Номер 13.32, страница 60 - гдз по алгебре 7-9 класс сборник задач Арефьева, Пирютко

Алгебра, 7-9 класс Сборник задач, авторы: Арефьева Ирина Глебовна, Пирютко Ольга Николаевна, издательство Народная асвета, Минск, 2020

Авторы: Арефьева И. Г., Пирютко О. Н.

Тип: Сборник задач

Издательство: Народная асвета

Год издания: 2020 - 2025

Цвет обложки: синий с графиками

Допущено Министерством образования Республики Беларусь

Популярные ГДЗ в 7 классе

7 класс. Параграф 13. Разложение многочлена на множители - номер 13.32, страница 60.

№13.32 (с. 60)
Условие. №13.32 (с. 60)
скриншот условия
Алгебра, 7-9 класс Сборник задач, авторы: Арефьева Ирина Глебовна, Пирютко Ольга Николаевна, издательство Народная асвета, Минск, 2020, страница 60, номер 13.32, Условие

13.32*. Разложите на множители выражение:

а) $(3x - a)y^2 - 4(a - 3x)y - 4a + 12x;$

б) $(2a - 3b)x^2 - 6(3b - 2a)x + 18a - 27b;$

в) $(xy + y^2)(x^2 + 4x) - (x^2 + xy)(y^2 + 4y);$

г) $(ab + b^2)(a^2 + 6a) - (a^2 + ab)(b^2 + 6b);$

д) $2a^2 - 20ab + 50b^2 - 2;$

е) $3n^2 + 12m^2 + 12mn - 12;$

ж) $(5 - x)(5 + x) - a(a - 2x);$

з) $(4 - y)(4 + y) - b(b - 2y);$

и) $b^2c^2 - 4bc - b^2 - c^2 + 1;$

к) $a^2 + x^2 - a^2x^2 + 4ax - 1.$

Решение. №13.32 (с. 60)
Алгебра, 7-9 класс Сборник задач, авторы: Арефьева Ирина Глебовна, Пирютко Ольга Николаевна, издательство Народная асвета, Минск, 2020, страница 60, номер 13.32, Решение Алгебра, 7-9 класс Сборник задач, авторы: Арефьева Ирина Глебовна, Пирютко Ольга Николаевна, издательство Народная асвета, Минск, 2020, страница 60, номер 13.32, Решение (продолжение 2)
Решение 2. №13.32 (с. 60)

