Номер 1.32, страница 23 - гдз по алгебре 8 класс учебник Арефьева, Пирютко

Алгебра, 8 класс Учебник, авторы: Арефьева Ирина Глебовна, Пирютко Ольга Николаевна, издательство Адукацыя i выхаванне, Минск, 2024, бирюзового цвета

Авторы: Арефьева И. Г., Пирютко О. Н.

Тип: Учебник

Издательство: Адукацыя i выхаванне

Год издания: 2024 - 2025

Цвет обложки: бирюзовый с графиком

ISBN: ISBN 978-985-03-4081-8

Допущено Министерством образования Республики Беларусь

Популярные ГДЗ в 8 классе

Глава 1. Квадратные корни и их свойства. Действительные числа. Параграф 1. Квадратный корень из числа. Арифметический квадратный корень - номер 1.32, страница 23.

№1.32 (с. 23)
Условие. №1.32 (с. 23)
скриншот условия
Алгебра, 8 класс Учебник, авторы: Арефьева Ирина Глебовна, Пирютко Ольга Николаевна, издательство Адукацыя i выхаванне, Минск, 2024, бирюзового цвета, страница 23, номер 1.32, Условие

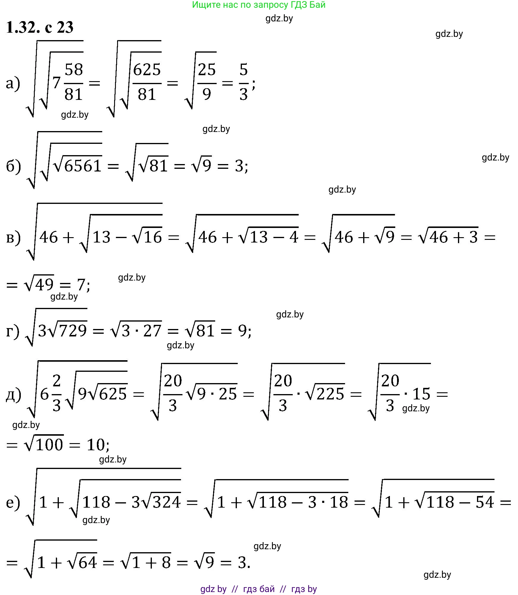
1.32. Найдите значение выражения:

а) $ \sqrt{7\frac{58}{81}} $;

б) $ \sqrt{\sqrt{6561}} $;

в) $ \sqrt{46+\sqrt{13-\sqrt{16}}} $;

г) $ \sqrt{3\sqrt{729}} $;

д) $ \sqrt{6\frac{2}{3}\sqrt{9\sqrt{625}}} $;

е) $ \sqrt{1+\sqrt{118-3\sqrt{324}}} $.

Решение. №1.32 (с. 23)
Алгебра, 8 класс Учебник, авторы: Арефьева Ирина Глебовна, Пирютко Ольга Николаевна, издательство Адукацыя i выхаванне, Минск, 2024, бирюзового цвета, страница 23, номер 1.32, Решение
Решение 2. №1.32 (с. 23)

а) $\sqrt{7\frac{58}{81}}$
Для вычисления значения выражения, сначала преобразуем смешанное число, стоящее под знаком корня, в неправильную дробь: $7\frac{58}{81} = \frac{7 \cdot 81 + 58}{81} = \frac{567 + 58}{81} = \frac{625}{81}$
Теперь извлечем квадратный корень из полученной дроби, используя свойство корня $\sqrt{\frac{a}{b}} = \frac{\sqrt{a}}{\sqrt{b}}$: $\sqrt{\frac{625}{81}} = \frac{\sqrt{625}}{\sqrt{81}} = \frac{25}{9}$
Преобразуем неправильную дробь в смешанное число, чтобы выделить целую часть: $\frac{25}{9} = 2\frac{7}{9}$
Ответ: 2$\frac{7}{9}$

б) $\sqrt{\sqrt{6561}}$
Вычисление начнем с внутреннего корня: $\sqrt{6561} = 81$, так как $81^2 = 6561$.
Теперь подставим полученное значение в исходное выражение: $\sqrt{81} = 9$
Ответ: 9

в) $\sqrt{46+\sqrt{13-\sqrt{16}}}$
Вычисляем значение выражения последовательно, начиная с самого внутреннего корня:
1. $\sqrt{16} = 4$
2. $\sqrt{13-4} = \sqrt{9} = 3$
3. $\sqrt{46+3} = \sqrt{49} = 7$
Таким образом, $\sqrt{46+\sqrt{13-\sqrt{16}}} = \sqrt{46+\sqrt{9}} = \sqrt{46+3} = \sqrt{49} = 7$.
Ответ: 7

г) $\sqrt{3\sqrt{729}}$
Сначала вычислим значение внутреннего корня: $\sqrt{729} = 27$, так как $27^2 = 729$.
Подставим результат в выражение: $\sqrt{3 \cdot 27} = \sqrt{81}$
Вычислим оставшийся корень: $\sqrt{81} = 9$
Ответ: 9

д) $\sqrt{6\frac{2}{3}\sqrt{9\sqrt{625}}}$
Вычисляем значение выражения последовательно, начиная с самого внутреннего корня:
1. $\sqrt{625} = 25$
2. $\sqrt{9 \cdot 25} = \sqrt{225} = 15$
3. Преобразуем смешанное число $6\frac{2}{3}$ в неправильную дробь: $6\frac{2}{3} = \frac{20}{3}$.
4. Вычислим выражение под внешним корнем: $\sqrt{\frac{20}{3} \cdot 15} = \sqrt{20 \cdot 5} = \sqrt{100} = 10$
Таким образом, $\sqrt{6\frac{2}{3}\sqrt{9\sqrt{625}}} = \sqrt{6\frac{2}{3}\sqrt{225}} = \sqrt{\frac{20}{3} \cdot 15} = \sqrt{100} = 10$.
Ответ: 10

е) $\sqrt{1+\sqrt{118-3\sqrt{324}}}$
Вычисляем значение выражения последовательно, начиная с самого внутреннего корня:
1. $\sqrt{324} = 18$
2. $\sqrt{118 - 3 \cdot 18} = \sqrt{118 - 54} = \sqrt{64} = 8$
3. $\sqrt{1 + 8} = \sqrt{9} = 3$
Таким образом, $\sqrt{1+\sqrt{118-3\sqrt{324}}} = \sqrt{1+\sqrt{118-54}} = \sqrt{1+\sqrt{64}} = \sqrt{1+8} = \sqrt{9} = 3$.
Ответ: 3

Помогло решение? Оставьте отзыв в комментариях ниже.

Присоединяйтесь к Телеграм-группе @gdz_by_belarus

Присоединиться

Мы подготовили для вас ответ c подробным объяснением домашего задания по алгебре за 8 класс, для упражнения номер 1.32 расположенного на странице 23 к учебнику 2024 года издания для учащихся школ и гимназий.

Теперь на нашем сайте ГДЗ.ТОП вы всегда легко и бесплатно найдёте условие с правильным ответом на вопрос «Как решить ДЗ» и «Как сделать» задание по алгебре к упражнению №1.32 (с. 23), авторов: Арефьева (Ирина Глебовна), Пирютко (Ольга Николаевна), учебного пособия издательства Адукацыя i выхаванне.