Номер 2.26, страница 105 - гдз по алгебре 8 класс учебник Арефьева, Пирютко

Алгебра, 8 класс Учебник, авторы: Арефьева Ирина Глебовна, Пирютко Ольга Николаевна, издательство Адукацыя i выхаванне, Минск, 2024, бирюзового цвета

Авторы: Арефьева И. Г., Пирютко О. Н.

Тип: Учебник

Издательство: Адукацыя i выхаванне

Год издания: 2024 - 2025

Цвет обложки: бирюзовый с графиком

ISBN: ISBN 978-985-03-4081-8

Допущено Министерством образования Республики Беларусь

Популярные ГДЗ в 8 классе

Глава 2. Квадратные уравнения. Параграф 7. Квадратные уравнения. Решение неполных квадратных уравнений - номер 2.26, страница 105.

№2.26 (с. 105)
Условие. №2.26 (с. 105)
скриншот условия
Алгебра, 8 класс Учебник, авторы: Арефьева Ирина Глебовна, Пирютко Ольга Николаевна, издательство Адукацыя i выхаванне, Минск, 2024, бирюзового цвета, страница 105, номер 2.26, Условие

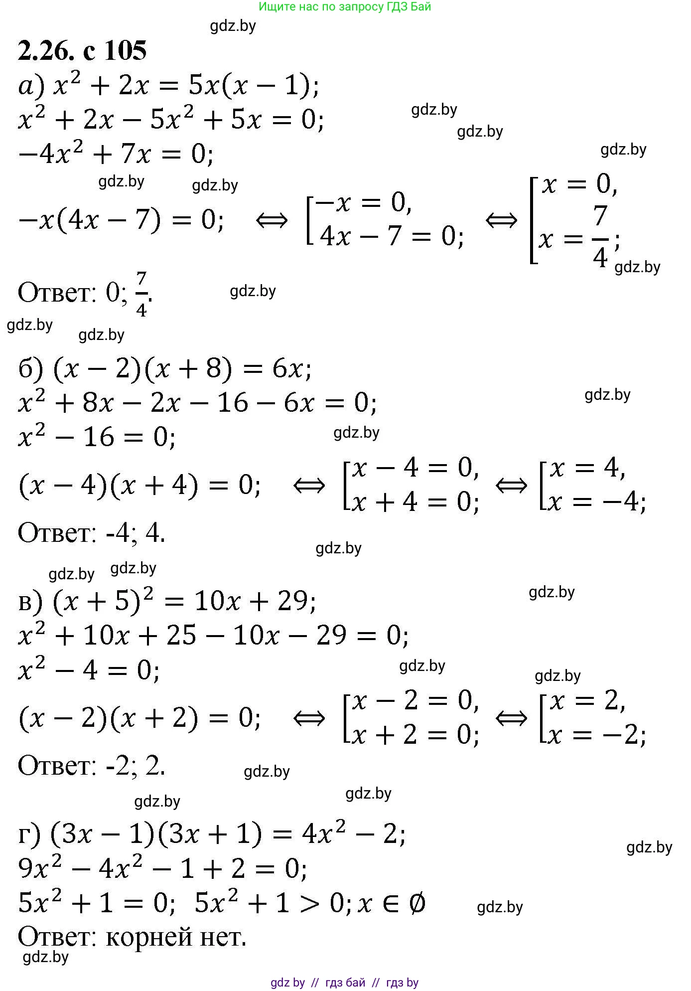
2.26. Выполните необходимые тождественные преобразования и решите уравнение:

а) $x^2 + 2x = 5x(x - 1);$

б) $(x - 2)(x + 8) = 6x;$

в) $(x + 5)^2 = 10x + 29;$

г) $(3x - 1)(3x + 1) = 4x^2 - 2.$

Решение. №2.26 (с. 105)
Алгебра, 8 класс Учебник, авторы: Арефьева Ирина Глебовна, Пирютко Ольга Николаевна, издательство Адукацыя i выхаванне, Минск, 2024, бирюзового цвета, страница 105, номер 2.26, Решение
Решение 2. №2.26 (с. 105)

