Номер 2.330, страница 120 - гдз по алгебре 7 класс учебник Арефьева, Пирютко

Алгебра, 7 класс Учебник, авторы: Арефьева Ирина Глебовна, Пирютко Ольга Николаевна, издательство Народная асвета, Минск, 2022, зелёного цвета

Авторы: Арефьева И. Г., Пирютко О. Н.

Тип: Учебник

Издательство: Народная асвета

Год издания: 2022 - 2025

Цвет обложки: зелёный с графиком

ISBN: ISBN 978-985-03-3770-2

Допущено Министерством образования Республики Беларусь

Популярные ГДЗ в 7 классе

Глава 2. Выражения и их преобразования. Параграф 13. Формулы сокращенного умножения: произведение суммы и разности двух выражений - номер 2.330, страница 120.

№2.330 (с. 120)
Условие. №2.330 (с. 120)
скриншот условия
Алгебра, 7 класс Учебник, авторы: Арефьева Ирина Глебовна, Пирютко Ольга Николаевна, издательство Народная асвета, Минск, 2022, зелёного цвета, страница 120, номер 2.330, Условие

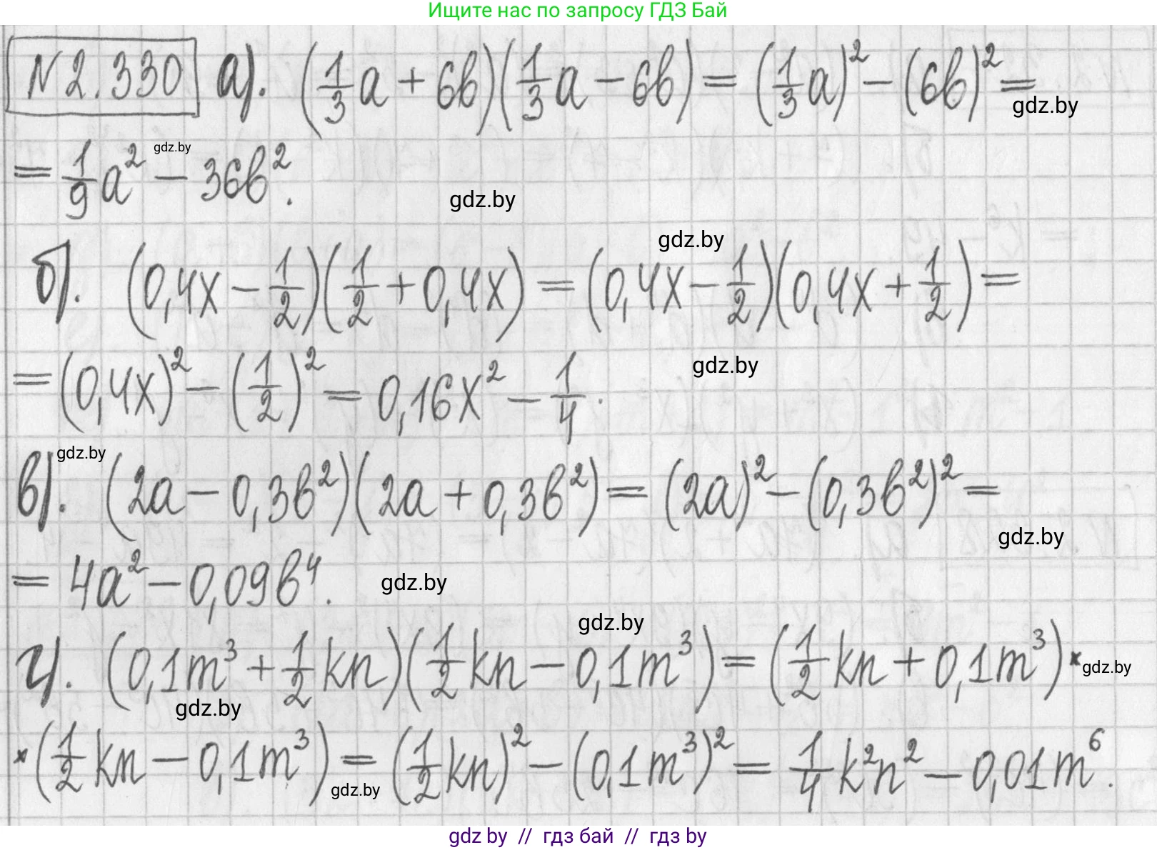
2.330. Представьте в виде многочлена произведе-ние:

