Номер 1.58, страница 14 - гдз по алгебре 7-9 класс сборник задач Арефьева, Пирютко

Алгебра, 7-9 класс Сборник задач, авторы: Арефьева Ирина Глебовна, Пирютко Ольга Николаевна, издательство Народная асвета, Минск, 2020

Авторы: Арефьева И. Г., Пирютко О. Н.

Тип: Сборник задач

Издательство: Народная асвета

Год издания: 2020 - 2025

Цвет обложки: синий с графиками

Допущено Министерством образования Республики Беларусь

Популярные ГДЗ в 7 классе

7 класс. Параграф 1. Степень с натуральным показателем и ее свойства - номер 1.58, страница 14.

№1.58 (с. 14)
Условие. №1.58 (с. 14)
скриншот условия
Алгебра, 7-9 класс Сборник задач, авторы: Арефьева Ирина Глебовна, Пирютко Ольга Николаевна, издательство Народная асвета, Минск, 2020, страница 14, номер 1.58, Условие

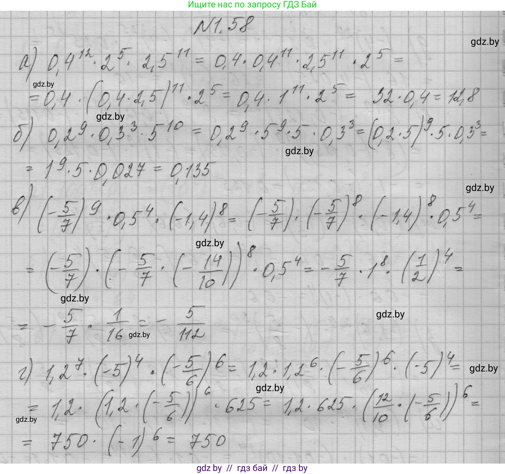
1.58. Вычислите:

а) $0,4^{12} \cdot 2^5 \cdot 2,5^{11}$;

б) $0,2^9 \cdot 0,3^3 \cdot 5^{10}$;

в) $(-\frac{5}{7})^9 \cdot 0,5^4 \cdot (-1,4)^8$;

г) $1,2^7 \cdot (-5)^4 \cdot (-\frac{5}{6})^6$.

Решение. №1.58 (с. 14)
Алгебра, 7-9 класс Сборник задач, авторы: Арефьева Ирина Глебовна, Пирютко Ольга Николаевна, издательство Народная асвета, Минск, 2020, страница 14, номер 1.58, Решение
Решение 2. №1.58 (с. 14)

а) $0,4^{12} \cdot 2^5 \cdot 2,5^{11}$

Для решения этого примера преобразуем десятичные дроби в обыкновенные и используем свойства степеней.
$0,4 = \frac{4}{10} = \frac{2}{5}$
$2,5 = \frac{25}{10} = \frac{5}{2}$
Подставим полученные дроби в исходное выражение:
$0,4^{12} \cdot 2^5 \cdot 2,5^{11} = (\frac{2}{5})^{12} \cdot 2^5 \cdot (\frac{5}{2})^{11}$
Используем свойство степени дроби $(\frac{a}{b})^n = \frac{a^n}{b^n}$:
$\frac{2^{12}}{5^{12}} \cdot 2^5 \cdot \frac{5^{11}}{2^{11}}$
Теперь сгруппируем множители с одинаковыми основаниями. При умножении степеней с одинаковым основанием их показатели складываются ($a^m \cdot a^n = a^{m+n}$), а при делении – вычитаются ($\frac{a^m}{a^n} = a^{m-n}$):
$\frac{2^{12} \cdot 2^5}{2^{11}} \cdot \frac{5^{11}}{5^{12}} = \frac{2^{12+5}}{2^{11}} \cdot 5^{11-12} = \frac{2^{17}}{2^{11}} \cdot 5^{-1} = 2^{17-11} \cdot 5^{-1} = 2^6 \cdot \frac{1}{5}$
Вычислим конечное значение:
$64 \cdot \frac{1}{5} = \frac{64}{5} = 12,8$.
Ответ: $12,8$

