Номер 31.38, страница 150 - гдз по алгебре 7-9 класс сборник задач Арефьева, Пирютко

Алгебра, 7-9 класс Сборник задач, авторы: Арефьева Ирина Глебовна, Пирютко Ольга Николаевна, издательство Народная асвета, Минск, 2020

Авторы: Арефьева И. Г., Пирютко О. Н.

Тип: Сборник задач

Издательство: Народная асвета

Год издания: 2020 - 2025

Цвет обложки: синий с графиками

Допущено Министерством образования Республики Беларусь

Популярные ГДЗ в 7 классе

8 класс. Параграф 31. Функция y=k/x (k≠0), y=x^3, y=|x|, y=√x - номер 31.38, страница 150.

№31.38 (с. 150)
Условие. №31.38 (с. 150)
скриншот условия
Алгебра, 7-9 класс Сборник задач, авторы: Арефьева Ирина Глебовна, Пирютко Ольга Николаевна, издательство Народная асвета, Минск, 2020, страница 150, номер 31.38, Условие

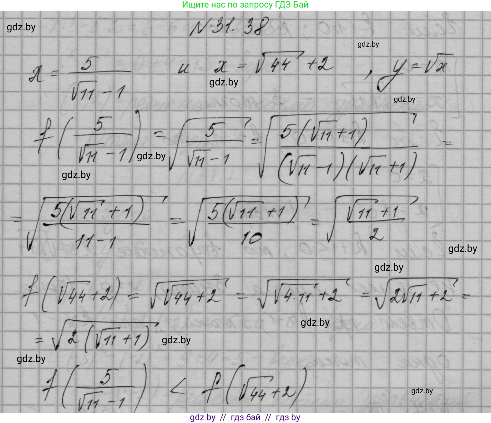
31.38*. Сравните значения функции $y = \sqrt{x}$ при $x = \frac{5}{\sqrt{11}-1}$ и $x = \sqrt{44}+2$.

Решение. №31.38 (с. 150)
Алгебра, 7-9 класс Сборник задач, авторы: Арефьева Ирина Глебовна, Пирютко Ольга Николаевна, издательство Народная асвета, Минск, 2020, страница 150, номер 31.38, Решение
Решение 2. №31.38 (с. 150)

Чтобы сравнить значения функции $y = \sqrt{x}$ при заданных значениях аргумента, необходимо сравнить сами эти значения. Функция $y = \sqrt{x}$ является возрастающей на всей своей области определения ($x \ge 0$), поэтому большему значению аргумента соответствует и большее значение функции.

Сравним два значения аргумента: $x_1 = \frac{5}{\sqrt{11}-1}$ и $x_2 = \sqrt{44}+2$. Для этого упростим каждое выражение.

Преобразуем первое значение $x_1$, избавившись от иррациональности в знаменателе. Умножим числитель и знаменатель дроби на выражение, сопряженное знаменателю, то есть на $(\sqrt{11}+1)$:

$x_1 = \frac{5}{\sqrt{11}-1} = \frac{5(\sqrt{11}+1)}{(\sqrt{11}-1)(\sqrt{11}+1)} = \frac{5(\sqrt{11}+1)}{(\sqrt{11})^2 - 1^2} = \frac{5(\sqrt{11}+1)}{11-1} = \frac{5(\sqrt{11}+1)}{10} = \frac{\sqrt{11}+1}{2}$

Теперь упростим второе значение $x_2$, вынеся множитель из-под знака корня:

$x_2 = \sqrt{44}+2 = \sqrt{4 \cdot 11}+2 = 2\sqrt{11}+2 = 2(\sqrt{11}+1)$

Теперь сравним полученные выражения для $x_1$ и $x_2$:

$x_1 = \frac{\sqrt{11}+1}{2}$ и $x_2 = 2(\sqrt{11}+1)$.

Оба выражения содержат общий положительный множитель $(\sqrt{11}+1)$. Сравним коэффициенты перед этим множителем: $\frac{1}{2}$ и $2$.

Поскольку $\frac{1}{2} < 2$, то и $\frac{1}{2}(\sqrt{11}+1) < 2(\sqrt{11}+1)$.

Следовательно, $x_1 < x_2$.

Так как функция $y = \sqrt{x}$ возрастающая, то из неравенства $x_1 < x_2$ следует, что и $y(x_1) < y(x_2)$.

Ответ: значение функции $y = \sqrt{x}$ при $x = \frac{5}{\sqrt{11}-1}$ меньше, чем при $x = \sqrt{44} + 2$.

Помогло решение? Оставьте отзыв в комментариях ниже.

Присоединяйтесь к Телеграм-группе @gdz_by_belarus

Присоединиться

Мы подготовили для вас ответ c подробным объяснением домашего задания по алгебре за 7-9 класс, для упражнения номер 31.38 расположенного на странице 150 к сборнику задач 2020 года издания для учащихся школ и гимназий.

Теперь на нашем сайте ГДЗ.ТОП вы всегда легко и бесплатно найдёте условие с правильным ответом на вопрос «Как решить ДЗ» и «Как сделать» задание по алгебре к упражнению №31.38 (с. 150), авторов: Арефьева (Ирина Глебовна), Пирютко (Ольга Николаевна), учебного пособия издательства Народная асвета.