Номер 3.367, страница 247 - гдз по алгебре 7 класс учебник Арефьева, Пирютко

Алгебра, 7 класс Учебник, авторы: Арефьева Ирина Глебовна, Пирютко Ольга Николаевна, издательство Народная асвета, Минск, 2022, зелёного цвета

Авторы: Арефьева И. Г., Пирютко О. Н.

Тип: Учебник

Издательство: Народная асвета

Год издания: 2022 - 2025

Цвет обложки: зелёный с графиком

ISBN: ISBN 978-985-03-3770-2

Допущено Министерством образования Республики Беларусь

Популярные ГДЗ в 7 классе

Глава 3. Линейные уравнения. Линейные неравенства. Линейная функция. Параграф 20. Линейная функция и ее свойства - номер 3.367, страница 247.

№3.367 (с. 247)
Условие. №3.367 (с. 247)
скриншот условия
Алгебра, 7 класс Учебник, авторы: Арефьева Ирина Глебовна, Пирютко Ольга Николаевна, издательство Народная асвета, Минск, 2022, зелёного цвета, страница 247, номер 3.367, Условие

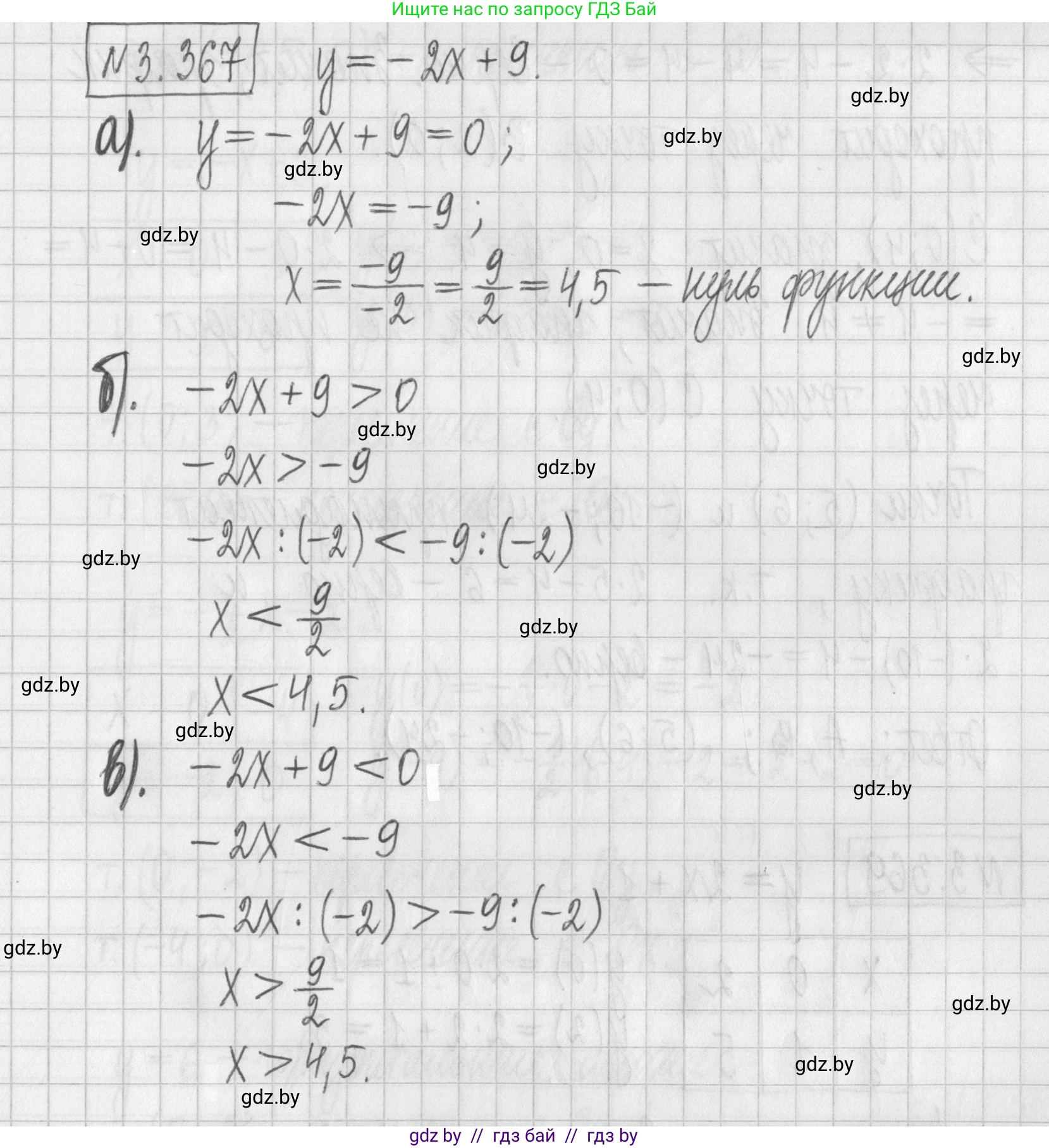
3.367. Для функции $y=-2x+9$ найдите:

а) нуль функции;

б) значения аргумента, при которых функция принимает положительные значения;

в) значения аргумента, при которых функция принимает отрицательные значения.

Решение. №3.367 (с. 247)
Алгебра, 7 класс Учебник, авторы: Арефьева Ирина Глебовна, Пирютко Ольга Николаевна, издательство Народная асвета, Минск, 2022, зелёного цвета, страница 247, номер 3.367, Решение
Решение 2. №3.367 (с. 247)

а) нуль функции;
Нуль функции — это значение аргумента $x$, при котором значение функции $y$ равно нулю. Чтобы найти его, необходимо решить уравнение $y = 0$. $$-2x + 9 = 0$$ Переносим 9 в правую часть уравнения, изменяя знак: $$-2x = -9$$ Делим обе части уравнения на -2: $$x = \frac{-9}{-2} = \frac{9}{2}$$ Преобразуем неправильную дробь $\frac{9}{2}$ в смешанное число, выделяя целую часть: $$x = 4\frac{1}{2}$$ Ответ: $\mathbf{4}\frac{1}{2}$.

б) значения аргумента, при которых функция принимает положительные значения;
Функция принимает положительные значения, когда $y > 0$. Для нахождения этих значений аргумента $x$ решим неравенство: $$-2x + 9 > 0$$ Переносим 9 в правую часть неравенства: $$-2x > -9$$ Делим обе части неравенства на -2. При делении на отрицательное число знак неравенства меняется на противоположный: $$x < \frac{-9}{-2}$$ $$x < \frac{9}{2}$$ $$x < 4\frac{1}{2}$$ Таким образом, функция положительна, когда $x$ меньше $4\frac{1}{2}$. Ответ: при $x < \mathbf{4}\frac{1}{2}$.

в) значения аргумента, при которых функция принимает отрицательные значения.
Функция принимает отрицательные значения, когда $y < 0$. Для нахождения этих значений аргумента $x$ решим неравенство: $$-2x + 9 < 0$$ Переносим 9 в правую часть неравенства: $$-2x < -9$$ Делим обе части неравенства на -2, меняя знак неравенства на противоположный: $$x > \frac{-9}{-2}$$ $$x > \frac{9}{2}$$ $$x > 4\frac{1}{2}$$ Таким образом, функция отрицательна, когда $x$ больше $4\frac{1}{2}$. Ответ: при $x > \mathbf{4}\frac{1}{2}$.

Помогло решение? Оставьте отзыв в комментариях ниже.

Присоединяйтесь к Телеграм-группе @gdz_by_belarus

Присоединиться

Мы подготовили для вас ответ c подробным объяснением домашего задания по алгебре за 7 класс, для упражнения номер 3.367 расположенного на странице 247 к учебнику 2022 года издания для учащихся школ и гимназий.

Теперь на нашем сайте ГДЗ.ТОП вы всегда легко и бесплатно найдёте условие с правильным ответом на вопрос «Как решить ДЗ» и «Как сделать» задание по алгебре к упражнению №3.367 (с. 247), авторов: Арефьева (Ирина Глебовна), Пирютко (Ольга Николаевна), учебного пособия издательства Народная асвета.