Номер 14.7, страница 61 - гдз по алгебре 7-9 класс сборник задач Арефьева, Пирютко

Алгебра, 7-9 класс Сборник задач, авторы: Арефьева Ирина Глебовна, Пирютко Ольга Николаевна, издательство Народная асвета, Минск, 2020

Авторы: Арефьева И. Г., Пирютко О. Н.

Тип: Сборник задач

Издательство: Народная асвета

Год издания: 2020 - 2025

Цвет обложки: синий с графиками

Допущено Министерством образования Республики Беларусь

Популярные ГДЗ в 7 классе

7 класс. Параграф 14. Линейные уравнения с одной переменной. Решение текстовых задач с помощью линейных уравнений - номер 14.7, страница 61.

№14.7 (с. 61)
Условие. №14.7 (с. 61)
скриншот условия
Алгебра, 7-9 класс Сборник задач, авторы: Арефьева Ирина Глебовна, Пирютко Ольга Николаевна, издательство Народная асвета, Минск, 2020, страница 61, номер 14.7, Условие

14.7. Решите линейное уравнение:

а) $7x = 42;$

б) $10x = 47;$

в) $4x = -7;$

г) $-2x = 19;$

д) $-8x = -4;$

е) $2x = \frac{3}{8};$

ж) $9x = -\frac{1}{4};$

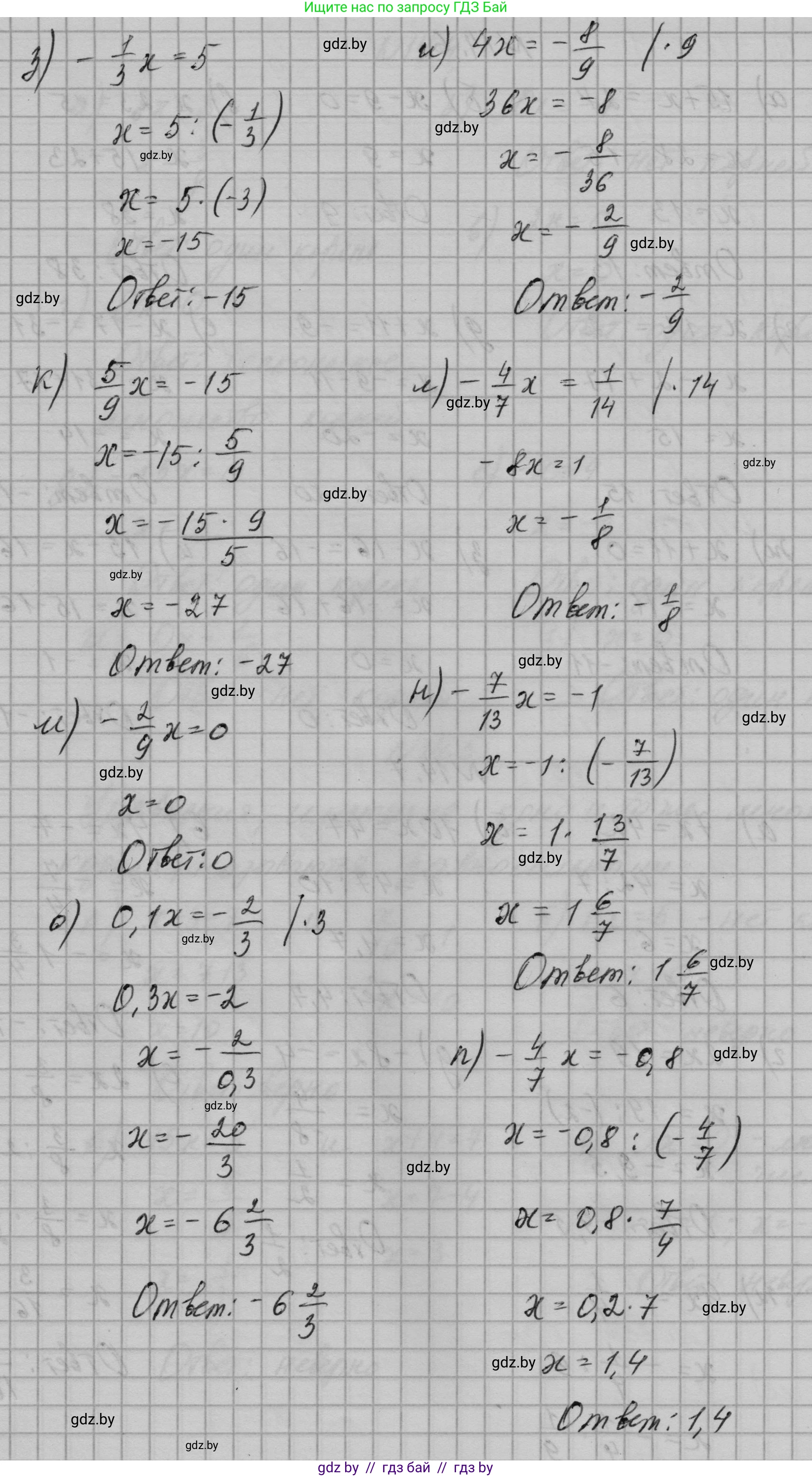
з) $-\frac{1}{3}x = 5;$

и) $4x = -\frac{8}{9};$

к) $\frac{5}{9}x = -15;$

л) $-\frac{4}{7}x = \frac{1}{14};$

м) $-\frac{2}{9}x = 0;$

н) $-\frac{7}{13}x = -1;$

о) $0,1x = -\frac{2}{3};$

п) $-\frac{4}{7}x = -0,8.$

Решение. №14.7 (с. 61)
Алгебра, 7-9 класс Сборник задач, авторы: Арефьева Ирина Глебовна, Пирютко Ольга Николаевна, издательство Народная асвета, Минск, 2020, страница 61, номер 14.7, Решение Алгебра, 7-9 класс Сборник задач, авторы: Арефьева Ирина Глебовна, Пирютко Ольга Николаевна, издательство Народная асвета, Минск, 2020, страница 61, номер 14.7, Решение (продолжение 2)
Решение 2. №14.7 (с. 61)

а) $7x = 42$
Чтобы найти неизвестный множитель $x$, нужно произведение (42) разделить на известный множитель (7).
$x = \frac{42}{7}$
$x = 6$
Ответ: $6$.

