Номер 2.23, страница 104 - гдз по алгебре 8 класс учебник Арефьева, Пирютко

Алгебра, 8 класс Учебник, авторы: Арефьева Ирина Глебовна, Пирютко Ольга Николаевна, издательство Адукацыя i выхаванне, Минск, 2024, бирюзового цвета

Авторы: Арефьева И. Г., Пирютко О. Н.

Тип: Учебник

Издательство: Адукацыя i выхаванне

Год издания: 2024 - 2025

Цвет обложки: бирюзовый с графиком

ISBN: ISBN 978-985-03-4081-8

Допущено Министерством образования Республики Беларусь

Популярные ГДЗ в 8 классе

Глава 2. Квадратные уравнения. Параграф 7. Квадратные уравнения. Решение неполных квадратных уравнений - номер 2.23, страница 104.

№2.23 (с. 104)
Условие. №2.23 (с. 104)
скриншот условия
Алгебра, 8 класс Учебник, авторы: Арефьева Ирина Глебовна, Пирютко Ольга Николаевна, издательство Адукацыя i выхаванне, Минск, 2024, бирюзового цвета, страница 104, номер 2.23, Условие

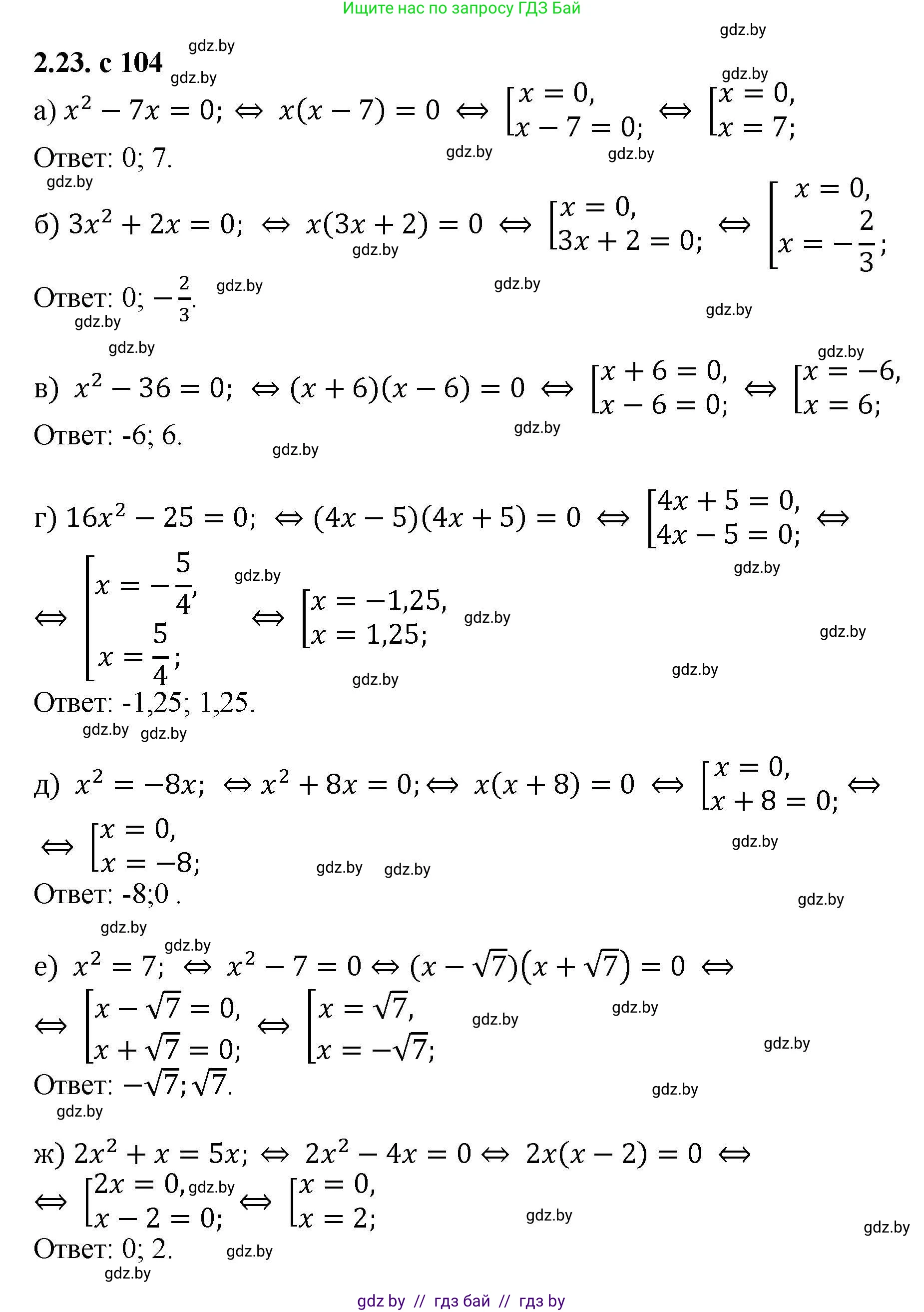
2.23. Решите уравнение:

а) $x^2 - 7x = 0;$

б) $3x^2 + 2x = 0;$

в) $x^2 - 36 = 0;$

г) $16x^2 - 25 = 0;$

д) $x^2 = -8x;$

е) $x^2 = 7;$

ж) $2x^2 + x = 5x;$

з) $x^2 + 3 = 0;$

и) $3x = x^2 - 2x.$

Решение. №2.23 (с. 104)
Алгебра, 8 класс Учебник, авторы: Арефьева Ирина Глебовна, Пирютко Ольга Николаевна, издательство Адукацыя i выхаванне, Минск, 2024, бирюзового цвета, страница 104, номер 2.23, Решение Алгебра, 8 класс Учебник, авторы: Арефьева Ирина Глебовна, Пирютко Ольга Николаевна, издательство Адукацыя i выхаванне, Минск, 2024, бирюзового цвета, страница 104, номер 2.23, Решение (продолжение 2)
Решение 2. №2.23 (с. 104)

а) $x^2 - 7x = 0$

Это неполное квадратное уравнение. Для его решения вынесем общий множитель $x$ за скобки:

$x(x - 7) = 0$

Произведение равно нулю, когда хотя бы один из множителей равен нулю. Отсюда получаем два корня:

$x_1 = 0$

или

$x - 7 = 0 \implies x_2 = 7$

Ответ: 0; 7.

б) $3x^2 + 2x = 0$

Вынесем общий множитель $x$ за скобки:

$x(3x + 2) = 0$

Уравнение имеет два корня:

$x_1 = 0$

или

$3x + 2 = 0 \implies 3x = -2 \implies x_2 = -\frac{2}{3}$

Ответ: 0; $-\frac{2}{3}$.

в) $x^2 - 36 = 0$

Это неполное квадратное уравнение. Перенесем свободный член в правую часть уравнения:

$x^2 = 36$

Извлечем квадратный корень из обеих частей уравнения:

$x = \pm\sqrt{36}$

Таким образом, корни уравнения:

$x_1 = 6$ и $x_2 = -6$

Ответ: -6; 6.

г) $16x^2 - 25 = 0$

Перенесем свободный член в правую часть:

$16x^2 = 25$

Разделим обе части на 16:

$x^2 = \frac{25}{16}$

Извлечем квадратный корень из обеих частей:

$x = \pm\sqrt{\frac{25}{16}} = \pm\frac{5}{4}$

Поскольку корни являются неправильными дробями, выделим в них целую часть:

$x_1 = \frac{5}{4} = 1\frac{1}{4}$

$x_2 = -\frac{5}{4} = -1\frac{1}{4}$

Ответ: $-1\frac{1}{4}$; $1\frac{1}{4}$.

д) $x^2 = -8x$

Перенесем все члены уравнения в левую часть:

$x^2 + 8x = 0$

Вынесем общий множитель $x$ за скобки:

$x(x + 8) = 0$

Корни уравнения:

$x_1 = 0$

или

$x + 8 = 0 \implies x_2 = -8$

Ответ: -8; 0.

е) $x^2 = 7$

Чтобы найти $x$, извлечем квадратный корень из обеих частей уравнения:

$x = \pm\sqrt{7}$

Корни уравнения иррациональны:

$x_1 = \sqrt{7}$ и $x_2 = -\sqrt{7}$

Ответ: $-\sqrt{7}$; $\sqrt{7}$.

ж) $2x^2 + x = 5x$

Перенесем все члены в левую часть, чтобы привести уравнение к стандартному виду:

$2x^2 + x - 5x = 0$

$2x^2 - 4x = 0$

Вынесем общий множитель $2x$ за скобки:

$2x(x - 2) = 0$

Отсюда находим корни:

$2x = 0 \implies x_1 = 0$

или

$x - 2 = 0 \implies x_2 = 2$

Ответ: 0; 2.

з) $x^2 + 3 = 0$

Перенесем свободный член в правую часть:

$x^2 = -3$

Квадрат любого действительного числа не может быть отрицательным. Следовательно, данное уравнение не имеет решений в множестве действительных чисел.

Ответ: нет действительных корней.

и) $3x = x^2 - 2x$

Приведем уравнение к стандартному виду, перенеся все члены в одну часть (вправо):

$0 = x^2 - 2x - 3x$

$x^2 - 5x = 0$

Вынесем общий множитель $x$ за скобки:

$x(x - 5) = 0$

Находим корни:

$x_1 = 0$

или

$x - 5 = 0 \implies x_2 = 5$

Ответ: 0; 5.

Помогло решение? Оставьте отзыв в комментариях ниже.

Присоединяйтесь к Телеграм-группе @gdz_by_belarus

Присоединиться

Мы подготовили для вас ответ c подробным объяснением домашего задания по алгебре за 8 класс, для упражнения номер 2.23 расположенного на странице 104 к учебнику 2024 года издания для учащихся школ и гимназий.

Теперь на нашем сайте ГДЗ.ТОП вы всегда легко и бесплатно найдёте условие с правильным ответом на вопрос «Как решить ДЗ» и «Как сделать» задание по алгебре к упражнению №2.23 (с. 104), авторов: Арефьева (Ирина Глебовна), Пирютко (Ольга Николаевна), учебного пособия издательства Адукацыя i выхаванне.