Номер 2.355, страница 123 - гдз по алгебре 7 класс учебник Арефьева, Пирютко

Алгебра, 7 класс Учебник, авторы: Арефьева Ирина Глебовна, Пирютко Ольга Николаевна, издательство Народная асвета, Минск, 2022, зелёного цвета

Авторы: Арефьева И. Г., Пирютко О. Н.

Тип: Учебник

Издательство: Народная асвета

Год издания: 2022 - 2025

Цвет обложки: зелёный с графиком

ISBN: ISBN 978-985-03-3770-2

Допущено Министерством образования Республики Беларусь

Популярные ГДЗ в 7 классе

Глава 2. Выражения и их преобразования. Параграф 13. Формулы сокращенного умножения: произведение суммы и разности двух выражений - номер 2.355, страница 123.

№2.355 (с. 123)
Условие. №2.355 (с. 123)
скриншот условия
Алгебра, 7 класс Учебник, авторы: Арефьева Ирина Глебовна, Пирютко Ольга Николаевна, издательство Народная асвета, Минск, 2022, зелёного цвета, страница 123, номер 2.355, Условие

2.355. Упростите выражение:

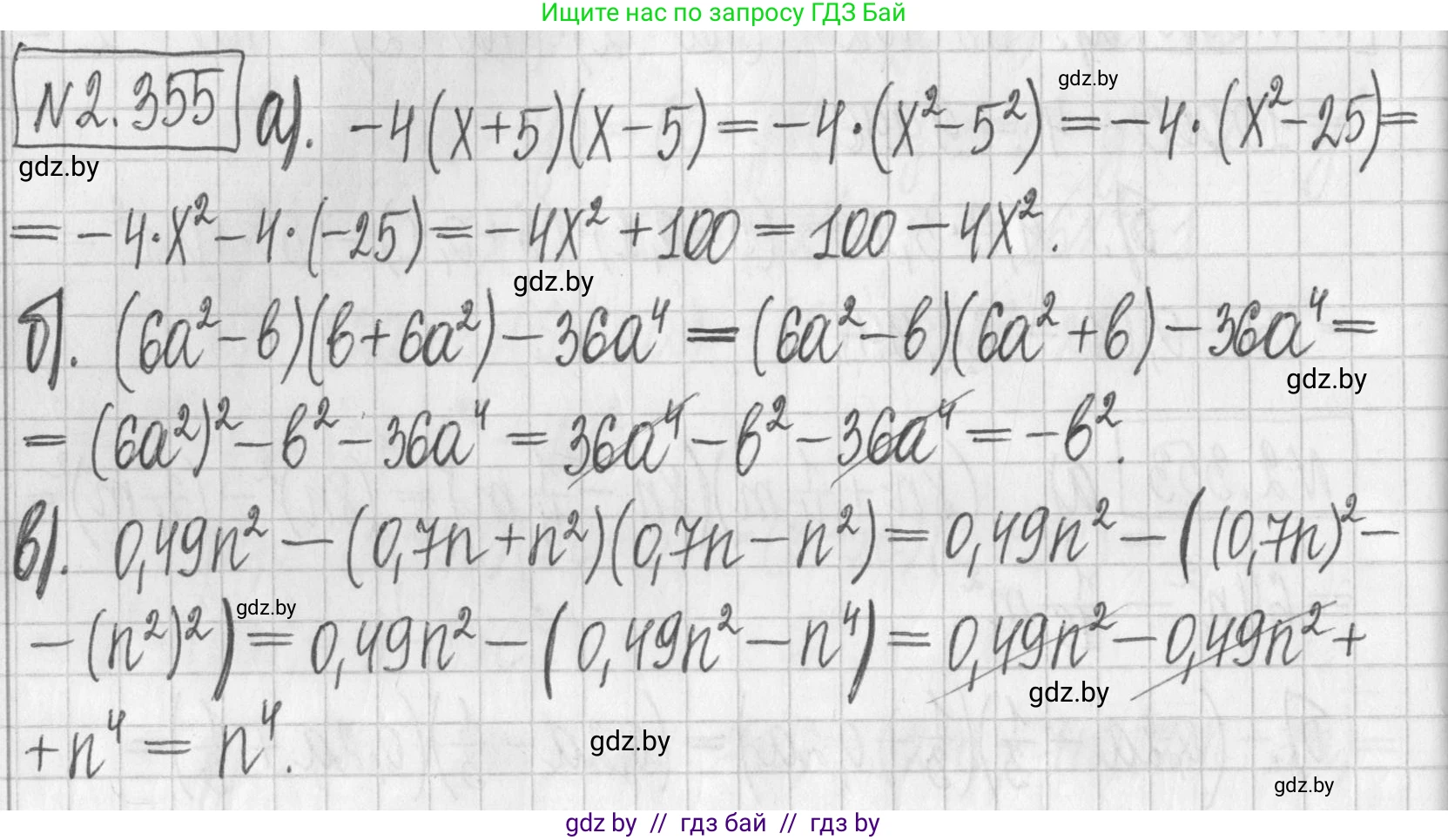
а) $-4(x + 5)(x - 5);$

б) $(6a^2 - b)(b + 6a^2) - 36a^4;$

в) $0,49n^2 - (0,7n + n^2)(0,7n - n^2).$

Решение. №2.355 (с. 123)
Алгебра, 7 класс Учебник, авторы: Арефьева Ирина Глебовна, Пирютко Ольга Николаевна, издательство Народная асвета, Минск, 2022, зелёного цвета, страница 123, номер 2.355, Решение
Решение 2. №2.355 (с. 123)

а) $-4(x + 5)(x - 5)$

Для упрощения произведения $(x + 5)(x - 5)$ воспользуемся формулой сокращенного умножения "разность квадратов": $(a+b)(a-b) = a^2 - b^2$.

В нашем случае $a=x$ и $b=5$.

$(x + 5)(x - 5) = x^2 - 5^2 = x^2 - 25$

Теперь подставим это в исходное выражение:

$-4(x^2 - 25)$

Раскроем скобки, умножив $-4$ на каждый член внутри скобок:

$-4 \cdot x^2 - 4 \cdot (-25) = -4x^2 + 100$

