Номер 13.27, страница 59 - гдз по алгебре 7-9 класс сборник задач Арефьева, Пирютко

Алгебра, 7-9 класс Сборник задач, авторы: Арефьева Ирина Глебовна, Пирютко Ольга Николаевна, издательство Народная асвета, Минск, 2020

Авторы: Арефьева И. Г., Пирютко О. Н.

Тип: Сборник задач

Издательство: Народная асвета

Год издания: 2020 - 2025

Цвет обложки: синий с графиками

Допущено Министерством образования Республики Беларусь

Популярные ГДЗ в 7 классе

7 класс. Параграф 13. Разложение многочлена на множители - номер 13.27, страница 59.

№13.27 (с. 59)
Условие. №13.27 (с. 59)
скриншот условия
Алгебра, 7-9 класс Сборник задач, авторы: Арефьева Ирина Глебовна, Пирютко Ольга Николаевна, издательство Народная асвета, Минск, 2020, страница 59, номер 13.27, Условие

13.27. Разложите на множители многочлен:

а) $4a^2 - b^2 + 2a - b;$

б) $a^2 - 9b^2 + a + 3b;$

В) $a - b - 3a^2 + 3b^2;$

Г) $2x^2 - 2y^2 - x + y.$

Решение. №13.27 (с. 59)
Алгебра, 7-9 класс Сборник задач, авторы: Арефьева Ирина Глебовна, Пирютко Ольга Николаевна, издательство Народная асвета, Минск, 2020, страница 59, номер 13.27, Решение Алгебра, 7-9 класс Сборник задач, авторы: Арефьева Ирина Глебовна, Пирютко Ольга Николаевна, издательство Народная асвета, Минск, 2020, страница 59, номер 13.27, Решение (продолжение 2)
Решение 2. №13.27 (с. 59)