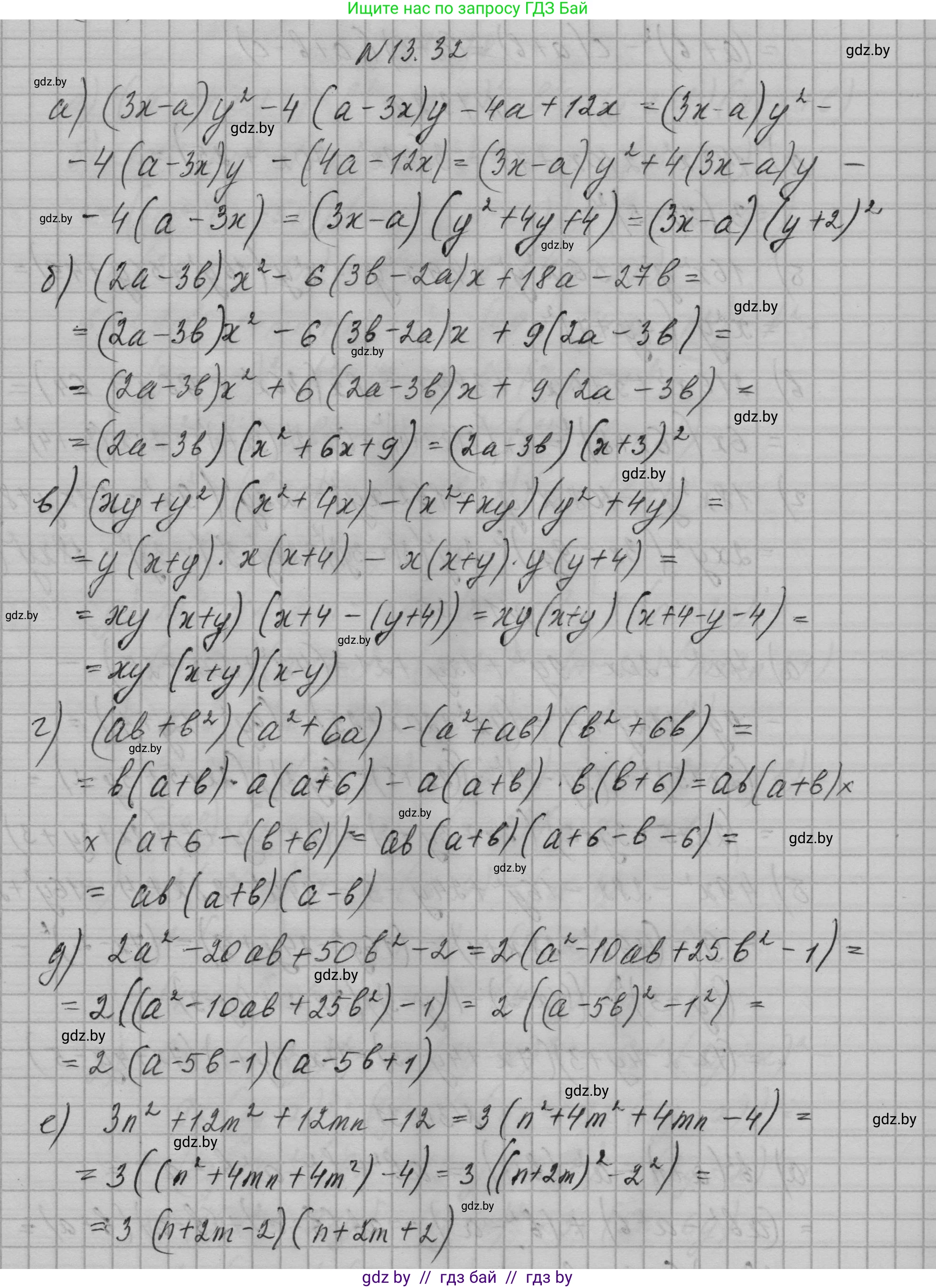
а) Исходное выражение: $(3x - a)y^2 - 4(a - 3x)y - 4a + 12x$.

Преобразуем некоторые части выражения. Заметим, что $(a - 3x) = -(3x - a)$. Также сгруппируем последние два слагаемых: $-4a + 12x = -4(a - 3x) = 4(3x - a)$.

Подставим преобразованные части обратно в выражение:

$(3x - a)y^2 - 4(-(3x - a))y + 4(3x - a) = (3x - a)y^2 + 4(3x - a)y + 4(3x - a)$.

Теперь мы видим общий множитель $(3x - a)$, который можно вынести за скобки:

$(3x - a)(y^2 + 4y + 4)$.

Выражение во второй скобке, $y^2 + 4y + 4$, является формулой квадрата суммы: $(y)^2 + 2 \cdot y \cdot 2 + 2^2 = (y + 2)^2$.

Следовательно, окончательное разложение на множители имеет вид:

$(3x - a)(y + 2)^2$.

Ответ: $(3x - a)(y + 2)^2$.

б) Исходное выражение: $(2a - 3b)x^2 - 6(3b - 2a)x + 18a - 27b$.

Заметим, что $(3b - 2a) = -(2a - 3b)$. Сгруппируем последние два слагаемых: $18a - 27b = 9(2a - 3b)$.

Подставим это в выражение:

$(2a - 3b)x^2 - 6(-(2a - 3b))x + 9(2a - 3b) = (2a - 3b)x^2 + 6(2a - 3b)x + 9(2a - 3b)$.

Вынесем общий множитель $(2a - 3b)$ за скобки:

$(2a - 3b)(x^2 + 6x + 9)$.

Выражение во второй скобке, $x^2 + 6x + 9$, является формулой квадрата суммы: $x^2 + 2 \cdot x \cdot 3 + 3^2 = (x + 3)^2$.