б) $10x = 47$
Разделим обе части уравнения на 10:
$x = \frac{47}{10}$
$x = 4,7$
Ответ: $4,7$.

в) $4x = -7$
Разделим обе части уравнения на 4:
$x = \frac{-7}{4}$
$x = -1\frac{3}{4}$
Ответ: $-\frac{7}{4}$.

г) $-2x = 19$
Разделим обе части уравнения на -2:
$x = \frac{19}{-2}$
$x = -9,5$
Ответ: $-9,5$.

д) $-8x = -4$
Разделим обе части уравнения на -8:
$x = \frac{-4}{-8}$
$x = \frac{1}{2}$
Ответ: $0,5$.

е) $2x = \frac{3}{8}$
Разделим обе части уравнения на 2:
$x = \frac{3}{8} : 2$
$x = \frac{3}{8} \cdot \frac{1}{2}$
$x = \frac{3}{16}$
Ответ: $\frac{3}{16}$.

ж) $9x = -\frac{1}{4}$
Разделим обе части уравнения на 9:
$x = -\frac{1}{4} : 9$
$x = -\frac{1}{4} \cdot \frac{1}{9}$
$x = -\frac{1}{36}$
Ответ: $-\frac{1}{36}$.

з) $-\frac{1}{3}x = 5$
Чтобы найти $x$, разделим обе части уравнения на коэффициент $-\frac{1}{3}$:
$x = 5 : (-\frac{1}{3})$
$x = 5 \cdot (-3)$
$x = -15$
Ответ: $-15$.

и) $4x = -\frac{8}{9}$
Разделим обе части уравнения на 4:
$x = -\frac{8}{9} : 4$
$x = -\frac{8}{9} \cdot \frac{1}{4}$
Сократим 8 и 4 на 4:
$x = -\frac{2}{9} \cdot \frac{1}{1}$
$x = -\frac{2}{9}$
Ответ: $-\frac{2}{9}$.

к) $\frac{5}{9}x = -15$
Разделим обе части уравнения на $\frac{5}{9}$:
$x = -15 : \frac{5}{9}$
$x = -15 \cdot \frac{9}{5}$
Сократим 15 и 5 на 5:
$x = -3 \cdot 9$
$x = -27$
Ответ: $-27$.

л) $-\frac{4}{7}x = \frac{1}{14}$
Разделим обе части уравнения на $-\frac{4}{7}$:
$x = \frac{1}{14} : (-\frac{4}{7})$
$x = \frac{1}{14} \cdot (-\frac{7}{4})$
Сократим 14 и 7 на 7:
$x = \frac{1}{2} \cdot (-\frac{1}{4})$
$x = -\frac{1}{8}$
Ответ: $-\frac{1}{8}$.

м) $-\frac{2}{9}x = 0$
Произведение равно нулю тогда и только тогда, когда хотя бы один из множителей равен нулю. Так как $-\frac{2}{9} \neq 0$, то $x$ должен быть равен нулю.
$x = 0$
Ответ: $0$.

н) $-\frac{7}{13}x = -1$
Разделим обе части уравнения на $-\frac{7}{13}$:
$x = -1 : (-\frac{7}{13})$
$x = 1 \cdot \frac{13}{7}$
$x = \frac{13}{7}$
Ответ: $\frac{13}{7}$.

о) $0,1x = -\frac{2}{3}$
Представим $0,1$ в виде обыкновенной дроби: $0,1 = \frac{1}{10}$.
$\frac{1}{10}x = -\frac{2}{3}$
Умножим обе части уравнения на 10:
$x = -\frac{2}{3} \cdot 10$
$x = -\frac{20}{3}$
Ответ: $-\frac{20}{3}$.

п) $-\frac{4}{7}x = -0,8$
Представим $-0,8$ в виде обыкновенной дроби: $-0,8 = -\frac{8}{10} = -\frac{4}{5}$.
$-\frac{4}{7}x = -\frac{4}{5}$
Разделим обе части уравнения на $-\frac{4}{7}$:
$x = (-\frac{4}{5}) : (-\frac{4}{7})$
$x = \frac{4}{5} \cdot \frac{7}{4}$
Сократим 4 и 4:
$x = \frac{7}{5}$
Ответ: $\frac{7}{5}$.

Помогло решение? Оставьте отзыв в комментариях ниже.

Присоединяйтесь к Телеграм-группе @gdz_by_belarus

Присоединиться

Мы подготовили для вас ответ c подробным объяснением домашего задания по алгебре за 7-9 класс, для упражнения номер 14.7 расположенного на странице 61 к сборнику задач 2020 года издания для учащихся школ и гимназий.

Теперь на нашем сайте ГДЗ.ТОП вы всегда легко и бесплатно найдёте условие с правильным ответом на вопрос «Как решить ДЗ» и «Как сделать» задание по алгебре к упражнению №14.7 (с. 61), авторов: Арефьева (Ирина Глебовна), Пирютко (Ольга Николаевна), учебного пособия издательства Народная асвета.