Номер 1.238, страница 61 - гдз по алгебре 8 класс учебник Арефьева, Пирютко

Алгебра, 8 класс Учебник, авторы: Арефьева Ирина Глебовна, Пирютко Ольга Николаевна, издательство Адукацыя i выхаванне, Минск, 2024, бирюзового цвета

Авторы: Арефьева И. Г., Пирютко О. Н.

Тип: Учебник

Издательство: Адукацыя i выхаванне

Год издания: 2024 - 2025

Цвет обложки: бирюзовый с графиком

ISBN: ISBN 978-985-03-4081-8

Допущено Министерством образования Республики Беларусь

Популярные ГДЗ в 8 классе

Глава 1. Квадратные корни и их свойства. Действительные числа. Параграф 4. Применение свойств квадратных корней - номер 1.238, страница 61.

№1.238 (с. 61)
Условие. №1.238 (с. 61)
скриншот условия
Алгебра, 8 класс Учебник, авторы: Арефьева Ирина Глебовна, Пирютко Ольга Николаевна, издательство Адукацыя i выхаванне, Минск, 2024, бирюзового цвета, страница 61, номер 1.238, Условие

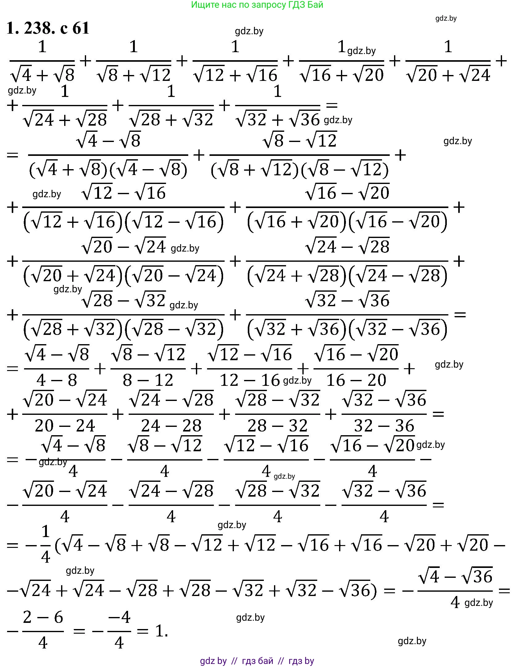
1.238. Вычислите:

$\frac{1}{\sqrt{4}+\sqrt{8}} + \frac{1}{\sqrt{8}+\sqrt{12}} + \frac{1}{\sqrt{12}+\sqrt{16}} + \frac{1}{\sqrt{16}+\sqrt{20}} + \frac{1}{\sqrt{20}+\sqrt{24}} + \frac{1}{\sqrt{24}+\sqrt{28}} + \frac{1}{\sqrt{28}+\sqrt{32}} + \frac{1}{\sqrt{32}+\sqrt{36}}$

Решение. №1.238 (с. 61)
Алгебра, 8 класс Учебник, авторы: Арефьева Ирина Глебовна, Пирютко Ольга Николаевна, издательство Адукацыя i выхаванне, Минск, 2024, бирюзового цвета, страница 61, номер 1.238, Решение
Решение 2. №1.238 (с. 61)

Для вычисления значения данного выражения необходимо преобразовать каждое слагаемое. Заметим, что все слагаемые имеют вид $ \frac{1}{\sqrt{a} + \sqrt{b}} $, где разность подкоренных выражений $b-a=4$. Для упрощения таких дробей используется метод умножения числителя и знаменателя на сопряженное выражение знаменателя.

