Номер 2.181, страница 90 - гдз по алгебре 7 класс учебник Арефьева, Пирютко

Алгебра, 7 класс Учебник, авторы: Арефьева Ирина Глебовна, Пирютко Ольга Николаевна, издательство Народная асвета, Минск, 2022, зелёного цвета

Авторы: Арефьева И. Г., Пирютко О. Н.

Тип: Учебник

Издательство: Народная асвета

Год издания: 2022 - 2025

Цвет обложки: зелёный с графиком

ISBN: ISBN 978-985-03-3770-2

Допущено Министерством образования Республики Беларусь

Популярные ГДЗ в 7 классе

Глава 2. Выражения и их преобразования. Параграф 9. Сложение и вычитание многочленов - номер 2.181, страница 90.

№2.181 (с. 90)
Условие. №2.181 (с. 90)
скриншот условия
Алгебра, 7 класс Учебник, авторы: Арефьева Ирина Глебовна, Пирютко Ольга Николаевна, издательство Народная асвета, Минск, 2022, зелёного цвета, страница 90, номер 2.181, Условие

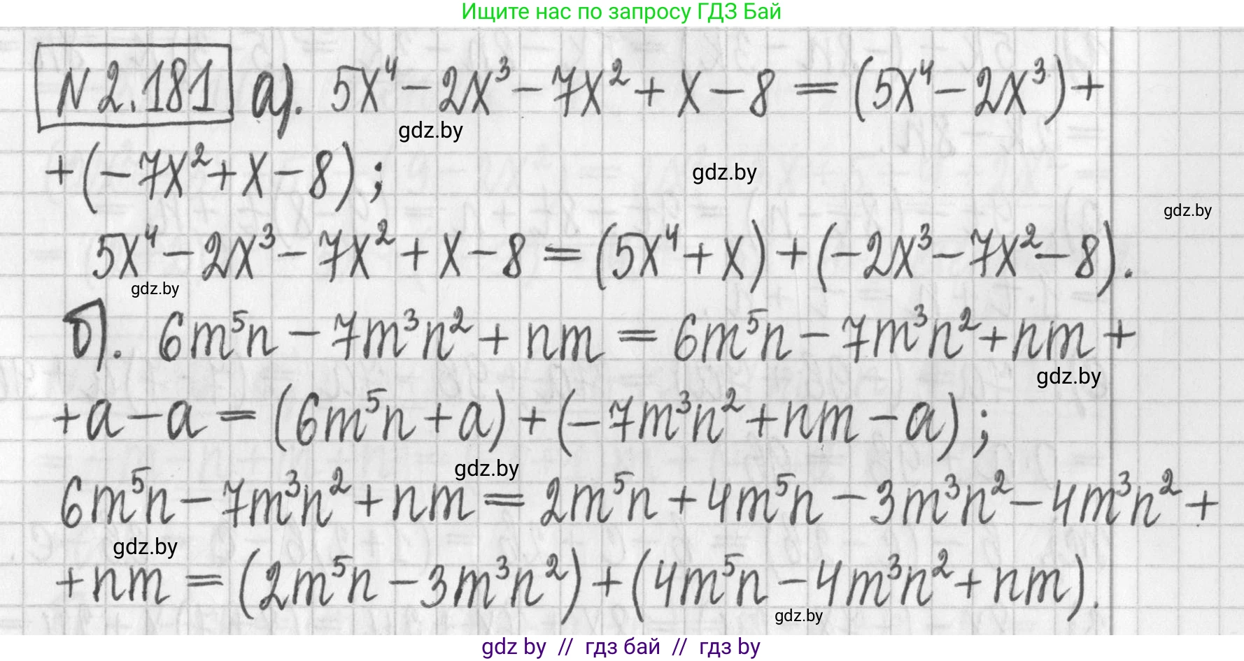
2.181. Представьте двумя способами многочлен в виде суммы двучлена и трехчлена, имеющих стандартный вид:

a) $5x^4 - 2x^3 - 7x^2 + x - 8;$

б)* $6m^5n - 7m^3n^2 + nm.$

Решение. №2.181 (с. 90)
Алгебра, 7 класс Учебник, авторы: Арефьева Ирина Глебовна, Пирютко Ольга Николаевна, издательство Народная асвета, Минск, 2022, зелёного цвета, страница 90, номер 2.181, Решение
Решение 2. №2.181 (с. 90)

Представьте двумя способами многочлен в виде суммы двучлена и трехчлена, имеющих стандартный вид.

