Номер 3.172, страница 187 - гдз по алгебре 7 класс учебник Арефьева, Пирютко

Алгебра, 7 класс Учебник, авторы: Арефьева Ирина Глебовна, Пирютко Ольга Николаевна, издательство Народная асвета, Минск, 2022, зелёного цвета

Авторы: Арефьева И. Г., Пирютко О. Н.

Тип: Учебник

Издательство: Народная асвета

Год издания: 2022 - 2025

Цвет обложки: зелёный с графиком

ISBN: ISBN 978-985-03-3770-2

Допущено Министерством образования Республики Беларусь

Популярные ГДЗ в 7 классе

Глава 3. Линейные уравнения. Линейные неравенства. Линейная функция. Параграф 17. Числовые неравенства - номер 3.172, страница 187.

№3.172 (с. 187)
Условие. №3.172 (с. 187)
скриншот условия
Алгебра, 7 класс Учебник, авторы: Арефьева Ирина Глебовна, Пирютко Ольга Николаевна, издательство Народная асвета, Минск, 2022, зелёного цвета, страница 187, номер 3.172, Условие

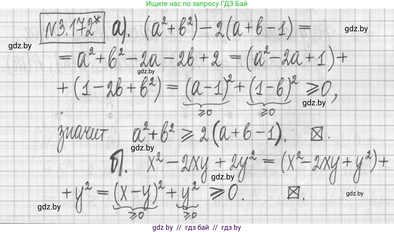
3.172*. Докажите неравенство:

a) $a^2 + b^2 \ge 2(a+b-1)$;

б) $x^2 - 2xy + 2y^2 \ge 0$.

Решение. №3.172 (с. 187)
Алгебра, 7 класс Учебник, авторы: Арефьева Ирина Глебовна, Пирютко Ольга Николаевна, издательство Народная асвета, Минск, 2022, зелёного цвета, страница 187, номер 3.172, Решение
Решение 2. №3.172 (с. 187)

Доказательство неравенств

а) Докажите неравенство $a^2 + b^2 \ge 2(a + b - 1)$

Для доказательства перенесем все члены из правой части неравенства в левую, изменив их знаки на противоположные:

$a^2 + b^2 - 2(a + b - 1) \ge 0$

Раскроем скобки в левой части:

$a^2 + b^2 - 2a - 2b + 2 \ge 0$

Теперь сгруппируем слагаемые таким образом, чтобы можно было выделить полные квадраты. Для этого представим число $2$ как $1 + 1$:

$(a^2 - 2a + 1) + (b^2 - 2b + 1) \ge 0$

Каждое из выражений в скобках является полным квадратом разности согласно формуле $(x-y)^2 = x^2 - 2xy + y^2$. Свернем их:

$(a - 1)^2 + (b - 1)^2 \ge 0$

Это неравенство является истинным для любых действительных чисел $a$ и $b$, потому что:

  • Квадрат любого действительного числа неотрицателен, то есть $(a - 1)^2 \ge 0$.
  • Аналогично, $(b - 1)^2 \ge 0$.
  • Сумма двух неотрицательных чисел также всегда неотрицательна.

Поскольку все преобразования были равносильными, мы доказали, что исходное неравенство верно.

Ответ: Неравенство доказано.


б) Докажите неравенство $x^2 - 2xy + 2y^2 \ge 0$

Для доказательства преобразуем левую часть неравенства. Представим слагаемое $2y^2$ в виде суммы $y^2 + y^2$:

$x^2 - 2xy + y^2 + y^2 \ge 0$

Сгруппируем первые три члена. Они представляют собой формулу квадрата разности:

$(x^2 - 2xy + y^2) + y^2 \ge 0$

Свернем выражение в скобках:

$(x - y)^2 + y^2 \ge 0$

Полученное неравенство всегда верно для любых действительных чисел $x$ и $y$, так как:

  • $(x-y)^2$ является квадратом числа и, следовательно, $(x-y)^2 \ge 0$.
  • $y^2$ также является квадратом числа и $y^2 \ge 0$.
  • Сумма двух неотрицательных слагаемых $((x-y)^2$ и $y^2$) всегда неотрицательна.

Таким образом, исходное неравенство доказано.

Ответ: Неравенство доказано.

Помогло решение? Оставьте отзыв в комментариях ниже.

Присоединяйтесь к Телеграм-группе @gdz_by_belarus

Присоединиться

Мы подготовили для вас ответ c подробным объяснением домашего задания по алгебре за 7 класс, для упражнения номер 3.172 расположенного на странице 187 к учебнику 2022 года издания для учащихся школ и гимназий.

Теперь на нашем сайте ГДЗ.ТОП вы всегда легко и бесплатно найдёте условие с правильным ответом на вопрос «Как решить ДЗ» и «Как сделать» задание по алгебре к упражнению №3.172 (с. 187), авторов: Арефьева (Ирина Глебовна), Пирютко (Ольга Николаевна), учебного пособия издательства Народная асвета.