Таким образом, окончательное разложение на множители:

$(2a - 3b)(x + 3)^2$.

Ответ: $(2a - 3b)(x + 3)^2$.

в) Исходное выражение: $(xy + y^2)(x^2 + 4x) - (x^2 + xy)(y^2 + 4y)$.

Вынесем общие множители из каждой скобки:

$xy + y^2 = y(x + y)$

$x^2 + 4x = x(x + 4)$

$x^2 + xy = x(x + y)$

$y^2 + 4y = y(y + 4)$

Подставим это в исходное выражение:

$[y(x + y)][x(x + 4)] - [x(x + y)][y(y + 4)] = xy(x + y)(x + 4) - xy(x + y)(y + 4)$.

Вынесем общий множитель $xy(x + y)$ за скобки:

$xy(x + y)[(x + 4) - (y + 4)]$.

Упростим выражение в квадратных скобках:

$x + 4 - y - 4 = x - y$.

Получаем разложение: $xy(x + y)(x - y)$.

Ответ: $xy(x + y)(x - y)$.

г) Исходное выражение: $(ab + b^2)(a^2 + 6a) - (a^2 + ab)(b^2 + 6b)$.

Вынесем общие множители из каждой скобки:

$ab + b^2 = b(a + b)$

$a^2 + 6a = a(a + 6)$

$a^2 + ab = a(a + b)$

$b^2 + 6b = b(b + 6)$

Подставим в исходное выражение:

$[b(a + b)][a(a + 6)] - [a(a + b)][b(b + 6)] = ab(a + b)(a + 6) - ab(a + b)(b + 6)$.

Вынесем общий множитель $ab(a + b)$ за скобки:

$ab(a + b)[(a + 6) - (b + 6)]$.

Упростим выражение в квадратных скобках:

$a + 6 - b - 6 = a - b$.

Получаем разложение: $ab(a + b)(a - b)$.

Ответ: $ab(a + b)(a - b)$.

д) Исходное выражение: $2a^2 - 20ab + 50b^2 - 2$.

Вынесем общий множитель 2 за скобки:

$2(a^2 - 10ab + 25b^2 - 1)$.

Сгруппируем первые три слагаемых в скобках. Они образуют полный квадрат разности: $a^2 - 10ab + 25b^2 = (a)^2 - 2 \cdot a \cdot (5b) + (5b)^2 = (a - 5b)^2$.

Выражение принимает вид: $2((a - 5b)^2 - 1)$.

В скобках мы получили разность квадратов $A^2 - B^2 = (A - B)(A + B)$, где $A = a - 5b$ и $B = 1$.

$2((a - 5b) - 1)((a - 5b) + 1) = 2(a - 5b - 1)(a - 5b + 1)$.

Ответ: $2(a - 5b - 1)(a - 5b + 1)$.

е) Исходное выражение: $3n^2 + 12m^2 + 12mn - 12$.

Вынесем общий множитель 3 за скобки:

$3(n^2 + 4m^2 + 4mn - 4)$.

Перегруппируем слагаемые в скобках, чтобы выделить полный квадрат: $3((n^2 + 4mn + 4m^2) - 4)$.

Выражение в скобках $n^2 + 4mn + 4m^2$ является полным квадратом суммы: $n^2 + 2 \cdot n \cdot (2m) + (2m)^2 = (n + 2m)^2$.

Выражение принимает вид: $3((n + 2m)^2 - 4)$.

В скобках мы получили разность квадратов $A^2 - B^2 = (A - B)(A + B)$, где $A = n + 2m$ и $B = 2$.

$3((n + 2m) - 2)((n + 2m) + 2) = 3(n + 2m - 2)(n + 2m + 2)$.

Ответ: $3(n + 2m - 2)(n + 2m + 2)$.

