Номер 2.363, страница 124 - гдз по алгебре 7 класс учебник Арефьева, Пирютко

Алгебра, 7 класс Учебник, авторы: Арефьева Ирина Глебовна, Пирютко Ольга Николаевна, издательство Народная асвета, Минск, 2022, зелёного цвета

Авторы: Арефьева И. Г., Пирютко О. Н.

Тип: Учебник

Издательство: Народная асвета

Год издания: 2022 - 2025

Цвет обложки: зелёный с графиком

ISBN: ISBN 978-985-03-3770-2

Допущено Министерством образования Республики Беларусь

Популярные ГДЗ в 7 классе

Глава 2. Выражения и их преобразования. Параграф 13. Формулы сокращенного умножения: произведение суммы и разности двух выражений - номер 2.363, страница 124.

№2.363 (с. 124)
Условие. №2.363 (с. 124)
скриншот условия
Алгебра, 7 класс Учебник, авторы: Арефьева Ирина Глебовна, Пирютко Ольга Николаевна, издательство Народная асвета, Минск, 2022, зелёного цвета, страница 124, номер 2.363, Условие

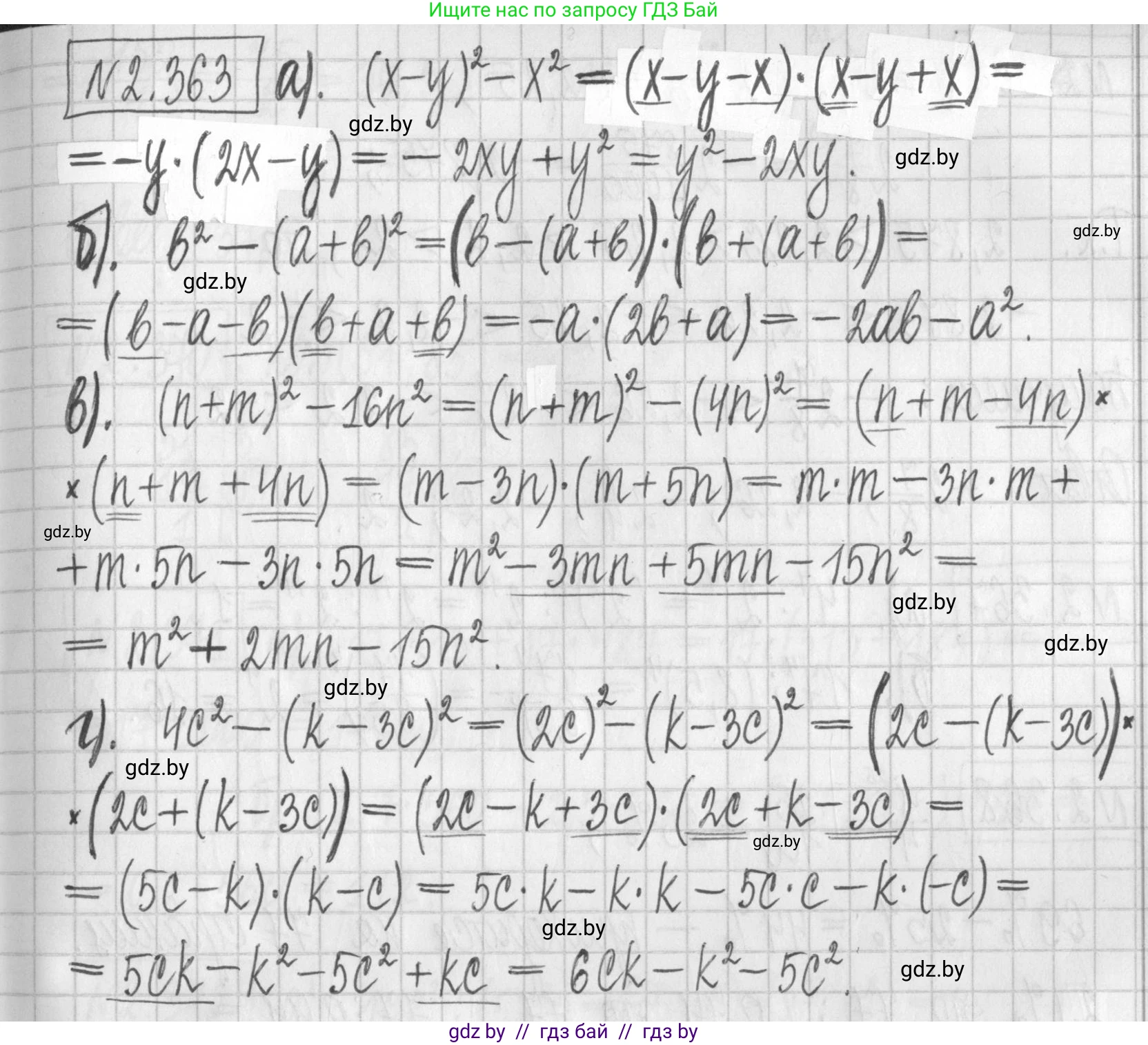
2.363. Используя формулу разности квадратов, упростите выражение:

