Номер 2.420, страница 138 - гдз по алгебре 7 класс учебник Арефьева, Пирютко

Алгебра, 7 класс Учебник, авторы: Арефьева Ирина Глебовна, Пирютко Ольга Николаевна, издательство Народная асвета, Минск, 2022, зелёного цвета

Авторы: Арефьева И. Г., Пирютко О. Н.

Тип: Учебник

Издательство: Народная асвета

Год издания: 2022 - 2025

Цвет обложки: зелёный с графиком

ISBN: ISBN 978-985-03-3770-2

Допущено Министерством образования Республики Беларусь

Популярные ГДЗ в 7 классе

Глава 2. Выражения и их преобразования. Параграф 14. Разложение многочлена на множители - номер 2.420, страница 138.

№2.420 (с. 138)
Условие. №2.420 (с. 138)
скриншот условия
Алгебра, 7 класс Учебник, авторы: Арефьева Ирина Глебовна, Пирютко Ольга Николаевна, издательство Народная асвета, Минск, 2022, зелёного цвета, страница 138, номер 2.420, Условие

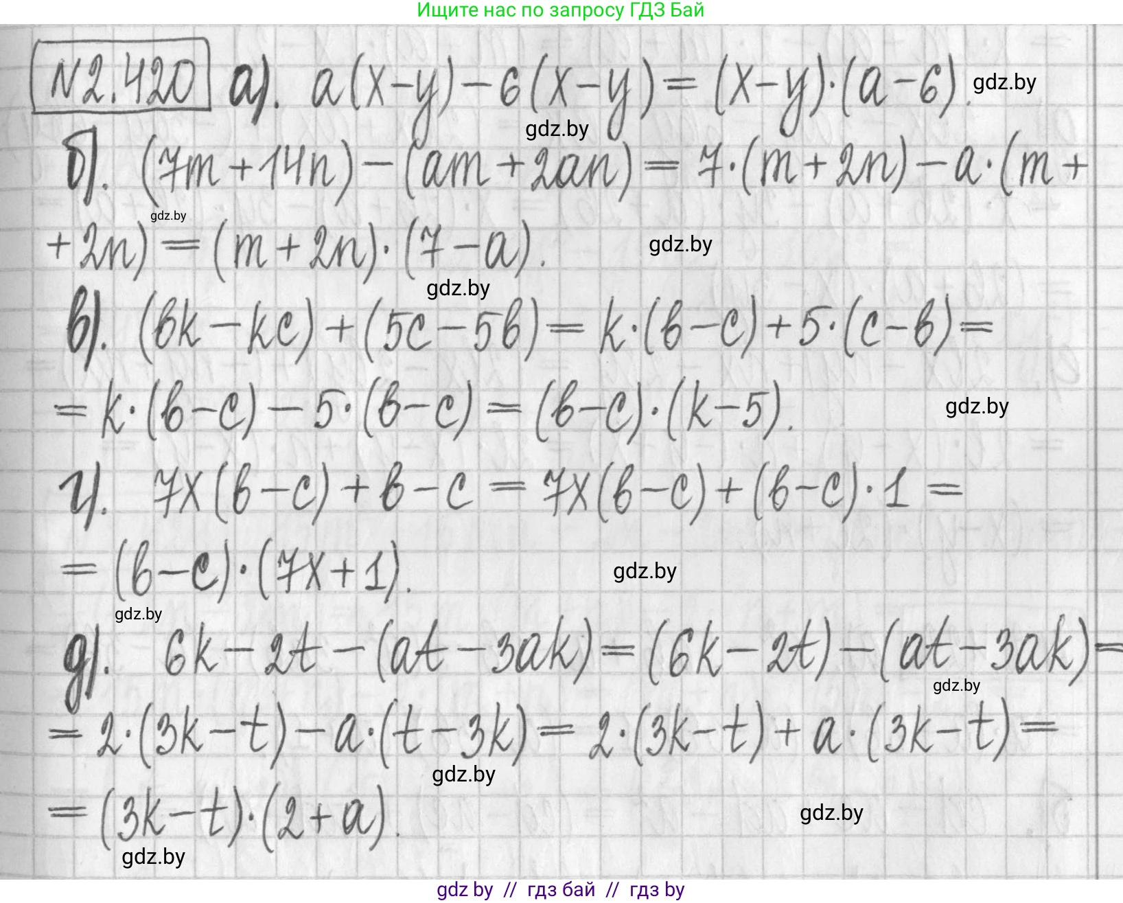
2.420. Вынесите общий множитель за скобки:

а) $a(x - y) - 6(x - y);$

б) $(7m + 14n) - (am + 2an);$

в) $(bk - kc) + (5c - 5b);$

г) $7x(b - c) + b - c;$

д) $6k - 2t - (at - 3ak).$

Решение. №2.420 (с. 138)
Алгебра, 7 класс Учебник, авторы: Арефьева Ирина Глебовна, Пирютко Ольга Николаевна, издательство Народная асвета, Минск, 2022, зелёного цвета, страница 138, номер 2.420, Решение
Решение 2. №2.420 (с. 138)

а) Исходное выражение: $a(x - y) - 6(x - y)$.
В данном выражении мы видим, что оба члена, $a(x - y)$ и $-6(x - y)$, имеют общий множитель в виде выражения $(x - y)$. Вынесем этот общий множитель за скобки. От первого члена в скобках останется $a$, а от второго — $-6$.

