Номер 3.252, страница 203 - гдз по алгебре 7 класс учебник Арефьева, Пирютко

Алгебра, 7 класс Учебник, авторы: Арефьева Ирина Глебовна, Пирютко Ольга Николаевна, издательство Народная асвета, Минск, 2022, зелёного цвета

Авторы: Арефьева И. Г., Пирютко О. Н.

Тип: Учебник

Издательство: Народная асвета

Год издания: 2022 - 2025

Цвет обложки: зелёный с графиком

ISBN: ISBN 978-985-03-3770-2

Допущено Министерством образования Республики Беларусь

Популярные ГДЗ в 7 классе

Глава 3. Линейные уравнения. Линейные неравенства. Линейная функция. Параграф 18. Линейные неравенства с одной переменной - номер 3.252, страница 203.

№3.252 (с. 203)
Условие. №3.252 (с. 203)
скриншот условия
Алгебра, 7 класс Учебник, авторы: Арефьева Ирина Глебовна, Пирютко Ольга Николаевна, издательство Народная асвета, Минск, 2022, зелёного цвета, страница 203, номер 3.252, Условие

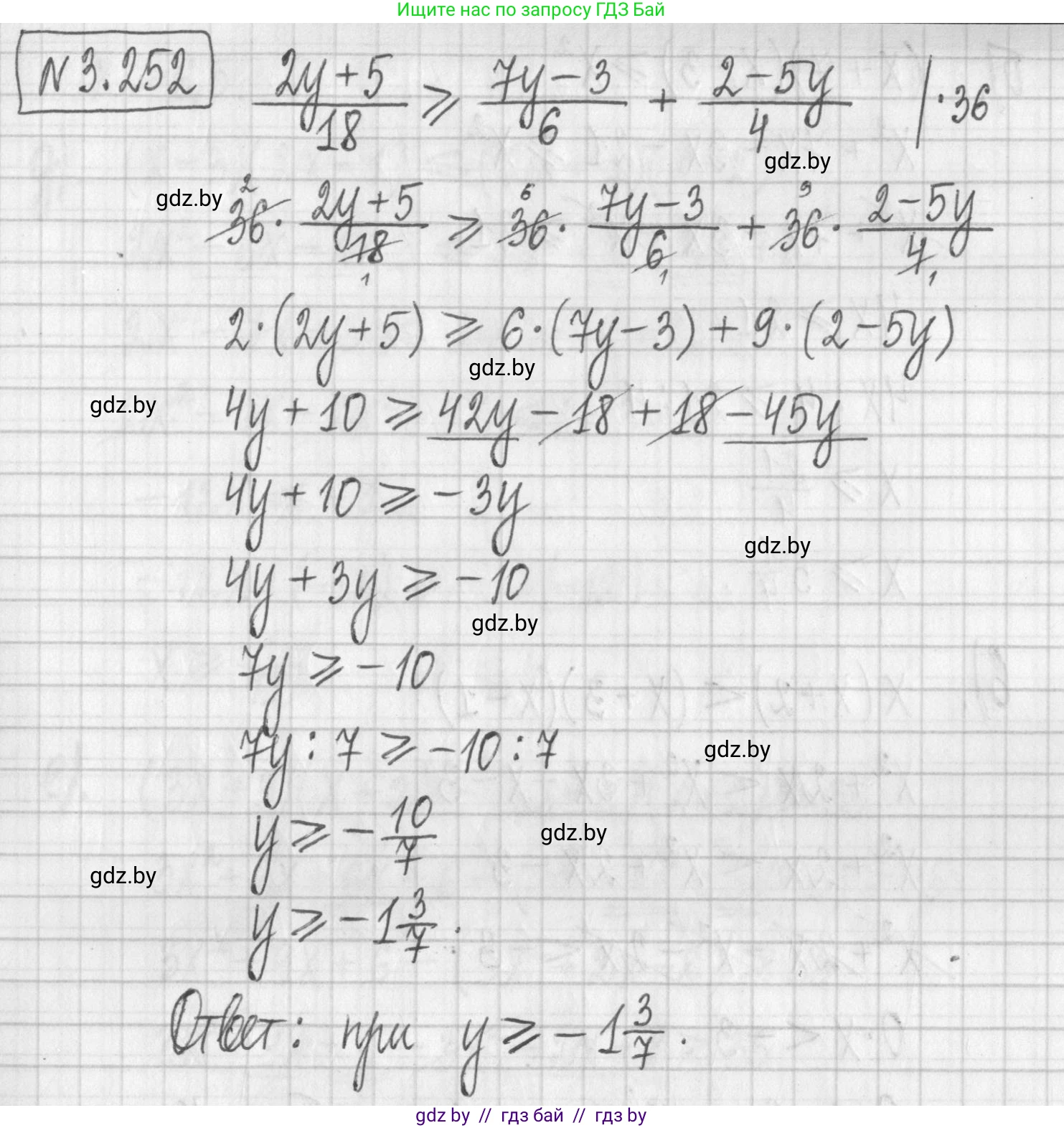
3.252. Найдите, при каких значениях переменной $y$ значение дроби $\frac{2y+5}{18}$ не меньше значения суммы дробей $\frac{7y-3}{6}$ и $\frac{2-5y}{4}$.