а) $x^2 + 2x = 5x(x-1)$
Раскроем скобки в правой части уравнения:
$x^2 + 2x = 5x^2 - 5x$
Перенесем все члены уравнения в левую часть и приведем подобные слагаемые:
$x^2 - 5x^2 + 2x + 5x = 0$
$-4x^2 + 7x = 0$
Вынесем общий множитель $x$ за скобки:
$x(-4x + 7) = 0$
Произведение равно нулю тогда и только тогда, когда хотя бы один из множителей равен нулю. Отсюда получаем два корня:
1. $x_1 = 0$
2. $-4x + 7 = 0 \implies 4x = 7 \implies x_2 = \frac{7}{4}$
Преобразуем неправильную дробь в смешанное число, выделив целую часть: $\frac{7}{4} = 1\frac{3}{4}$.
Ответ: $x_1=0; x_2=\mathbf{1}\frac{3}{4}$.

б) $(x - 2)(x + 8) = 6x$
Раскроем скобки в левой части уравнения, перемножив двучлены:
$x^2 + 8x - 2x - 16 = 6x$
$x^2 + 6x - 16 = 6x$
Перенесем $6x$ из правой части в левую и приведем подобные члены:
$x^2 + 6x - 6x - 16 = 0$
$x^2 - 16 = 0$
Это неполное квадратное уравнение можно представить как разность квадратов $a^2 - b^2 = (a-b)(a+b)$:
$(x - 4)(x + 4) = 0$
Отсюда находим корни:
1. $x - 4 = 0 \implies x_1 = 4$
2. $x + 4 = 0 \implies x_2 = -4$
Ответ: $x_1 = 4; x_2 = -4$.

в) $(x + 5)^2 = 10x + 29$
Раскроем скобки в левой части, используя формулу квадрата суммы $(a+b)^2 = a^2+2ab+b^2$ :
$x^2 + 2 \cdot x \cdot 5 + 5^2 = 10x + 29$
$x^2 + 10x + 25 = 10x + 29$
Перенесем все члены уравнения в левую часть:
$x^2 + 10x + 25 - 10x - 29 = 0$
$x^2 - 4 = 0$
Это неполное квадратное уравнение, которое можно представить как разность квадратов:
$(x - 2)(x + 2) = 0$
Отсюда находим корни:
1. $x - 2 = 0 \implies x_1 = 2$
2. $x + 2 = 0 \implies x_2 = -2$
Ответ: $x_1 = 2; x_2 = -2$.

г) $(3x - 1)(3x + 1) = 4x^2 - 2$
Раскроем скобки в левой части, используя формулу разности квадратов $(a-b)(a+b) = a^2-b^2$ :
$(3x)^2 - 1^2 = 4x^2 - 2$
$9x^2 - 1 = 4x^2 - 2$
Перенесем члены с переменной в левую часть, а постоянные члены - в правую:
$9x^2 - 4x^2 = -2 + 1$
$5x^2 = -1$
$x^2 = -\frac{1}{5}$
Квадрат действительного числа не может быть отрицательным. Следовательно, данное уравнение не имеет решений в области действительных чисел.
Ответ: нет действительных корней.

Помогло решение? Оставьте отзыв в комментариях ниже.

Присоединяйтесь к Телеграм-группе @gdz_by_belarus

Присоединиться

Мы подготовили для вас ответ c подробным объяснением домашего задания по алгебре за 8 класс, для упражнения номер 2.26 расположенного на странице 105 к учебнику 2024 года издания для учащихся школ и гимназий.

Теперь на нашем сайте ГДЗ.ТОП вы всегда легко и бесплатно найдёте условие с правильным ответом на вопрос «Как решить ДЗ» и «Как сделать» задание по алгебре к упражнению №2.26 (с. 105), авторов: Арефьева (Ирина Глебовна), Пирютко (Ольга Николаевна), учебного пособия издательства Адукацыя i выхаванне.