Номер 21.14, страница 96 - гдз по алгебре 7-9 класс сборник задач Арефьева, Пирютко

Алгебра, 7-9 класс Сборник задач, авторы: Арефьева Ирина Глебовна, Пирютко Ольга Николаевна, издательство Народная асвета, Минск, 2020

Авторы: Арефьева И. Г., Пирютко О. Н.

Тип: Сборник задач

Издательство: Народная асвета

Год издания: 2020 - 2025

Цвет обложки: синий с графиками

Допущено Министерством образования Республики Беларусь

Популярные ГДЗ в 7 классе

8 класс. Параграф 21. Арифметический квадратный корень. Множество действительных чисел - номер 21.14, страница 96.

№21.14 (с. 96)
Условие. №21.14 (с. 96)
скриншот условия
Алгебра, 7-9 класс Сборник задач, авторы: Арефьева Ирина Глебовна, Пирютко Ольга Николаевна, издательство Народная асвета, Минск, 2020, страница 96, номер 21.14, Условие

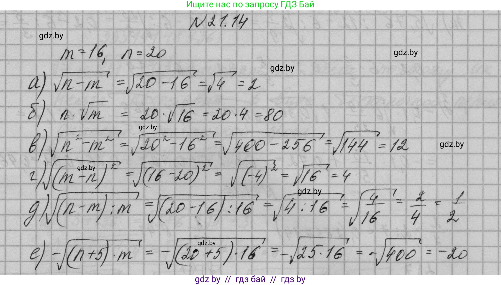
21.14. При $m = 16, n = 20$ найдите значение выражения:

а) $\sqrt{n-m}$;

б) $n \cdot \sqrt{m}$;

в) $\sqrt{n^2-m^2}$;

г) $\sqrt{(m-n)^2}$;

д) $\sqrt{(n-m):m}$;

е) $-\sqrt{(n+5) \cdot m}$.

Решение. №21.14 (с. 96)
Алгебра, 7-9 класс Сборник задач, авторы: Арефьева Ирина Глебовна, Пирютко Ольга Николаевна, издательство Народная асвета, Минск, 2020, страница 96, номер 21.14, Решение
Решение 2. №21.14 (с. 96)

а) Для нахождения значения выражения $\sqrt{n-m}$, подставим в него заданные значения $m = 16$ и $n = 20$. Получаем: $\sqrt{20 - 16} = \sqrt{4} = 2$. Ответ: 2

б) Подставим значения $m = 16$ и $n = 20$ в выражение $n \cdot \sqrt{m}$. Выполним вычисления: $20 \cdot \sqrt{16} = 20 \cdot 4 = 80$. Ответ: 80

в) Для выражения $\sqrt{n^2 - m^2}$ подставляем $m = 16$ и $n = 20$. Сначала возводим числа в квадрат, а затем вычитаем: $\sqrt{20^2 - 16^2} = \sqrt{400 - 256} = \sqrt{144}$. Извлекаем корень: $\sqrt{144} = 12$. Ответ: 12

г) Подставим значения в выражение $\sqrt{(m-n)^2}$. Получаем: $\sqrt{(16 - 20)^2} = \sqrt{(-4)^2} = \sqrt{16} = 4$. Важно помнить, что по определению арифметического квадратного корня $\sqrt{a^2} = |a|$, поэтому $\sqrt{(16-20)^2} = |16-20| = |-4| = 4$. Ответ: 4

д) В выражении $\sqrt{(n-m):m}$ заменим переменные на их значения. Знак ":" означает деление. $\sqrt{(20-16):16} = \sqrt{4:16} = \sqrt{\frac{4}{16}}$. Сокращаем дробь под корнем: $\sqrt{\frac{1}{4}}$. Извлекаем корень: $\frac{1}{2}$. Ответ: $\frac{1}{2}$

е) Подставим значения $m = 16$ и $n = 20$ в выражение $-\sqrt{(n+5) \cdot m}$. Сначала выполняем действие в скобках, затем умножение под корнем: $-\sqrt{(20+5) \cdot 16} = -\sqrt{25 \cdot 16} = -\sqrt{400}$. Извлекаем корень и ставим знак минус: $-20$. Альтернативный способ: $-\sqrt{25 \cdot 16} = -(\sqrt{25} \cdot \sqrt{16}) = -(5 \cdot 4) = -20$. Ответ: -20

Помогло решение? Оставьте отзыв в комментариях ниже.

Присоединяйтесь к Телеграм-группе @gdz_by_belarus

Присоединиться

Мы подготовили для вас ответ c подробным объяснением домашего задания по алгебре за 7-9 класс, для упражнения номер 21.14 расположенного на странице 96 к сборнику задач 2020 года издания для учащихся школ и гимназий.

Теперь на нашем сайте ГДЗ.ТОП вы всегда легко и бесплатно найдёте условие с правильным ответом на вопрос «Как решить ДЗ» и «Как сделать» задание по алгебре к упражнению №21.14 (с. 96), авторов: Арефьева (Ирина Глебовна), Пирютко (Ольга Николаевна), учебного пособия издательства Народная асвета.