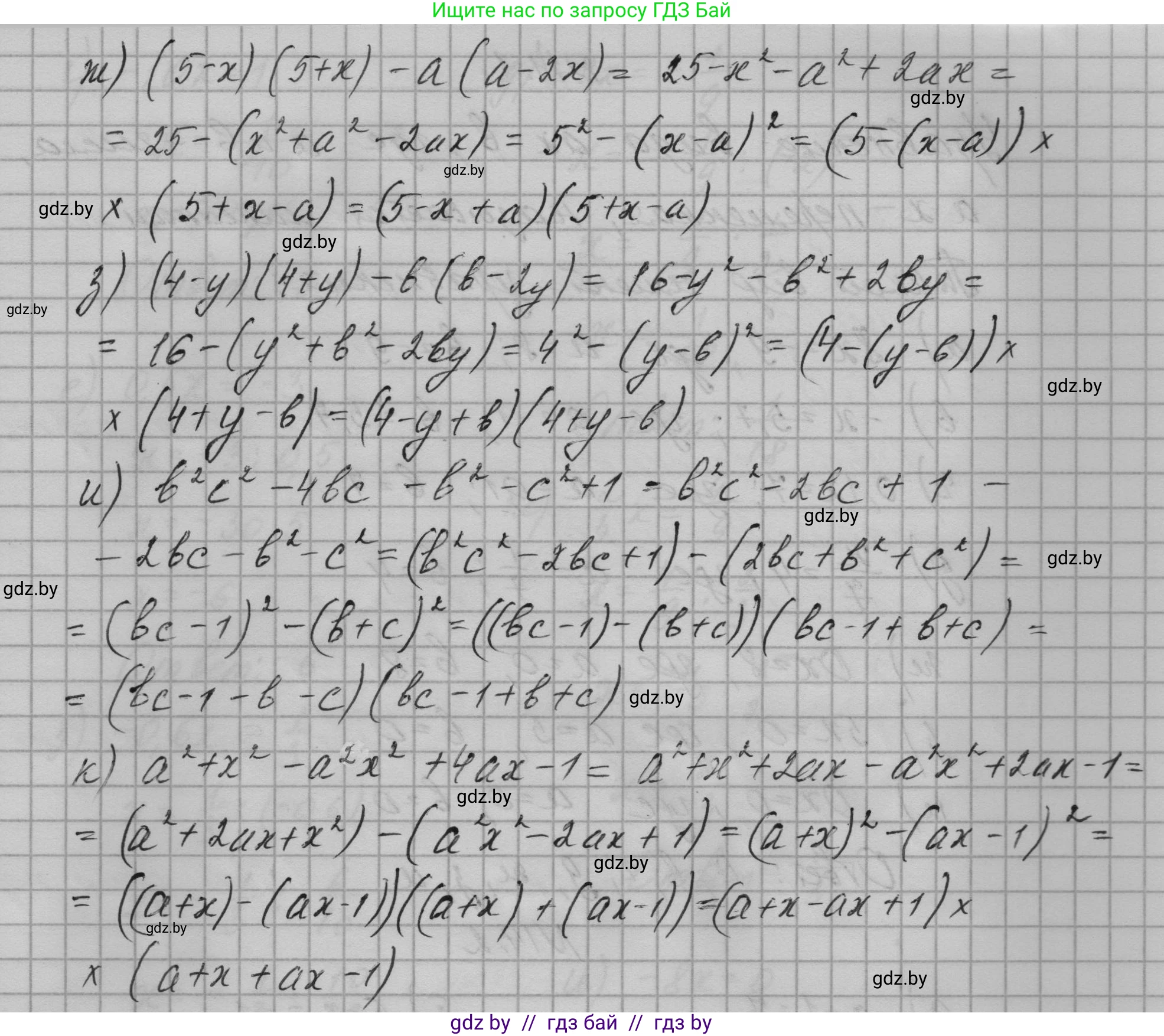
ж) Исходное выражение: $(5 - x)(5 + x) - a(a - 2x)$.

Раскроем скобки. Первая часть — это формула разности квадратов, вторая — простое умножение:

$(25 - x^2) - (a^2 - 2ax) = 25 - x^2 - a^2 + 2ax$.

Перегруппируем слагаемые, чтобы выделить полный квадрат:

$25 - (x^2 - 2ax + a^2)$.

