Номер 3.370, страница 247 - гдз по алгебре 7 класс учебник Арефьева, Пирютко

Алгебра, 7 класс Учебник, авторы: Арефьева Ирина Глебовна, Пирютко Ольга Николаевна, издательство Народная асвета, Минск, 2022, зелёного цвета

Авторы: Арефьева И. Г., Пирютко О. Н.

Тип: Учебник

Издательство: Народная асвета

Год издания: 2022 - 2025

Цвет обложки: зелёный с графиком

ISBN: ISBN 978-985-03-3770-2

Допущено Министерством образования Республики Беларусь

Популярные ГДЗ в 7 классе

Глава 3. Линейные уравнения. Линейные неравенства. Линейная функция. Параграф 20. Линейная функция и ее свойства - номер 3.370, страница 247.

№3.370 (с. 247)
Условие. №3.370 (с. 247)
скриншот условия
Алгебра, 7 класс Учебник, авторы: Арефьева Ирина Глебовна, Пирютко Ольга Николаевна, издательство Народная асвета, Минск, 2022, зелёного цвета, страница 247, номер 3.370, Условие

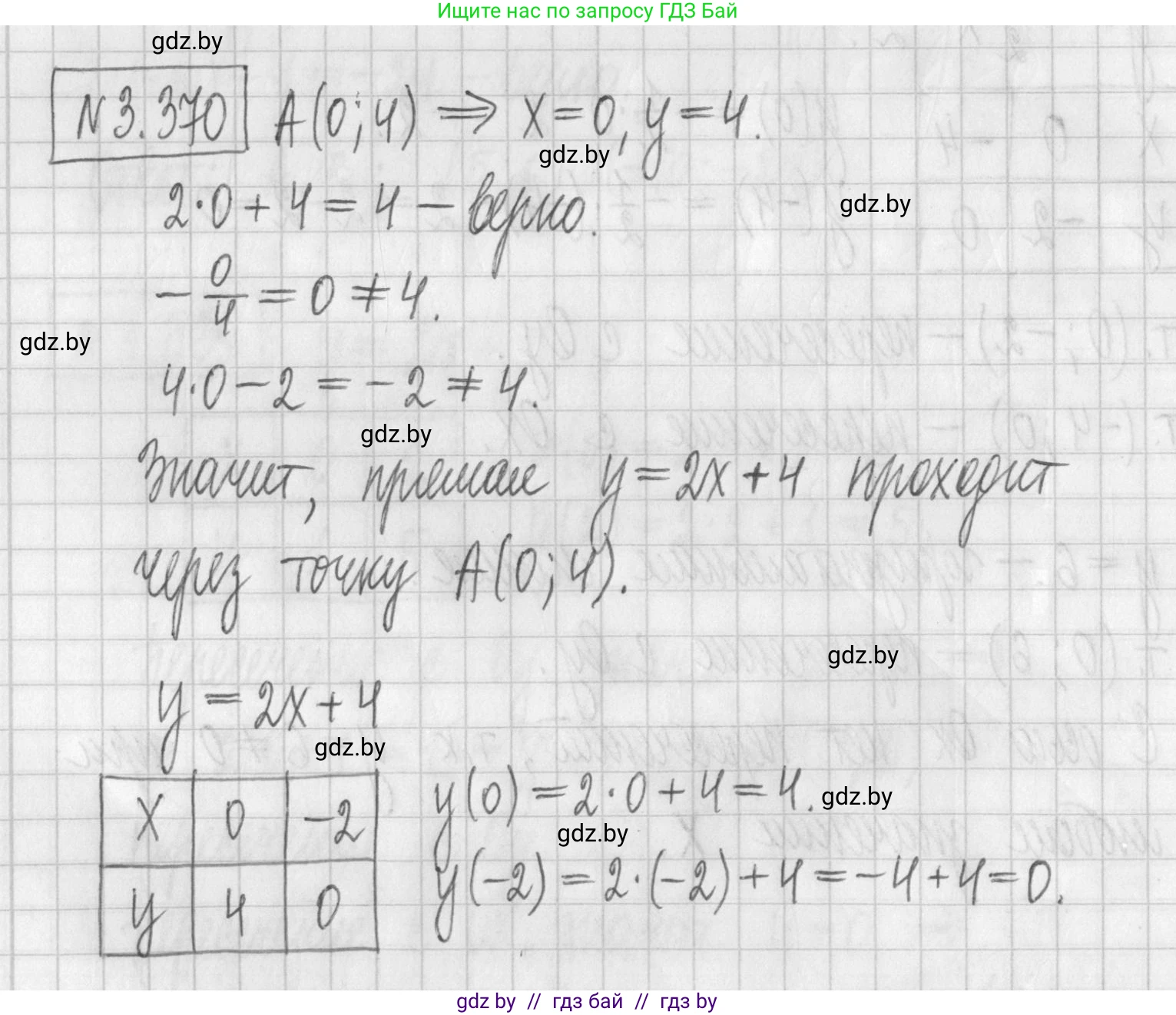
3.370. Какая из прямых $y = 2x + 4$; $y = -\frac{x}{4}$; $y = 4x - 2$ проходит через точку $A(0; 4)$? Постройте эту прямую. Пользуясь графиком, найдите, при каких значениях аргумента соответствующая функция принимает положительные значения.

