Номер 2.421, страница 138 - гдз по алгебре 7 класс учебник Арефьева, Пирютко

Алгебра, 7 класс Учебник, авторы: Арефьева Ирина Глебовна, Пирютко Ольга Николаевна, издательство Народная асвета, Минск, 2022, зелёного цвета

Авторы: Арефьева И. Г., Пирютко О. Н.

Тип: Учебник

Издательство: Народная асвета

Год издания: 2022 - 2025

Цвет обложки: зелёный с графиком

ISBN: ISBN 978-985-03-3770-2

Допущено Министерством образования Республики Беларусь

Популярные ГДЗ в 7 классе

Глава 2. Выражения и их преобразования. Параграф 14. Разложение многочлена на множители - номер 2.421, страница 138.

№2.421 (с. 138)
Условие. №2.421 (с. 138)
скриншот условия
Алгебра, 7 класс Учебник, авторы: Арефьева Ирина Глебовна, Пирютко Ольга Николаевна, издательство Народная асвета, Минск, 2022, зелёного цвета, страница 138, номер 2.421, Условие

2.421. Используя способ группировки, разложите многочлен на множители:

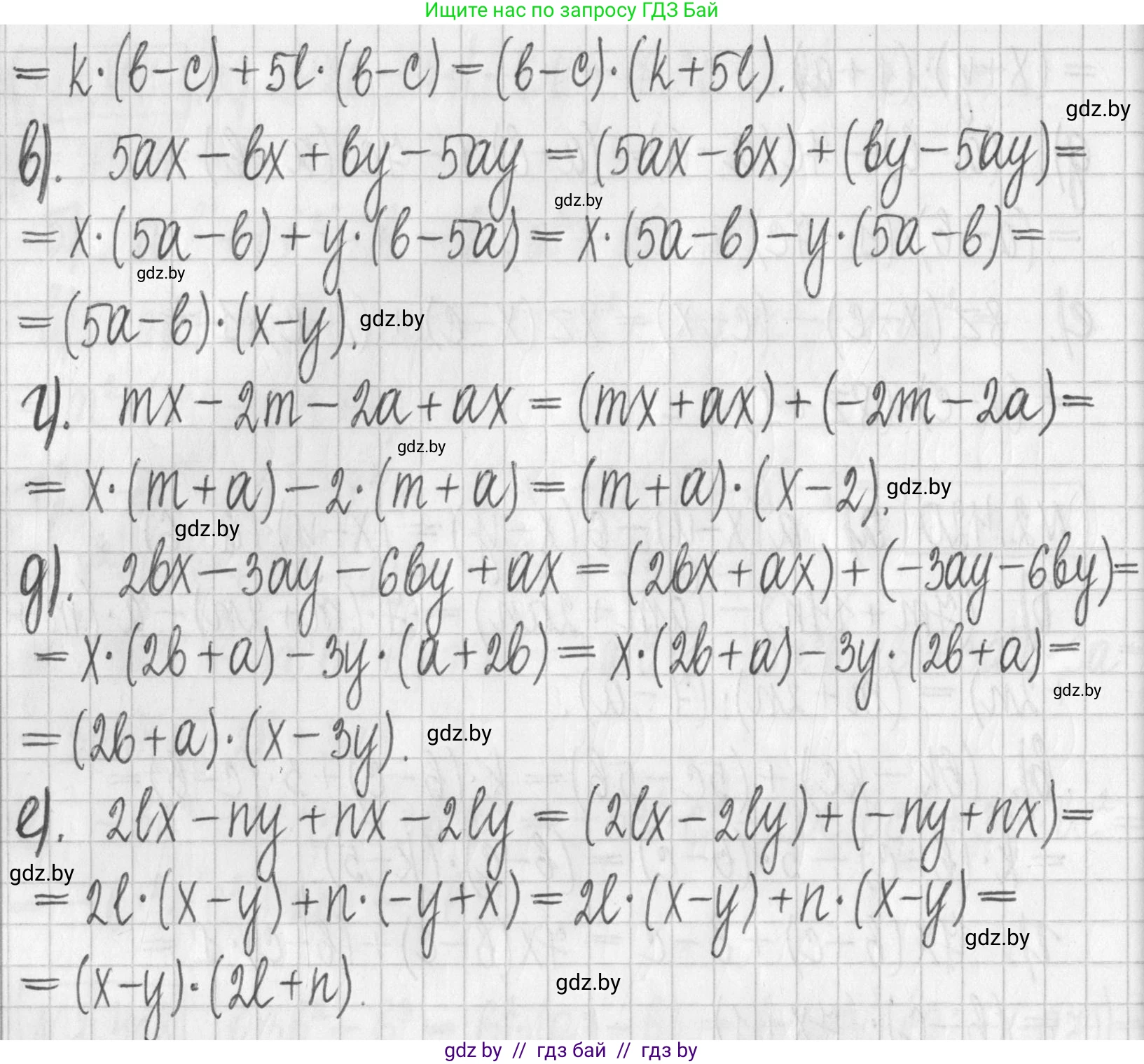
а) $ac + ad + 3bd + 3bc;$

б) $bk - ck + 5bl - 5cl;$

в) $5ax - bx + by - 5ay;$

г) $mx - 2m - 2a + ax;$

д) $2bx - 3ay - 6by + ax;$

е) $2lx - ny + nx - 2ly.$

Решение. №2.421 (с. 138)
Алгебра, 7 класс Учебник, авторы: Арефьева Ирина Глебовна, Пирютко Ольга Николаевна, издательство Народная асвета, Минск, 2022, зелёного цвета, страница 138, номер 2.421, Решение Алгебра, 7 класс Учебник, авторы: Арефьева Ирина Глебовна, Пирютко Ольга Николаевна, издательство Народная асвета, Минск, 2022, зелёного цвета, страница 138, номер 2.421, Решение (продолжение 2)
Решение 2. №2.421 (с. 138)

Для разложения многочленов на множители используется метод группировки, который состоит из следующих шагов:

  1. Объединить члены многочлена в группы так, чтобы у членов в каждой группе был общий множитель.
  2. Вынести общий множитель за скобки в каждой группе.
  3. Вынести за скобки общий для всех групп множитель (который сам является многочленом).

а) $ac + ad + 3bd + 3bc$
Сгруппируем попарно члены многочлена: $(ac + ad) + (3bc + 3bd)$.
Вынесем общие множители из каждой группы: $a$ из первой и $3b$ из второй.
$a(c + d) + 3b(c + d)$
Теперь у обеих групп есть общий множитель $(c + d)$, который мы также выносим за скобки:
$(a + 3b)(c + d)$
Ответ: $(a + 3b)(c + d)$

б) $bk - ck + 5bl - 5cl$
Сгруппируем члены: $(bk - ck) + (5bl - 5cl)$.
Вынесем общие множители из каждой группы: $k$ из первой и $5l$ из второй.
$k(b - c) + 5l(b - c)$
Вынесем общий множитель $(b - c)$ за скобки:
$(b - c)(k + 5l)$
Ответ: $(b - c)(k + 5l)$

в) $5ax - bx + by - 5ay$
Сгруппируем первый член с четвертым, а второй с третьим: $(5ax - 5ay) + (-bx + by)$.
Вынесем общие множители из каждой группы: $5a$ из первой и $-b$ из второй (при вынесении $-b$ знаки в скобках меняются на противоположные).
$5a(x - y) - b(x - y)$
Вынесем общий множитель $(x - y)$ за скобки:
$(5a - b)(x - y)$
Ответ: $(5a - b)(x - y)$

г) $mx - 2m - 2a + ax$
Перегруппируем члены для удобства: $(mx - 2m) + (ax - 2a)$.
Вынесем общие множители из каждой группы: $m$ из первой и $a$ из второй.
$m(x - 2) + a(x - 2)$
Вынесем общий множитель $(x - 2)$ за скобки:
$(m + a)(x - 2)$
Ответ: $(m + a)(x - 2)$

д) $2bx - 3ay - 6by + ax$
Перегруппируем члены, сгруппировав члены с переменной $x$ и члены с переменной $y$: $(2bx + ax) + (-6by - 3ay)$.
Вынесем общие множители из каждой группы: $x$ из первой и $-3y$ из второй.
$x(2b + a) - 3y(2b + a)$
Вынесем общий множитель $(2b + a)$ за скобки:
$(2b + a)(x - 3y)$
Ответ: $(a + 2b)(x - 3y)$

е) $2lx - ny + nx - 2ly$
Перегруппируем члены: $(2lx + nx) + (-2ly - ny)$.
Вынесем общие множители из каждой группы: $x$ из первой и $-y$ из второй.
$x(2l + n) - y(2l + n)$
Вынесем общий множитель $(2l + n)$ за скобки:
$(2l + n)(x - y)$
Ответ: $(2l + n)(x - y)$

Помогло решение? Оставьте отзыв в комментариях ниже.

Присоединяйтесь к Телеграм-группе @gdz_by_belarus

Присоединиться

Мы подготовили для вас ответ c подробным объяснением домашего задания по алгебре за 7 класс, для упражнения номер 2.421 расположенного на странице 138 к учебнику 2022 года издания для учащихся школ и гимназий.

Теперь на нашем сайте ГДЗ.ТОП вы всегда легко и бесплатно найдёте условие с правильным ответом на вопрос «Как решить ДЗ» и «Как сделать» задание по алгебре к упражнению №2.421 (с. 138), авторов: Арефьева (Ирина Глебовна), Пирютко (Ольга Николаевна), учебного пособия издательства Народная асвета.