Рассмотрим общий вид слагаемого в данной сумме $ \frac{1}{\sqrt{n} + \sqrt{n+4}} $. Чтобы избавиться от иррациональности в знаменателе, умножим числитель и знаменатель на сопряженное выражение $ \sqrt{n+4} - \sqrt{n} $:

$ \frac{1}{\sqrt{n} + \sqrt{n+4}} = \frac{1 \cdot (\sqrt{n+4} - \sqrt{n})}{(\sqrt{n} + \sqrt{n+4})(\sqrt{n+4} - \sqrt{n})} $

В знаменателе применяем формулу разности квадратов $(x+y)(x-y) = x^2 - y^2$:

$ (\sqrt{n+4})^2 - (\sqrt{n})^2 = (n+4) - n = 4 $

Таким образом, каждое слагаемое преобразуется к виду:

$ \frac{\sqrt{n+4} - \sqrt{n}}{4} $

Теперь применим это преобразование ко всем членам исходной суммы, которую обозначим как $S$:

$ S = \frac{1}{\sqrt{4}+\sqrt{8}} + \frac{1}{\sqrt{8}+\sqrt{12}} + \frac{1}{\sqrt{12}+\sqrt{16}} + \frac{1}{\sqrt{16}+\sqrt{20}} + \frac{1}{\sqrt{20}+\sqrt{24}} + \frac{1}{\sqrt{24}+\sqrt{28}} + \frac{1}{\sqrt{28}+\sqrt{32}} + \frac{1}{\sqrt{32}+\sqrt{36}} $

После преобразования каждого слагаемого сумма принимает вид:

$ S = \frac{\sqrt{8}-\sqrt{4}}{4} + \frac{\sqrt{12}-\sqrt{8}}{4} + \frac{\sqrt{16}-\sqrt{12}}{4} + \frac{\sqrt{20}-\sqrt{16}}{4} + \frac{\sqrt{24}-\sqrt{20}}{4} + \frac{\sqrt{28}-\sqrt{24}}{4} + \frac{\sqrt{32}-\sqrt{28}}{4} + \frac{\sqrt{36}-\sqrt{32}}{4} $

Вынесем общий знаменатель $4$ за скобки:

$ S = \frac{1}{4} \left( (\sqrt{8}-\sqrt{4}) + (\sqrt{12}-\sqrt{8}) + (\sqrt{16}-\sqrt{12}) + (\sqrt{20}-\sqrt{16}) + (\sqrt{24}-\sqrt{20}) + (\sqrt{28}-\sqrt{24}) + (\sqrt{32}-\sqrt{28}) + (\sqrt{36}-\sqrt{32}) \right) $

Полученная сумма является телескопической. Это означает, что все промежуточные слагаемые в скобках взаимно уничтожаются:

$ S = \frac{1}{4} ( -\sqrt{4} + \sqrt{8} - \sqrt{8} + \sqrt{12} - \sqrt{12} + \sqrt{16} - \sqrt{16} + \sqrt{20} - \sqrt{20} + \sqrt{24} - \sqrt{24} + \sqrt{28} - \sqrt{28} + \sqrt{32} - \sqrt{32} + \sqrt{36} ) $

После сокращения в скобках остаются только первый и последний члены:

$ S = \frac{1}{4} ( -\sqrt{4} + \sqrt{36} ) $

Подставляем значения корней $ \sqrt{4}=2 $ и $ \sqrt{36}=6 $ и вычисляем окончательный результат:

$ S = \frac{1}{4} (-2 + 6) = \frac{4}{4} = 1 $

1.238. Вычислите: Ответ: 1

Помогло решение? Оставьте отзыв в комментариях ниже.

Присоединяйтесь к Телеграм-группе @gdz_by_belarus

Присоединиться

Мы подготовили для вас ответ c подробным объяснением домашего задания по алгебре за 8 класс, для упражнения номер 1.238 расположенного на странице 61 к учебнику 2024 года издания для учащихся школ и гимназий.

Теперь на нашем сайте ГДЗ.ТОП вы всегда легко и бесплатно найдёте условие с правильным ответом на вопрос «Как решить ДЗ» и «Как сделать» задание по алгебре к упражнению №1.238 (с. 61), авторов: Арефьева (Ирина Глебовна), Пирютко (Ольга Николаевна), учебного пособия издательства Адукацыя i выхаванне.