Выражение в скобках $x^2 - 2ax + a^2$ является полным квадратом разности $(x - a)^2$.

Получаем: $25 - (x - a)^2 = 5^2 - (x - a)^2$.

Это разность квадратов $A^2 - B^2 = (A - B)(A + B)$, где $A = 5$ и $B = x - a$.

$(5 - (x - a))(5 + (x - a)) = (5 - x + a)(5 + x - a)$.

Ответ: $(a - x + 5)(-a + x + 5)$.

з) Исходное выражение: $(4 - y)(4 + y) - b(b - 2y)$.

Раскроем скобки:

$(16 - y^2) - (b^2 - 2by) = 16 - y^2 - b^2 + 2by$.

Перегруппируем слагаемые:

$16 - (y^2 - 2by + b^2)$.

Выражение в скобках $y^2 - 2by + b^2$ является полным квадратом разности $(y - b)^2$.

Получаем: $16 - (y - b)^2 = 4^2 - (y - b)^2$.

Применим формулу разности квадратов $A^2 - B^2 = (A - B)(A + B)$, где $A = 4$ и $B = y - b$.

$(4 - (y - b))(4 + (y - b)) = (4 - y + b)(4 + y - b)$.

Ответ: $(b - y + 4)(-b + y + 4)$.

и) Исходное выражение: $b^2c^2 - 4bc - b^2 - c^2 + 1$.

Сгруппируем слагаемые для выделения полных квадратов. Представим $-4bc$ как $-2bc - 2bc$.

$(b^2c^2 - 2bc + 1) - b^2 - c^2 - 2bc = (b^2c^2 - 2bc + 1) - (b^2 + 2bc + c^2)$.

Первая скобка является квадратом разности $(bc - 1)^2$. Вторая скобка — квадратом суммы $(b + c)^2$.

Выражение принимает вид: $(bc - 1)^2 - (b + c)^2$.

Это формула разности квадратов $A^2 - B^2 = (A - B)(A + B)$, где $A = bc - 1$ и $B = b + c$.

$((bc - 1) - (b + c))((bc - 1) + (b + c)) = (bc - 1 - b - c)(bc - 1 + b + c)$.

Ответ: $(bc - b - c - 1)(bc + b + c - 1)$.

к) Исходное выражение: $a^2 + x^2 - a^2x^2 + 4ax - 1$.

Сгруппируем слагаемые, чтобы выделить полные квадраты. Представим $4ax$ как $2ax + 2ax$.

$a^2 + x^2 - a^2x^2 + 2ax + 2ax - 1$.

Сгруппируем следующим образом:

$(a^2 + 2ax + x^2) - a^2x^2 + 2ax - 1 = (a^2 + 2ax + x^2) - (a^2x^2 - 2ax + 1)$.

Первая скобка — это квадрат суммы $(a + x)^2$. Вторая скобка — это квадрат разности $(ax - 1)^2$.

Выражение принимает вид: $(a + x)^2 - (ax - 1)^2$.

Это формула разности квадратов $A^2 - B^2 = (A - B)(A + B)$, где $A = a + x$ и $B = ax - 1$.

$((a + x) - (ax - 1))((a + x) + (ax - 1)) = (a + x - ax + 1)(a + x + ax - 1)$.

Ответ: $(a + x - ax + 1)(a + x + ax - 1)$.

Помогло решение? Оставьте отзыв в комментариях ниже.

Присоединяйтесь к Телеграм-группе @gdz_by_belarus

Присоединиться

Мы подготовили для вас ответ c подробным объяснением домашего задания по алгебре за 7-9 класс, для упражнения номер 13.32 расположенного на странице 60 к сборнику задач 2020 года издания для учащихся школ и гимназий.

Теперь на нашем сайте ГДЗ.ТОП вы всегда легко и бесплатно найдёте условие с правильным ответом на вопрос «Как решить ДЗ» и «Как сделать» задание по алгебре к упражнению №13.32 (с. 60), авторов: Арефьева (Ирина Глебовна), Пирютко (Ольга Николаевна), учебного пособия издательства Народная асвета.