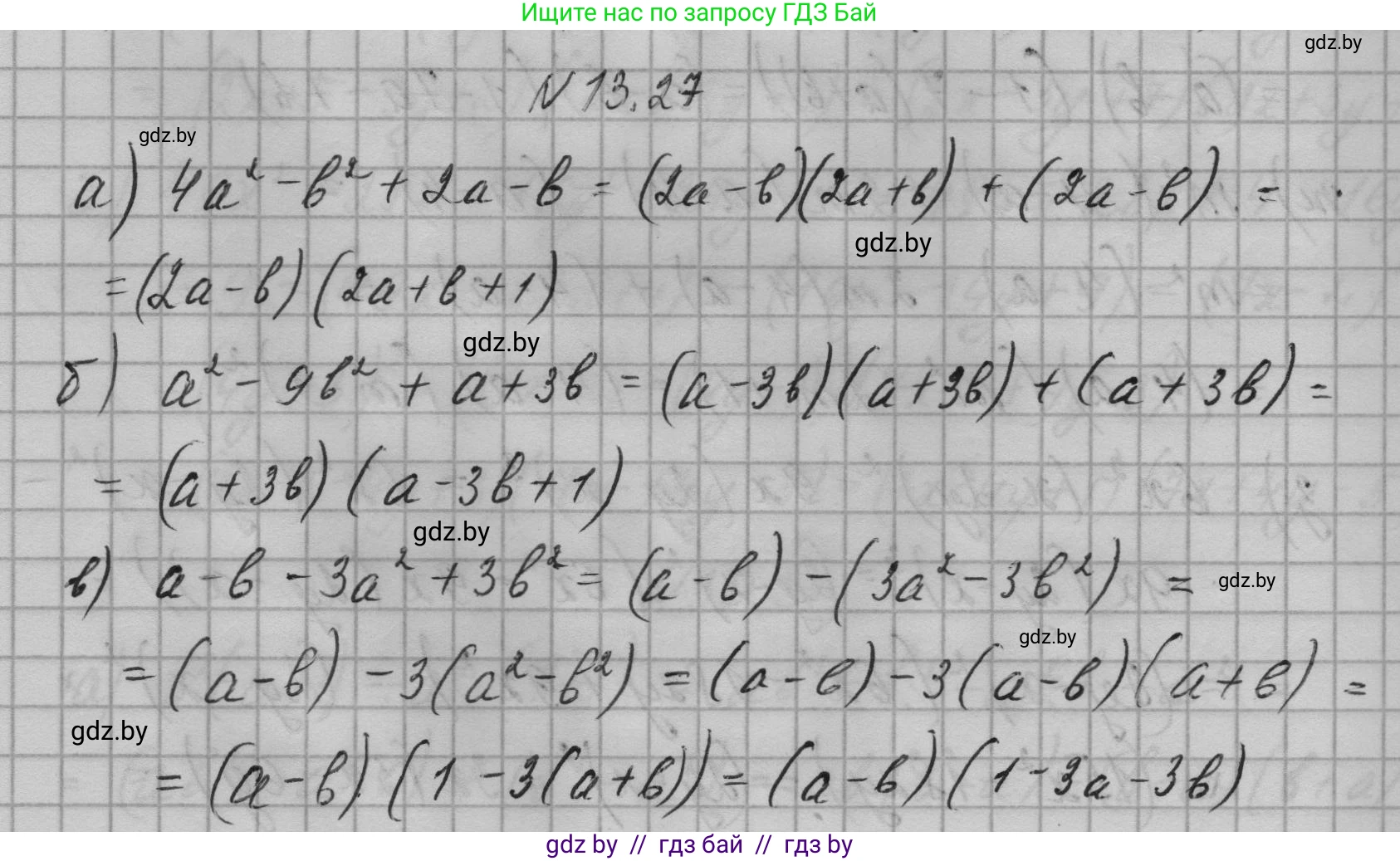
а) $4a^2 - b^2 + 2a - b$

Для разложения многочлена на множители используем метод группировки. Сгруппируем первые два слагаемых и последние два слагаемых:

$(4a^2 - b^2) + (2a - b)$

Первая группа $4a^2 - b^2$ представляет собой разность квадратов, которую можно разложить по формуле $x^2 - y^2 = (x - y)(x + y)$:

$4a^2 - b^2 = (2a)^2 - b^2 = (2a - b)(2a + b)$

Теперь подставим это разложение обратно в выражение:

$(2a - b)(2a + b) + (2a - b)$

Мы видим, что у обоих слагаемых есть общий множитель $(2a - b)$. Вынесем его за скобки:

$(2a - b) \cdot ((2a + b) + 1)$

Раскроем внутренние скобки и получим окончательный результат:

$(2a - b)(2a + b + 1)$

Ответ: $(2a - b)(2a + b + 1)$.

б) $a^2 - 9b^2 + a + 3b$

Сгруппируем слагаемые: первые два и последние два.

$(a^2 - 9b^2) + (a + 3b)$

Выражение в первой скобке $a^2 - 9b^2$ — это разность квадратов. Разложим его по формуле:

$a^2 - 9b^2 = a^2 - (3b)^2 = (a - 3b)(a + 3b)$

Подставим разложение в наше выражение:

$(a - 3b)(a + 3b) + (a + 3b)$

Теперь вынесем общий множитель $(a + 3b)$ за скобки:

$(a + 3b) \cdot ((a - 3b) + 1)$

Упростим выражение во второй скобке:

$(a + 3b)(a - 3b + 1)$

Ответ: $(a + 3b)(a - 3b + 1)$.

в) $a - b - 3a^2 + 3b^2$

Сгруппируем слагаемые следующим образом:

$(a - b) + (-3a^2 + 3b^2)$

Из второй группы вынесем общий множитель $-3$:

$(a - b) - 3(a^2 - b^2)$

Выражение в скобках $a^2 - b^2$ является разностью квадратов, которую мы разложим:

$a^2 - b^2 = (a - b)(a + b)$

Подставим это в наше выражение:

$(a - b) - 3(a - b)(a + b)$

Теперь мы видим общий множитель $(a - b)$, который можно вынести за скобки:

$(a - b) \cdot (1 - 3(a + b))$

Раскроем скобки во втором множителе:

$(a - b)(1 - 3a - 3b)$

Ответ: $(a - b)(1 - 3a - 3b)$.

г) $2x^2 - 2y^2 - x + y$

Сгруппируем слагаемые:

$(2x^2 - 2y^2) + (-x + y)$

В первой группе вынесем за скобки множитель $2$, а во второй группе вынесем $-1$, чтобы получить общий множитель:

$2(x^2 - y^2) - (x - y)$

Применим формулу разности квадратов к выражению $x^2 - y^2$:

$x^2 - y^2 = (x - y)(x + y)$

Подставим разложение в наше выражение:

$2(x - y)(x + y) - (x - y)$

Вынесем общий множитель $(x - y)$ за скобки:

$(x - y) \cdot (2(x + y) - 1)$

Раскроем скобки во втором множителе:

$(x - y)(2x + 2y - 1)$

Ответ: $(x - y)(2x + 2y - 1)$.

Помогло решение? Оставьте отзыв в комментариях ниже.

Присоединяйтесь к Телеграм-группе @gdz_by_belarus

Присоединиться

Мы подготовили для вас ответ c подробным объяснением домашего задания по алгебре за 7-9 класс, для упражнения номер 13.27 расположенного на странице 59 к сборнику задач 2020 года издания для учащихся школ и гимназий.

Теперь на нашем сайте ГДЗ.ТОП вы всегда легко и бесплатно найдёте условие с правильным ответом на вопрос «Как решить ДЗ» и «Как сделать» задание по алгебре к упражнению №13.27 (с. 59), авторов: Арефьева (Ирина Глебовна), Пирютко (Ольга Николаевна), учебного пособия издательства Народная асвета.