Номер 14.12, страница 62 - гдз по алгебре 7-9 класс сборник задач Арефьева, Пирютко
Авторы: Арефьева И. Г., Пирютко О. Н.
Тип: Сборник задач
Издательство: Народная асвета
Год издания: 2020 - 2025
Цвет обложки: синий с графиками
Допущено Министерством образования Республики Беларусь
Популярные ГДЗ в 7 классе
7 класс. Параграф 14. Линейные уравнения с одной переменной. Решение текстовых задач с помощью линейных уравнений - номер 14.12, страница 62.
№14.12 (с. 62)
Условие. №14.12 (с. 62)
скриншот условия
14.12. Используйте алгоритм и решите уравнение:
а) $8x + 13 = 7x;$
б) $9x = 2x + 14;$
в) $7x - 32 = 3x;$
г) $x + 9 = 13 - x;$
д) $x = 24 - 3x;$
е) $4x + 9 = 7x - 12;$
ж) $7 - 4x = x + 32;$
з) $8x - 13 = 17 - 7x;$
и) $0,3x = -30 + 0,2x;$
к) $3x + 1,7 = 8x - 1,8;$
л) $0,8x - 19 = 1,3x - 14;$
м) $-0,2x + 0,18 = 0,5x - 0,17.$
Решение. №14.12 (с. 62)
Решение 2. №14.12 (с. 62)
Алгоритм решения линейного уравнения состоит в следующем:
- Перенести все слагаемые, содержащие переменную, в одну часть уравнения (обычно в левую), а все слагаемые без переменной (числа) — в другую часть. При переносе слагаемого из одной части в другую его знак меняется на противоположный.
- Привести подобные слагаемые в обеих частях уравнения.
- Разделить обе части уравнения на коэффициент при переменной (если он не равен нулю).
Решим уравнения, используя этот алгоритм.
а) $8x + 13 = 7x$
Переносим $7x$ в левую часть, а $13$ в правую, меняя их знаки:
$8x - 7x = -13$
Упрощаем левую часть:
$x = -13$
Ответ: $-13$
б) $9x = 2x + 14$
Переносим $2x$ в левую часть:
$9x - 2x = 14$
Приводим подобные слагаемые в левой части:
$7x = 14$
Делим обе части на $7$:
$x = \frac{14}{7}$
$x = 2$
Ответ: $2$
в) $7x - 32 = 3x$
Переносим $3x$ в левую часть, а $-32$ в правую:
$7x - 3x = 32$
Приводим подобные слагаемые:
$4x = 32$
Делим обе части на $4$:
$x = \frac{32}{4}$
$x = 8$
Ответ: $8$
г) $x + 9 = 13 - x$
Переносим $-x$ в левую часть, а $9$ в правую:
$x + x = 13 - 9$
Приводим подобные слагаемые в обеих частях:
$2x = 4$
Делим обе части на $2$:
$x = \frac{4}{2}$
$x = 2$
Ответ: $2$
д) $x = 24 - 3x$
Переносим $-3x$ в левую часть:
$x + 3x = 24$
Приводим подобные слагаемые:
$4x = 24$
Делим обе части на $4$:
$x = \frac{24}{4}$
$x = 6$
Ответ: $6$
е) $4x + 9 = 7x - 12$
Переносим слагаемые с $x$ в правую часть, а числа - в левую:
$9 + 12 = 7x - 4x$
Приводим подобные слагаемые в обеих частях:
$21 = 3x$
Делим обе части на $3$:
$x = \frac{21}{3}$
$x = 7$
Ответ: $7$
ж) $7 - 4x = x + 32$
Переносим слагаемые с $x$ в правую часть, а числа - в левую:
$7 - 32 = x + 4x$
Приводим подобные слагаемые в обеих частях:
$-25 = 5x$
Делим обе части на $5$:
$x = \frac{-25}{5}$
$x = -5$
Ответ: $-5$
з) $8x - 13 = 17 - 7x$
Переносим $-7x$ в левую часть, а $-13$ в правую:
$8x + 7x = 17 + 13$
Приводим подобные слагаемые в обеих частях:
$15x = 30$
Делим обе части на $15$:
$x = \frac{30}{15}$
$x = 2$
Ответ: $2$
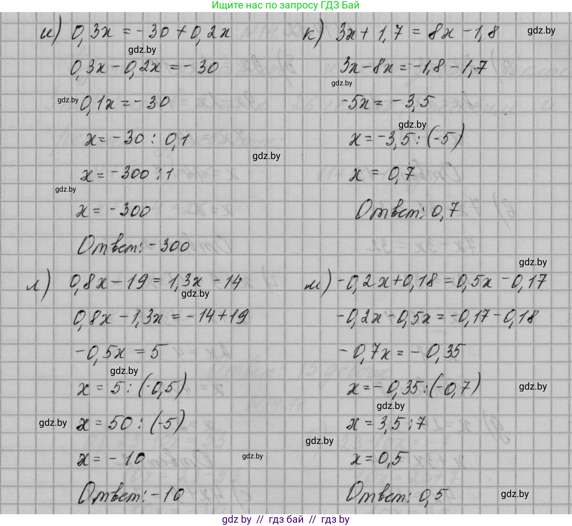
и) $0,3x = -30 + 0,2x$
Переносим $0,2x$ в левую часть:
$0,3x - 0,2x = -30$
Приводим подобные слагаемые:
$0,1x = -30$
Делим обе части на $0,1$:
$x = \frac{-30}{0,1}$
$x = -300$
Ответ: $-300$
к) $3x + 1,7 = 8x - 1,8$
Переносим слагаемые с $x$ в правую часть, а числа - в левую:
$1,7 + 1,8 = 8x - 3x$
Приводим подобные слагаемые в обеих частях:
$3,5 = 5x$
Делим обе части на $5$:
$x = \frac{3,5}{5}$
$x = 0,7$
Ответ: $0,7$
л) $0,8x - 19 = 1,3x - 14$
Переносим слагаемые с $x$ в правую часть, а числа - в левую:
$-19 + 14 = 1,3x - 0,8x$
Приводим подобные слагаемые в обеих частях:
$-5 = 0,5x$
Делим обе части на $0,5$:
$x = \frac{-5}{0,5}$
$x = -10$
Ответ: $-10$
м) $-0,2x + 0,18 = 0,5x - 0,17$
Переносим слагаемые с $x$ в правую часть, а числа - в левую:
$0,18 + 0,17 = 0,5x + 0,2x$
Приводим подобные слагаемые в обеих частях:
$0,35 = 0,7x$
Делим обе части на $0,7$:
$x = \frac{0,35}{0,7}$
$x = 0,5$
Ответ: $0,5$
Другие задания:
Помогло решение? Оставьте отзыв в комментариях ниже.
Присоединяйтесь к Телеграм-группе @gdz_by_belarus
ПрисоединитьсяМы подготовили для вас ответ c подробным объяснением домашего задания по алгебре за 7-9 класс, для упражнения номер 14.12 расположенного на странице 62 к сборнику задач 2020 года издания для учащихся школ и гимназий.
Теперь на нашем сайте ГДЗ.ТОП вы всегда легко и бесплатно найдёте условие с правильным ответом на вопрос «Как решить ДЗ» и «Как сделать» задание по алгебре к упражнению №14.12 (с. 62), авторов: Арефьева (Ирина Глебовна), Пирютко (Ольга Николаевна), учебного пособия издательства Народная асвета.