Решение. №3.252 (с. 203)
Алгебра, 7 класс Учебник, авторы: Арефьева Ирина Глебовна, Пирютко Ольга Николаевна, издательство Народная асвета, Минск, 2022, зелёного цвета, страница 203, номер 3.252, Решение
Решение 2. №3.252 (с. 203)

Для решения задачи составим неравенство в соответствии с условием. Фраза "не меньше" означает "больше или равно" ($\ge$).

$\frac{2y + 5}{18} \ge \frac{7y - 3}{6} + \frac{2 - 5y}{4}$

Приведем дроби к общему знаменателю. Наименьшее общее кратное для знаменателей 18, 6 и 4 равно 36. Умножим обе части неравенства на 36, чтобы избавиться от дробей. Так как 36 — положительное число, знак неравенства не изменится.

$36 \cdot \frac{2y + 5}{18} \ge 36 \cdot \left( \frac{7y - 3}{6} + \frac{2 - 5y}{4} \right)$

$36 \cdot \frac{2y + 5}{18} \ge 36 \cdot \frac{7y - 3}{6} + 36 \cdot \frac{2 - 5y}{4}$

Выполним сокращение дробей:

$2 \cdot (2y + 5) \ge 6 \cdot (7y - 3) + 9 \cdot (2 - 5y)$

Раскроем скобки в обеих частях неравенства:

$4y + 10 \ge 42y - 18 + 18 - 45y$

Приведем подобные слагаемые в правой части:

$4y + 10 \ge -3y$

Перенесем слагаемые с переменной $y$ в левую часть, а свободные члены (числа) — в правую. При переносе слагаемых через знак неравенства их знак меняется на противоположный.

$4y + 3y \ge -10$

$7y \ge -10$

Разделим обе части неравенства на 7. Так как мы делим на положительное число, знак неравенства сохраняется.

$y \ge -\frac{10}{7}$

По условию, необходимо выделить целую часть из неправильной дроби. Преобразуем дробь $-\frac{10}{7}$ в смешанное число:

$-\frac{10}{7} = -1\frac{3}{7}$

Таким образом, искомые значения переменной $y$ удовлетворяют неравенству:

$y \ge -1\frac{3}{7}$

Ответ: $y \ge -1\frac{3}{7}$.

Помогло решение? Оставьте отзыв в комментариях ниже.

Присоединяйтесь к Телеграм-группе @gdz_by_belarus

Присоединиться

Мы подготовили для вас ответ c подробным объяснением домашего задания по алгебре за 7 класс, для упражнения номер 3.252 расположенного на странице 203 к учебнику 2022 года издания для учащихся школ и гимназий.

Теперь на нашем сайте ГДЗ.ТОП вы всегда легко и бесплатно найдёте условие с правильным ответом на вопрос «Как решить ДЗ» и «Как сделать» задание по алгебре к упражнению №3.252 (с. 203), авторов: Арефьева (Ирина Глебовна), Пирютко (Ольга Николаевна), учебного пособия издательства Народная асвета.