а) $5x^4 - 2x^3 - 7x^2 + x - 8$

Исходный многочлен состоит из пяти членов, записанных в стандартном виде. Чтобы представить его как сумму двучлена (многочлена из двух членов) и трехчлена (многочлена из трех членов), мы можем сгруппировать его члены двумя различными способами.

Способ 1:
Сгруппируем первые два члена в двучлен, а оставшиеся три — в трехчлен.

  • Двучлен: $(5x^4 - 2x^3)$
  • Трехчлен: $(-7x^2 + x - 8)$

Проверим сумму: $(5x^4 - 2x^3) + (-7x^2 + x - 8) = 5x^4 - 2x^3 - 7x^2 + x - 8$. Оба многочлена имеют стандартный вид.

Способ 2:
Сгруппируем первые три члена в трехчлен, а последние два — в двучлен.

  • Двучлен: $(x - 8)$
  • Трехчлен: $(5x^4 - 2x^3 - 7x^2)$

Проверим сумму: $(5x^4 - 2x^3 - 7x^2) + (x - 8) = 5x^4 - 2x^3 - 7x^2 + x - 8$. Оба многочлена имеют стандартный вид.

Ответ: $(5x^4 - 2x^3) + (-7x^2 + x - 8)$; $(5x^4 - 2x^3 - 7x^2) + (x - 8)$.


б) $6m^5n - 7m^3n^2 + nm$

Исходный многочлен является трехчленом. Приведем его к стандартному виду, расположив члены в порядке убывания степени переменной $m$: $6m^5n - 7m^3n^2 + mn$.
Чтобы представить трехчлен в виде суммы двучлена и трехчлена, необходимо искусственно ввести еще два члена, которые в сумме дают ноль. Для этого добавим и вычтем какой-либо одночлен. Это увеличит общее количество членов до пяти, которые затем можно будет сгруппировать в двучлен и трехчлен.

Возьмем, к примеру, одночлен $m^4n^2$ и добавим его и вычтем из исходного многочлена:
$6m^5n - 7m^3n^2 + mn = 6m^5n - 7m^3n^2 + mn + m^4n^2 - m^4n^2$.
Теперь у нас есть пять членов, которые можно сгруппировать двумя способами.

Способ 1:
Сформируем двучлен из членов $6m^5n$ и $m^4n^2$, а трехчлен из оставшихся.

  • Двучлен: $(6m^5n + m^4n^2)$
  • Трехчлен: $(-7m^3n^2 + mn - m^4n^2)$

Приведем трехчлен к стандартному виду: $(-m^4n^2 - 7m^3n^2 + mn)$.
Проверим сумму: $(6m^5n + m^4n^2) + (-m^4n^2 - 7m^3n^2 + mn) = 6m^5n - 7m^3n^2 + mn$.

Способ 2:
Сформируем двучлен из членов $-7m^3n^2$ и $mn$, а трехчлен из оставшихся (с учетом добавленного и вычтенного одночлена).

  • Двучлен: $(-7m^3n^2 + mn)$
  • Трехчлен: $(6m^5n + m^4n^2 - m^4n^2)$ - это неверно, так как трехчлен должен состоять из трех разных одночленов. Нужно сгруппировать иначе.

Попробуем другую группировку. Возьмем в двучлен $mn$ и $-m^4n^2$.

  • Двучлен: $(mn - m^4n^2)$ или в стандартном виде $(-m^4n^2 + mn)$
  • Трехчлен: $(6m^5n - 7m^3n^2 + m^4n^2)$ или в стандартном виде $(6m^5n + m^4n^2 - 7m^3n^2)$

Проверим сумму: $(-m^4n^2 + mn) + (6m^5n + m^4n^2 - 7m^3n^2) = 6m^5n - 7m^3n^2 + mn$.

Ответ: $(6m^5n + m^4n^2) + (-m^4n^2 - 7m^3n^2 + mn)$; $(-m^4n^2 + mn) + (6m^5n + m^4n^2 - 7m^3n^2)$.

Помогло решение? Оставьте отзыв в комментариях ниже.

Присоединяйтесь к Телеграм-группе @gdz_by_belarus

Присоединиться

Мы подготовили для вас ответ c подробным объяснением домашего задания по алгебре за 7 класс, для упражнения номер 2.181 расположенного на странице 90 к учебнику 2022 года издания для учащихся школ и гимназий.

Теперь на нашем сайте ГДЗ.ТОП вы всегда легко и бесплатно найдёте условие с правильным ответом на вопрос «Как решить ДЗ» и «Как сделать» задание по алгебре к упражнению №2.181 (с. 90), авторов: Арефьева (Ирина Глебовна), Пирютко (Ольга Николаевна), учебного пособия издательства Народная асвета.