим: $(a - b - c)(a + b + c)$.
Ответ: $(a - b - c)(a + b + c)$.
д) Дан многочлен $m^2 - 4n^2 + m - 2n$.
Сгруппируем члены: $(m^2 - 4n^2) + (m - 2n)$.
Первая группа является разностью квадратов: $m^2 - (2n)^2 = (m - 2n)(m + 2n)$.
Подставим в выражение: $(m - 2n)(m + 2n) + (m - 2n)$.
Вынесем общий множитель $(m - 2n)$ за скобки: $(m - 2n)((m + 2n) + 1)$.
Упростим: $(m - 2n)(m + 2n + 1)$.
Ответ: $(m - 2n)(m + 2n + 1)$.
е) Дан многочлен $a - b - 7a^2 + 7b^2$.
Сгруппируем члены: $(a - b) + (-7a^2 + 7b^2) = (a - b) - 7(a^2 - b^2)$.
Применим формулу разности квадратов для $a^2 - b^2$: $(a - b) - 7(a - b)(a + b)$.
Вынесем общий множитель $(a-b)$ за скобки: $(a - b)(1 - 7(a + b))$.
Упростим выражение во второй скобке: $(a - b)(1 - 7a - 7b)$.
Ответ: $(a - b)(1 - 7a - 7b)$.
ж) Дан многочлен $m^2(4 - a) + 2m(a - 4) - (a - 4)$.
Заметим, что $(a - 4) = -(4 - a)$. Приведем все скобки к виду $(4-a)$:
$m^2(4 - a) - 2m(4 - a) + (4 - a)$.
Вынесем общий множитель $(4 - a)$ за скобки: $(4 - a)(m^2 - 2m + 1)$.
Выражение во второй скобке является квадратом разности: $m^2 - 2m + 1 = (m-1)^2$.
Таким образом, получаем: $(4 - a)(m - 1)^2$.
Ответ: $(4 - a)(m - 1)^2$.
з) Дан многочлен $6x^2(x - 2y)^2 - 9x(2y - x)^3$.
Заметим, что $(2y - x) = -(x - 2y)$, следовательно, $(2y - x)^3 = (-(x - 2y))^3 = -(x - 2y)^3$.
Подставим это в исходное выражение: $6x^2(x - 2y)^2 - 9x(-(x - 2y)^3) = 6x^2(x - 2y)^2 + 9x(x - 2y)^3$.
Вынесем за скобки общий множитель $3x(x - 2y)^2$:
$3x(x - 2y)^2 [2x + 3(x - 2y)]$.
Упростим выражение в квадратных скобках: $2x + 3x - 6y = 5x - 6y$.
Окончательный вид: $3x(x - 2y)^2(5x - 6y)$.
Ответ: $3x(x - 2y)^2(5x - 6y)$.
и) Дан многочлен $4x^2(x - 4 + y) - 6x(4 - x - y)$.
Заметим, что $(4 - x - y) = -(x + y - 4)$.
Подставим это в исходное выражение: $4x^2(x + y - 4) - 6x(-(x + y - 4)) = 4x^2(x + y - 4) + 6x(x + y - 4)$.
Вынесем за скобки общий множитель $2x(x + y - 4)$:
$2x(x + y - 4)(2x + 3)$.
Запишем в более стандартном виде: $2x(2x+3)(x+y-4)$.
Ответ: $2x(2x+3)(x+y-4)$.
к) Дан многочлен $a^2 + 2ab + b^2 - ac - bc$.
Сгруппируем члены: $(a^2 + 2ab + b^2) - (ac + bc)$.
Первая группа является квадратом суммы: $(a + b)^2$.
Во второй группе вынесем общий множитель $c$: $c(a + b)$.
Выражение принимает вид: $(a + b)^2 - c(a + b)$.
Вынесем общий множитель $(a+b)$ за скобки: $(a+b)((a+b) - c)$.
Упростим: $(a + b)(a + b - c)$.
Ответ: $(a + b)(a + b - c)$.
Другие задания:
Помогло решение? Оставьте отзыв в комментариях ниже.
Присоединяйтесь к Телеграм-группе @gdz_by_belarus
ПрисоединитьсяМы подготовили для вас ответ c подробным объяснением домашего задания по алгебре за 7-9 класс, для упражнения номер 13.28 расположенного на странице 59 к сборнику задач 2020 года издания для учащихся школ и гимназий.
Теперь на нашем сайте ГДЗ.ТОП вы всегда легко и бесплатно найдёте условие с правильным ответом на вопрос «Как решить ДЗ» и «Как сделать» задание по алгебре к упражнению №13.28 (с. 59), авторов: Арефьева (Ирина Глебовна), Пирютко (Ольга Николаевна), учебного пособия издательства Народная асвета.