Номер 21.13, страница 96 - гдз по алгебре 7-9 класс сборник задач Арефьева, Пирютко
Авторы: Арефьева И. Г., Пирютко О. Н.
Тип: Сборник задач
Издательство: Народная асвета
Год издания: 2020 - 2025
Цвет обложки: синий с графиками
Допущено Министерством образования Республики Беларусь
Популярные ГДЗ в 7 классе
8 класс. Параграф 21. Арифметический квадратный корень. Множество действительных чисел - номер 21.13, страница 96.
№21.13 (с. 96)
Условие. №21.13 (с. 96)
скриншот условия
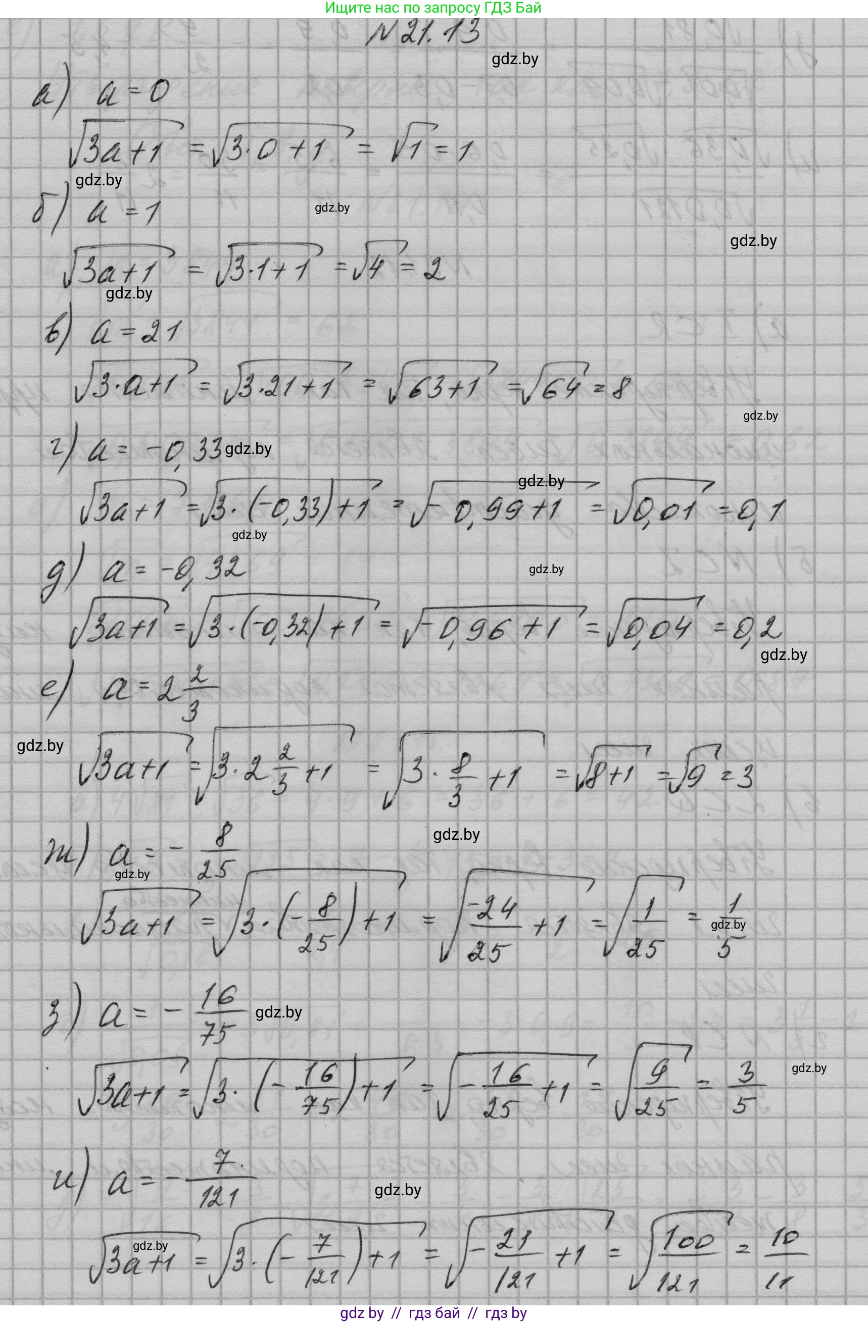
21.13. Найдите значение выражения $\sqrt{3a + 1}$ при:
а) $a = 0;$
б) $a = 1;$
в) $a = 21;$
г) $a = -0,33;$
д) $a = -0,32;$
е) $a = 2\frac{2}{3};$
ж) $a = -\frac{8}{25};$
з) $a = -\frac{16}{75};$
и) $a = -\frac{7}{121}.$
Можно ли найти значение данного выражения при $a = -1$?