а) $(\frac{1}{3}a + 6b)(\frac{1}{3}a - 6b);$

б) $(0,4x - \frac{1}{2})(\frac{1}{2} + 0,4x);$

в) $(2a - 0,3b^2)(2a + 0,3b^2);$

г) $(0,1m^3 + \frac{1}{2}kn)(\frac{1}{2}kn - 0,1m^3).$

Решение. №2.330 (с. 120)
Алгебра, 7 класс Учебник, авторы: Арефьева Ирина Глебовна, Пирютко Ольга Николаевна, издательство Народная асвета, Минск, 2022, зелёного цвета, страница 120, номер 2.330, Решение
Решение 2. №2.330 (с. 120)

Для решения всех пунктов используется формула сокращенного умножения "разность квадратов": $(a - b)(a + b) = a^2 - b^2$.

а) $(\frac{1}{3}a + 6b)(\frac{1}{3}a - 6b)$

Данное выражение является произведением суммы и разности двух выражений. Применим формулу разности квадратов, где в роли $a$ выступает $\frac{1}{3}a$, а в роли $b$ выступает $6b$.

$(\frac{1}{3}a + 6b)(\frac{1}{3}a - 6b) = (\frac{1}{3}a)^2 - (6b)^2 = \frac{1}{9}a^2 - 36b^2$

Ответ: $\frac{1}{9}a^2 - 36b^2$

б) $(0,4x - \frac{1}{2})(\frac{1}{2} + 0,4x)$

Переставим слагаемые во второй скобке, чтобы привести выражение к стандартному виду формулы разности квадратов: $(0,4x - \frac{1}{2})(0,4x + \frac{1}{2})$.

Применим формулу, где в роли $a$ выступает $0,4x$, а в роли $b$ выступает $\frac{1}{2}$.

$(0,4x)^2 - (\frac{1}{2})^2 = 0,16x^2 - \frac{1}{4}$

Преобразуем дробь $\frac{1}{4}$ в десятичную: $\frac{1}{4} = 0,25$.

Получаем многочлен: $0,16x^2 - 0,25$.

Ответ: $0,16x^2 - 0,25$

в) $(2a - 0,3b^2)(2a + 0,3b^2)$

Применим формулу разности квадратов. Здесь $a$ из формулы равно $2a$, а $b$ из формулы равно $0,3b^2$.

$(2a)^2 - (0,3b^2)^2 = 4a^2 - (0,3)^2(b^2)^2 = 4a^2 - 0,09b^4$

Ответ: $4a^2 - 0,09b^4$

г) $(0,1m^3 + \frac{1}{2}kn)(\frac{1}{2}kn - 0,1m^3)$

Переставим слагаемые в первой скобке для удобства: $(\frac{1}{2}kn + 0,1m^3)(\frac{1}{2}kn - 0,1m^3)$.

Применим формулу разности квадратов. Здесь $a$ из формулы равно $\frac{1}{2}kn$, а $b$ из формулы равно $0,1m^3$.

$(\frac{1}{2}kn)^2 - (0,1m^3)^2 = (\frac{1}{2})^2k^2n^2 - (0,1)^2(m^3)^2 = \frac{1}{4}k^2n^2 - 0,01m^6$

Преобразуем дробь $\frac{1}{4}$ в десятичную: $\frac{1}{4} = 0,25$.

Получаем многочлен: $0,25k^2n^2 - 0,01m^6$.

Ответ: $0,25k^2n^2 - 0,01m^6$

Помогло решение? Оставьте отзыв в комментариях ниже.

Присоединяйтесь к Телеграм-группе @gdz_by_belarus

Присоединиться

Мы подготовили для вас ответ c подробным объяснением домашего задания по алгебре за 7 класс, для упражнения номер 2.330 расположенного на странице 120 к учебнику 2022 года издания для учащихся школ и гимназий.

Теперь на нашем сайте ГДЗ.ТОП вы всегда легко и бесплатно найдёте условие с правильным ответом на вопрос «Как решить ДЗ» и «Как сделать» задание по алгебре к упражнению №2.330 (с. 120), авторов: Арефьева (Ирина Глебовна), Пирютко (Ольга Николаевна), учебного пособия издательства Народная асвета.