б) $0,2^9 \cdot 0,3^3 \cdot 5^{10}$

В этом выражении удобно сгруппировать множители $0,2$ и $5$, так как их произведение равно $1$.
Представим $5^{10}$ как $5^9 \cdot 5^1$:
$0,2^9 \cdot 0,3^3 \cdot 5^{10} = 0,2^9 \cdot 0,3^3 \cdot (5^9 \cdot 5^1)$
Перегруппируем множители и используем свойство степени произведения $(a \cdot b)^n = a^n \cdot b^n$:
$(0,2^9 \cdot 5^9) \cdot 0,3^3 \cdot 5 = (0,2 \cdot 5)^9 \cdot 0,3^3 \cdot 5$
Вычислим произведение в скобках: $0,2 \cdot 5 = 1$.
$1^9 \cdot 0,3^3 \cdot 5$
Так как $1$ в любой степени равен $1$, выражение упрощается:
$1 \cdot 0,3^3 \cdot 5 = 0,027 \cdot 5$
Вычислим результат:
$0,027 \cdot 5 = 0,135$.
Ответ: $0,135$

в) $(-\frac{5}{7})^9 \cdot 0,5^4 \cdot (-1,4)^8$

Сначала определим знак всего выражения. Отрицательное число в нечетной степени ($(-\frac{5}{7})^9$) дает отрицательный результат. Отрицательное число в четной степени ($(-1,4)^8$) дает положительный результат. Таким образом, произведение будет отрицательным.
$(-\frac{5}{7})^9 = -(\frac{5}{7})^9$
$(-1,4)^8 = 1,4^8$
Выражение принимает вид: $-(\frac{5}{7})^9 \cdot 0,5^4 \cdot 1,4^8$.
Преобразуем десятичные дроби в обыкновенные: $0,5 = \frac{1}{2}$ и $1,4 = \frac{14}{10} = \frac{7}{5}$.
$-(\frac{5}{7})^9 \cdot (\frac{1}{2})^4 \cdot (\frac{7}{5})^8$
Раскроем скобки, используя свойства степеней:
$-\frac{5^9}{7^9} \cdot \frac{1^4}{2^4} \cdot \frac{7^8}{5^8} = -\frac{5^9}{7^9} \cdot \frac{1}{16} \cdot \frac{7^8}{5^8}$
Сгруппируем степени с одинаковыми основаниями:
$-(\frac{5^9}{5^8}) \cdot (\frac{7^8}{7^9}) \cdot \frac{1}{16} = -(5^{9-8}) \cdot (7^{8-9}) \cdot \frac{1}{16} = -5^1 \cdot 7^{-1} \cdot \frac{1}{16}$
Вычислим результат:
$-5 \cdot \frac{1}{7} \cdot \frac{1}{16} = -\frac{5}{7 \cdot 16} = -\frac{5}{112}$.
Ответ: $-\frac{5}{112}$

г) $1,2^7 \cdot (-5)^4 \cdot (-\frac{5}{6})^6$

Определим знак выражения. Множители $(-5)^4$ и $(-\frac{5}{6})^6$ будут положительными, так как любое число (кроме нуля) в четной степени положительно. Следовательно, все произведение будет положительным.
$(-5)^4 = 5^4$
$(-\frac{5}{6})^6 = (\frac{5}{6})^6$
Выражение принимает вид: $1,2^7 \cdot 5^4 \cdot (\frac{5}{6})^6$.
Преобразуем десятичную дробь $1,2$ в обыкновенную: $1,2 = \frac{12}{10} = \frac{6}{5}$.
$(\frac{6}{5})^7 \cdot 5^4 \cdot (\frac{5}{6})^6$
Используем свойства степеней:
$\frac{6^7}{5^7} \cdot 5^4 \cdot \frac{5^6}{6^6}$
Сгруппируем степени с одинаковыми основаниями:
$\frac{6^7}{6^6} \cdot \frac{5^4 \cdot 5^6}{5^7} = 6^{7-6} \cdot \frac{5^{4+6}}{5^7} = 6^1 \cdot \frac{5^{10}}{5^7} = 6 \cdot 5^{10-7} = 6 \cdot 5^3$
Вычислим результат:
$6 \cdot 125 = 750$.
Ответ: $750$

Помогло решение? Оставьте отзыв в комментариях ниже.

Присоединяйтесь к Телеграм-группе @gdz_by_belarus

Присоединиться

Мы подготовили для вас ответ c подробным объяснением домашего задания по алгебре за 7-9 класс, для упражнения номер 1.58 расположенного на странице 14 к сборнику задач 2020 года издания для учащихся школ и гимназий.

Теперь на нашем сайте ГДЗ.ТОП вы всегда легко и бесплатно найдёте условие с правильным ответом на вопрос «Как решить ДЗ» и «Как сделать» задание по алгебре к упражнению №1.58 (с. 14), авторов: Арефьева (Ирина Глебовна), Пирютко (Ольга Николаевна), учебного пособия издательства Народная асвета.