Решение. №21.13 (с. 96)
Решение 2. №21.13 (с. 96)
Для нахождения значения выражения $\sqrt{3a+1}$ подставим в него заданные значения переменной $a$.
а) При $a=0$:
$\sqrt{3 \cdot 0 + 1} = \sqrt{0 + 1} = \sqrt{1} = 1$.
Ответ: 1.
б) При $a=1$:
$\sqrt{3 \cdot 1 + 1} = \sqrt{3 + 1} = \sqrt{4} = 2$.
Ответ: 2.
в) При $a=21$:
$\sqrt{3 \cdot 21 + 1} = \sqrt{63 + 1} = \sqrt{64} = 8$.
Ответ: 8.
г) При $a=-0,33$:
$\sqrt{3 \cdot (-0,33) + 1} = \sqrt{-0,99 + 1} = \sqrt{0,01} = 0,1$.
Ответ: 0,1.
д) При $a=-0,32$:
$\sqrt{3 \cdot (-0,32) + 1} = \sqrt{-0,96 + 1} = \sqrt{0,04} = 0,2$.
Ответ: 0,2.
е) При $a=2\frac{2}{3}$:
Сначала преобразуем смешанное число в неправильную дробь: $2\frac{2}{3} = \frac{2 \cdot 3 + 2}{3} = \frac{8}{3}$.
$\sqrt{3 \cdot \frac{8}{3} + 1} = \sqrt{8 + 1} = \sqrt{9} = 3$.
Ответ: 3.
ж) При $a=-\frac{8}{25}$:
$\sqrt{3 \cdot (-\frac{8}{25}) + 1} = \sqrt{-\frac{24}{25} + 1} = \sqrt{-\frac{24}{25} + \frac{25}{25}} = \sqrt{\frac{1}{25}} = \frac{1}{5}$.
Ответ: $\frac{1}{5}$.
з) При $a=-\frac{16}{75}$:
$\sqrt{3 \cdot (-\frac{16}{75}) + 1} = \sqrt{-\frac{16 \cdot 3}{75} + 1} = \sqrt{-\frac{16}{25} + 1} = \sqrt{-\frac{16}{25} + \frac{25}{25}} = \sqrt{\frac{9}{25}} = \frac{3}{5}$.
Ответ: $\frac{3}{5}$.
и) При $a=-\frac{7}{121}$:
$\sqrt{3 \cdot (-\frac{7}{121}) + 1} = \sqrt{-\frac{21}{121} + 1} = \sqrt{-\frac{21}{121} + \frac{121}{121}} = \sqrt{\frac{100}{121}} = \frac{10}{11}$.
Ответ: $\frac{10}{11}$.
Можно ли найти значение данного выражения при a = -1?
Арифметический квадратный корень $\sqrt{x}$ определен для неотрицательных значений $x$, то есть $x \ge 0$. В нашем случае подкоренное выражение равно $3a+1$.
Таким образом, выражение $\sqrt{3a+1}$ имеет смысл только при условии $3a+1 \ge 0$.
Решим это неравенство:
$3a \ge -1$
$a \ge -\frac{1}{3}$
Значение $a = -1$ не удовлетворяет этому условию, так как $-1 < -\frac{1}{3}$.
При подстановке $a=-1$ в подкоренное выражение получаем: $3(-1)+1 = -3+1 = -2$.
Выражение принимает вид $\sqrt{-2}$. В области действительных чисел корень из отрицательного числа не существует.
Ответ: Нет, нельзя, так как при $a=-1$ подкоренное выражение становится отрицательным.
Другие задания:
Помогло решение? Оставьте отзыв в комментариях ниже.
Присоединяйтесь к Телеграм-группе @gdz_by_belarus
ПрисоединитьсяМы подготовили для вас ответ c подробным объяснением домашего задания по алгебре за 7-9 класс, для упражнения номер 21.13 расположенного на странице 96 к сборнику задач 2020 года издания для учащихся школ и гимназий.
Теперь на нашем сайте ГДЗ.ТОП вы всегда легко и бесплатно найдёте условие с правильным ответом на вопрос «Как решить ДЗ» и «Как сделать» задание по алгебре к упражнению №21.13 (с. 96), авторов: Арефьева (Ирина Глебовна), Пирютко (Ольга Николаевна), учебного пособия издательства Народная асвета.