$a(x - y) - 6(x - y) = (x - y)(a - 6)$.

Ответ: $(x - y)(a - 6)$

б) Исходное выражение: $(7m + 14n) - (am + 2an)$.
Сначала необходимо вынести общие множители из каждой скобки по отдельности.

Шаг 1: В первой скобке $(7m + 14n)$ общим множителем является число 7. Выносим его: $7(m + 2n)$.

Шаг 2: Во второй скобке $(am + 2an)$ общим множителем является переменная $a$. Выносим ее: $a(m + 2n)$.

Шаг 3: Теперь исходное выражение можно переписать в виде: $7(m + 2n) - a(m + 2n)$.

Шаг 4: В полученном выражении общим множителем является $(m + 2n)$. Вынесем его за скобки.

$(m + 2n)(7 - a)$.

Ответ: $(m + 2n)(7 - a)$

в) Исходное выражение: $(bk - kc) + (5c - 5b)$.
Вынесем общие множители из каждой скобки.

Шаг 1: Из первой скобки $(bk - kc)$ выносим общий множитель $k$: $k(b - c)$.

Шаг 2: Из второй скобки $(5c - 5b)$ выносим общий множитель 5: $5(c - b)$.

Шаг 3: Выражение принимает вид: $k(b - c) + 5(c - b)$.

Шаг 4: Заметим, что выражения в скобках $(b - c)$ и $(c - b)$ отличаются только знаком, т.е. $(c - b) = -(b - c)$. Подставим это в выражение: $k(b - c) + 5(-(b - c)) = k(b - c) - 5(b - c)$.

Шаг 5: Теперь у нас есть общий множитель $(b - c)$, который можно вынести за скобки.

$(b - c)(k - 5)$.

Ответ: $(b - c)(k - 5)$

г) Исходное выражение: $7x(b - c) + b - c$.
Чтобы увидеть общий множитель, представим вторую часть выражения $b - c$ как произведение $1 \cdot (b - c)$.

$7x(b - c) + 1 \cdot (b - c)$.

Теперь очевидно, что общий множитель — это $(b - c)$. Вынесем его за скобки. От первого слагаемого останется $7x$, а от второго — $+1$.

$(b - c)(7x + 1)$.

Ответ: $(b - c)(7x + 1)$

д) Исходное выражение: $6k - 2t - (at - 3ak)$.
Для решения этой задачи применим метод группировки.

Шаг 1: Раскроем скобки. Так как перед скобкой стоит знак минус, знаки всех членов внутри скобок меняются на противоположные.

$6k - 2t - at + 3ak$.

Шаг 2: Сгруппируем слагаемые. Можно сгруппировать члены, содержащие переменную $k$, и члены, содержащие переменную $t$.

$(6k + 3ak) + (-2t - at)$.

Шаг 3: Вынесем общий множитель из каждой группы.

Из первой группы $(6k + 3ak)$ выносим $3k$: $3k(2 + a)$.
Из второй группы $(-2t - at)$ выносим $-t$: $-t(2 + a)$.

Шаг 4: Выражение принимает вид: $3k(2 + a) - t(2 + a)$.

Шаг 5: Теперь мы видим общий множитель $(2 + a)$. Вынесем его за скобки.

$(2 + a)(3k - t)$.

Ответ: $(a + 2)(3k - t)$

Помогло решение? Оставьте отзыв в комментариях ниже.

Присоединяйтесь к Телеграм-группе @gdz_by_belarus

Присоединиться

Мы подготовили для вас ответ c подробным объяснением домашего задания по алгебре за 7 класс, для упражнения номер 2.420 расположенного на странице 138 к учебнику 2022 года издания для учащихся школ и гимназий.

Теперь на нашем сайте ГДЗ.ТОП вы всегда легко и бесплатно найдёте условие с правильным ответом на вопрос «Как решить ДЗ» и «Как сделать» задание по алгебре к упражнению №2.420 (с. 138), авторов: Арефьева (Ирина Глебовна), Пирютко (Ольга Николаевна), учебного пособия издательства Народная асвета.