Решение. №3.370 (с. 247)
Алгебра, 7 класс Учебник, авторы: Арефьева Ирина Глебовна, Пирютко Ольга Николаевна, издательство Народная асвета, Минск, 2022, зелёного цвета, страница 247, номер 3.370, Решение Алгебра, 7 класс Учебник, авторы: Арефьева Ирина Глебовна, Пирютко Ольга Николаевна, издательство Народная асвета, Минск, 2022, зелёного цвета, страница 247, номер 3.370, Решение (продолжение 2)
Решение 2. №3.370 (с. 247)

Даны три уравнения прямых: $y=2x+4$; $y=-\frac{x}{4}$; $y=4x-2$ и точка $A(0; 4)$.

Какая из прямых y=2x+4; y=-x/4; y=4x-2 проходит через точку А(0; 4)?

Чтобы проверить, проходит ли прямая через точку, необходимо подставить координаты точки $A(0; 4)$ (где $x=0$, а $y=4$) в каждое из уравнений.

  • Проверка для $y=2x+4$:
    $4 = 2 \cdot 0 + 4$
    $4 = 0 + 4$
    $4 = 4$ (Верно)
  • Проверка для $y=-\frac{x}{4}$:
    $4 = -\frac{0}{4}$
    $4 = 0$ (Неверно)
  • Проверка для $y=4x-2$:
    $4 = 4 \cdot 0 - 2$
    $4 = 0 - 2$
    $4 = -2$ (Неверно)

Следовательно, только прямая $y=2x+4$ проходит через точку $A(0; 4)$.

Ответ: $y=2x+4$.

Постройте эту прямую.

Для построения прямой $y=2x+4$ достаточно найти координаты двух любых точек, принадлежащих этой прямой.

  1. Первая точка уже известна из условия — это точка $A(0; 4)$. Эта точка является точкой пересечения прямой с осью ординат (OY).
  2. Для нахождения второй точки найдем точку пересечения прямой с осью абсцисс (OX). Для этого приравняем $y$ к нулю и найдем соответствующее значение $x$:
    $0 = 2x+4$
    $2x = -4$
    $x = -2$
    Таким образом, вторая точка — $B(-2; 0)$.

Отметив на координатной плоскости точки $A(0; 4)$ и $B(-2; 0)$ и соединив их прямой линией, мы получим график функции $y=2x+4$.

Ответ: Прямая строится по точкам с координатами $(0; 4)$ и $(-2; 0)$.

Пользуясь графиком, найдите, при каких значениях аргумента соответствующая функция принимает положительные значения.

Функция принимает положительные значения ($y > 0$), когда ее график расположен выше оси абсцисс (OX).

Из построенного графика видно, что прямая $y=2x+4$ находится выше оси OX справа от точки ее пересечения с этой осью.

Точка пересечения с осью OX имеет координаты $(-2; 0)$.

Следовательно, функция принимает положительные значения при всех значениях $x$, которые больше $-2$.

Ответ: Функция принимает положительные значения при $x > -2$.

Помогло решение? Оставьте отзыв в комментариях ниже.

Присоединяйтесь к Телеграм-группе @gdz_by_belarus

Присоединиться

Мы подготовили для вас ответ c подробным объяснением домашего задания по алгебре за 7 класс, для упражнения номер 3.370 расположенного на странице 247 к учебнику 2022 года издания для учащихся школ и гимназий.

Теперь на нашем сайте ГДЗ.ТОП вы всегда легко и бесплатно найдёте условие с правильным ответом на вопрос «Как решить ДЗ» и «Как сделать» задание по алгебре к упражнению №3.370 (с. 247), авторов: Арефьева (Ирина Глебовна), Пирютко (Ольга Николаевна), учебного пособия издательства Народная асвета.