Номер 2.361, страница 124 - гдз по алгебре 7 класс учебник Арефьева, Пирютко

Алгебра, 7 класс Учебник, авторы: Арефьева Ирина Глебовна, Пирютко Ольга Николаевна, издательство Народная асвета, Минск, 2022, зелёного цвета

Авторы: Арефьева И. Г., Пирютко О. Н.

Тип: Учебник

Издательство: Народная асвета

Год издания: 2022 - 2025

Цвет обложки: зелёный с графиком

ISBN: ISBN 978-985-03-3770-2

Допущено Министерством образования Республики Беларусь

Популярные ГДЗ в 7 классе

Глава 2. Выражения и их преобразования. Параграф 13. Формулы сокращенного умножения: произведение суммы и разности двух выражений - номер 2.361, страница 124.

№2.361 (с. 124)
Условие. №2.361 (с. 124)
скриншот условия
Алгебра, 7 класс Учебник, авторы: Арефьева Ирина Глебовна, Пирютко Ольга Николаевна, издательство Народная асвета, Минск, 2022, зелёного цвета, страница 124, номер 2.361, Условие

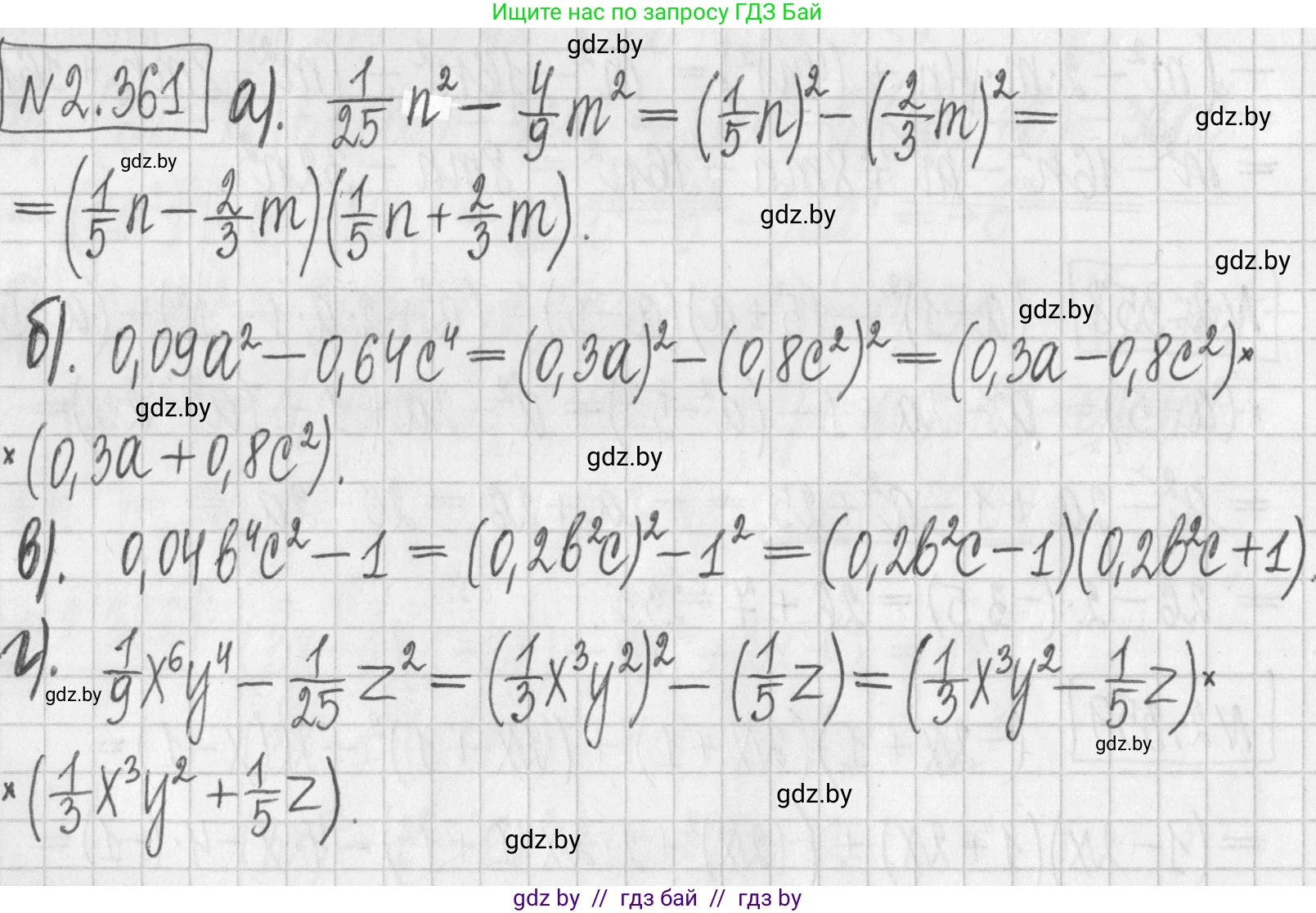
2.361. Используя формулу разности квадратов, представьте в виде произведения выражение:

