Номер 2.305, страница 114 - гдз по алгебре 7 класс учебник Арефьева, Пирютко

Алгебра, 7 класс Учебник, авторы: Арефьева Ирина Глебовна, Пирютко Ольга Николаевна, издательство Народная асвета, Минск, 2022, зелёного цвета

Авторы: Арефьева И. Г., Пирютко О. Н.

Тип: Учебник

Издательство: Народная асвета

Год издания: 2022 - 2025

Цвет обложки: зелёный с графиком

ISBN: ISBN 978-985-03-3770-2

Допущено Министерством образования Республики Беларусь

Популярные ГДЗ в 7 классе

Глава 2. Выражения и их преобразования. Параграф 12. Формулы сокращенного умножения: квадрат суммы и квадрат разности двух выражений - номер 2.305, страница 114.

№2.305 (с. 114)
Условие. №2.305 (с. 114)
скриншот условия
Алгебра, 7 класс Учебник, авторы: Арефьева Ирина Глебовна, Пирютко Ольга Николаевна, издательство Народная асвета, Минск, 2022, зелёного цвета, страница 114, номер 2.305, Условие

2.305. Примените формулу квадрата суммы или квадрата разности и вычислите:

а) $61^2$;

б) $799^2$;

в) $9,2^2$;

г) $5,98^2$.

Решение. №2.305 (с. 114)
Алгебра, 7 класс Учебник, авторы: Арефьева Ирина Глебовна, Пирютко Ольга Николаевна, издательство Народная асвета, Минск, 2022, зелёного цвета, страница 114, номер 2.305, Решение
Решение 2. №2.305 (с. 114)

Для решения данной задачи необходимо применить формулы сокращенного умножения: квадрат суммы и квадрат разности.

  • Формула квадрата суммы: $(a+b)^2 = a^2 + 2ab + b^2$
  • Формула квадрата разности: $(a-b)^2 = a^2 - 2ab + b^2$

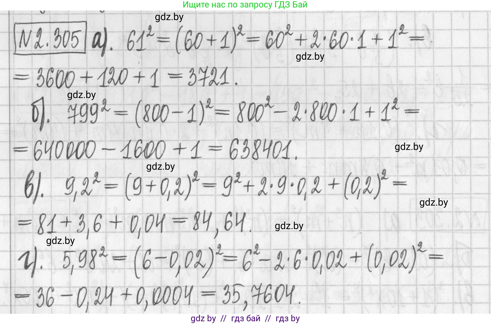
a) $61^2$

Чтобы вычислить $61^2$, представим число 61 как сумму $60+1$ и воспользуемся формулой квадрата суммы:

$61^2 = (60 + 1)^2 = 60^2 + 2 \cdot 60 \cdot 1 + 1^2 = 3600 + 120 + 1 = 3721$.

Ответ: 3721

б) $799^2$

Чтобы вычислить $799^2$, представим число 799 как разность $800-1$ и воспользуемся формулой квадрата разности:

$799^2 = (800 - 1)^2 = 800^2 - 2 \cdot 800 \cdot 1 + 1^2 = 640000 - 1600 + 1 = 638401$.

Ответ: 638401

в) $9,2^2$

Чтобы вычислить $9,2^2$, представим число 9,2 как сумму $9+0,2$ и воспользуемся формулой квадрата суммы:

$9,2^2 = (9 + 0,2)^2 = 9^2 + 2 \cdot 9 \cdot 0,2 + 0,2^2 = 81 + 3,6 + 0,04 = 84,64$.

Ответ: 84,64

г) $5,98^2$

Чтобы вычислить $5,98^2$, представим число 5,98 как разность $6-0,02$ и воспользуемся формулой квадрата разности:

$5,98^2 = (6 - 0,02)^2 = 6^2 - 2 \cdot 6 \cdot 0,02 + (0,02)^2 = 36 - 0,24 + 0,0004 = 35,7604$.

Ответ: 35,7604

Помогло решение? Оставьте отзыв в комментариях ниже.

Присоединяйтесь к Телеграм-группе @gdz_by_belarus

Присоединиться

Мы подготовили для вас ответ c подробным объяснением домашего задания по алгебре за 7 класс, для упражнения номер 2.305 расположенного на странице 114 к учебнику 2022 года издания для учащихся школ и гимназий.

Теперь на нашем сайте ГДЗ.ТОП вы всегда легко и бесплатно найдёте условие с правильным ответом на вопрос «Как решить ДЗ» и «Как сделать» задание по алгебре к упражнению №2.305 (с. 114), авторов: Арефьева (Ирина Глебовна), Пирютко (Ольга Николаевна), учебного пособия издательства Народная асвета.