а) $(x - y)^2 - x^2;$

б) $b^2 - (a + b)^2;$

в) $(n + m)^2 - 16n^2;$

г) $4c^2 - (k - 3c)^2.$

Решение. №2.363 (с. 124)
Алгебра, 7 класс Учебник, авторы: Арефьева Ирина Глебовна, Пирютко Ольга Николаевна, издательство Народная асвета, Минск, 2022, зелёного цвета, страница 124, номер 2.363, Решение
Решение 2. №2.363 (с. 124)

Для упрощения данных выражений используется формула разности квадратов: $a^2 - b^2 = (a - b)(a + b)$.

а) $(x - y)^2 - x^2$

В данном случае, мы можем принять $a = (x - y)$ и $b = x$. Применим формулу разности квадратов:

$(x - y)^2 - x^2 = ((x - y) - x)((x - y) + x)$

Теперь упростим выражения в каждой из скобок:

Первая скобка: $(x - y - x) = -y$

Вторая скобка: $(x - y + x) = 2x - y$

Перемножим полученные выражения:

$(-y)(2x - y) = y(y - 2x)$

Ответ: $(-y)(2x - y)$

б) $b^2 - (a + b)^2$

Здесь $a = b$ и $b = (a + b)$. Применим формулу:

$b^2 - (a + b)^2 = (b - (a + b))(b + (a + b))$

Раскроем скобки внутри больших скобок, учитывая знак минус перед второй скобкой:

Первая скобка: $(b - a - b) = -a$

Вторая скобка: $(b + a + b) = a + 2b$

Результат:

$(-a)(a + 2b)$

Ответ: $-a(a + 2b)$

в) $(n + m)^2 - 16n^2$

Сначала представим $16n^2$ как квадрат одного выражения: $16n^2 = (4n)^2$.

Теперь выражение имеет вид: $(n + m)^2 - (4n)^2$.

Здесь $a = (n + m)$ и $b = 4n$. Применим формулу разности квадратов:

$((n + m) - 4n)((n + m) + 4n)$

Упростим выражения в скобках:

Первая скобка: $(n + m - 4n) = m - 3n$

Вторая скобка: $(n + m + 4n) = m + 5n$

Результат:

$(m - 3n)(m + 5n)$

Ответ: $(m - 3n)(m + 5n)$

г) $4c^2 - (k - 3c)^2$

Представим $4c^2$ как квадрат выражения: $4c^2 = (2c)^2$.

Выражение принимает вид: $(2c)^2 - (k - 3c)^2$.

Здесь $a = 2c$ и $b = (k - 3c)$. Применим формулу:

$(2c - (k - 3c))(2c + (k - 3c))$

Раскроем внутренние скобки:

Первая скобка: $(2c - k + 3c) = 5c - k$

Вторая скобка: $(2c + k - 3c) = k - c$

Результат:

$(5c - k)(k - c)$

Ответ: $(5c - k)(k - c)$

Помогло решение? Оставьте отзыв в комментариях ниже.

Присоединяйтесь к Телеграм-группе @gdz_by_belarus

Присоединиться

Мы подготовили для вас ответ c подробным объяснением домашего задания по алгебре за 7 класс, для упражнения номер 2.363 расположенного на странице 124 к учебнику 2022 года издания для учащихся школ и гимназий.

Теперь на нашем сайте ГДЗ.ТОП вы всегда легко и бесплатно найдёте условие с правильным ответом на вопрос «Как решить ДЗ» и «Как сделать» задание по алгебре к упражнению №2.363 (с. 124), авторов: Арефьева (Ирина Глебовна), Пирютко (Ольга Николаевна), учебного пособия издательства Народная асвета.