а) $\frac{1}{25} n^2 - \frac{4}{9} m^2;$

б) $0,09 a^2 - 0,64 c^4;$

в) $0,04 b^4 c^2 - 1;$

г) $\frac{1}{9} x^6 y^4 - \frac{1}{25} z^2.$

Решение. №2.361 (с. 124)
Алгебра, 7 класс Учебник, авторы: Арефьева Ирина Глебовна, Пирютко Ольга Николаевна, издательство Народная асвета, Минск, 2022, зелёного цвета, страница 124, номер 2.361, Решение
Решение 2. №2.361 (с. 124)
Для решения данной задачи используется формула разности квадратов: $A^2 - B^2 = (A - B)(A + B)$.

а) $\frac{1}{25}n^2 - \frac{4}{9}m^2$
Представим каждый член выражения в виде квадрата.
Первый член: $\frac{1}{25}n^2 = (\frac{1}{5}n)^2$.
Второй член: $\frac{4}{9}m^2 = (\frac{2}{3}m)^2$.
Теперь применим формулу разности квадратов:
$\frac{1}{25}n^2 - \frac{4}{9}m^2 = (\frac{1}{5}n)^2 - (\frac{2}{3}m)^2 = (\frac{1}{5}n - \frac{2}{3}m)(\frac{1}{5}n + \frac{2}{3}m)$.
Ответ: $(\frac{1}{5}n - \frac{2}{3}m)(\frac{1}{5}n + \frac{2}{3}m)$.

б) $0,09a^2 - 0,64c^4$
Представим каждый член выражения в виде квадрата.
Первый член: $0,09a^2 = (0,3a)^2$.
Второй член: $0,64c^4 = (0,8c^2)^2$.
Применяя формулу, получаем:
$0,09a^2 - 0,64c^4 = (0,3a)^2 - (0,8c^2)^2 = (0,3a - 0,8c^2)(0,3a + 0,8c^2)$.
Ответ: $(0,3a - 0,8c^2)(0,3a + 0,8c^2)$.

в) $0,04b^4c^2 - 1$
Представим каждый член выражения в виде квадрата.
Первый член: $0,04b^4c^2 = (0,2b^2c)^2$.
Второй член: $1 = 1^2$.
Применяя формулу, получаем:
$0,04b^4c^2 - 1 = (0,2b^2c)^2 - 1^2 = (0,2b^2c - 1)(0,2b^2c + 1)$.
Ответ: $(0,2b^2c - 1)(0,2b^2c + 1)$.

г) $\frac{1}{9}x^6y^4 - \frac{1}{25}z^2$
Представим каждый член выражения в виде квадрата.
Первый член: $\frac{1}{9}x^6y^4 = (\frac{1}{3}x^3y^2)^2$.
Второй член: $\frac{1}{25}z^2 = (\frac{1}{5}z)^2$.
Применяя формулу, получаем:
$\frac{1}{9}x^6y^4 - \frac{1}{25}z^2 = (\frac{1}{3}x^3y^2)^2 - (\frac{1}{5}z)^2 = (\frac{1}{3}x^3y^2 - \frac{1}{5}z)(\frac{1}{3}x^3y^2 + \frac{1}{5}z)$.
Ответ: $(\frac{1}{3}x^3y^2 - \frac{1}{5}z)(\frac{1}{3}x^3y^2 + \frac{1}{5}z)$.

Помогло решение? Оставьте отзыв в комментариях ниже.

Присоединяйтесь к Телеграм-группе @gdz_by_belarus

Присоединиться

Мы подготовили для вас ответ c подробным объяснением домашего задания по алгебре за 7 класс, для упражнения номер 2.361 расположенного на странице 124 к учебнику 2022 года издания для учащихся школ и гимназий.

Теперь на нашем сайте ГДЗ.ТОП вы всегда легко и бесплатно найдёте условие с правильным ответом на вопрос «Как решить ДЗ» и «Как сделать» задание по алгебре к упражнению №2.361 (с. 124), авторов: Арефьева (Ирина Глебовна), Пирютко (Ольга Николаевна), учебного пособия издательства Народная асвета.