Ответ: $100 - 4x^2$

б) $(6a^2 - b)(b + 6a^2) - 36a^4$

Сначала упростим произведение скобок. Переставим слагаемые во второй скобке для наглядности: $(b + 6a^2) = (6a^2 + b)$.

Выражение принимает вид: $(6a^2 - b)(6a^2 + b) - 36a^4$.

Снова применяем формулу разности квадратов $(A-B)(A+B) = A^2 - B^2$, где $A = 6a^2$ и $B = b$.

$(6a^2 - b)(6a^2 + b) = (6a^2)^2 - b^2 = 36a^4 - b^2$

Подставим результат в исходное выражение:

$(36a^4 - b^2) - 36a^4$

Приведем подобные слагаемые:

$36a^4 - 36a^4 - b^2 = -b^2$

Ответ: $-b^2$

в) $0,49n^2 - (0,7n + n^2)(0,7n - n^2)$

Рассмотрим выражение в скобках $(0,7n + n^2)(0,7n - n^2)$. Это также разность квадратов, где $a = 0,7n$ и $b = n^2$.

$(0,7n + n^2)(0,7n - n^2) = (0,7n)^2 - (n^2)^2 = 0,49n^2 - n^4$

Теперь подставим это в исходное выражение:

$0,49n^2 - (0,49n^2 - n^4)$

Раскроем скобки. Так как перед скобкой стоит знак минус, все знаки внутри скобок меняются на противоположные:

$0,49n^2 - 0,49n^2 + n^4$

Приведем подобные слагаемые:

$(0,49n^2 - 0,49n^2) + n^4 = 0 + n^4 = n^4$

Ответ: $n^4$

Помогло решение? Оставьте отзыв в комментариях ниже.

Присоединяйтесь к Телеграм-группе @gdz_by_belarus

Присоединиться

Мы подготовили для вас ответ c подробным объяснением домашего задания по алгебре за 7 класс, для упражнения номер 2.355 расположенного на странице 123 к учебнику 2022 года издания для учащихся школ и гимназий.

Теперь на нашем сайте ГДЗ.ТОП вы всегда легко и бесплатно найдёте условие с правильным ответом на вопрос «Как решить ДЗ» и «Как сделать» задание по алгебре к упражнению №2.355 (с. 123), авторов: Арефьева (Ирина Глебовна), Пирютко (Ольга Николаевна), учебного пособия издательства Народная асвета.