Номер 3.173, страница 200 - гдз по алгебре 8 класс учебник Арефьева, Пирютко

Алгебра, 8 класс Учебник, авторы: Арефьева Ирина Глебовна, Пирютко Ольга Николаевна, издательство Адукацыя i выхаванне, Минск, 2024, бирюзового цвета

Авторы: Арефьева И. Г., Пирютко О. Н.

Тип: Учебник

Издательство: Адукацыя i выхаванне

Год издания: 2024 - 2025

Цвет обложки: бирюзовый с графиком

ISBN: ISBN 978-985-03-4081-8

Допущено Министерством образования Республики Беларусь

Популярные ГДЗ в 8 классе

Глава 3. Квадратичная функция. Параграф 15. Квадратные неравенства - номер 3.173, страница 200.

№3.173 (с. 200)
Условие. №3.173 (с. 200)
скриншот условия
Алгебра, 8 класс Учебник, авторы: Арефьева Ирина Глебовна, Пирютко Ольга Николаевна, издательство Адукацыя i выхаванне, Минск, 2024, бирюзового цвета, страница 200, номер 3.173, Условие

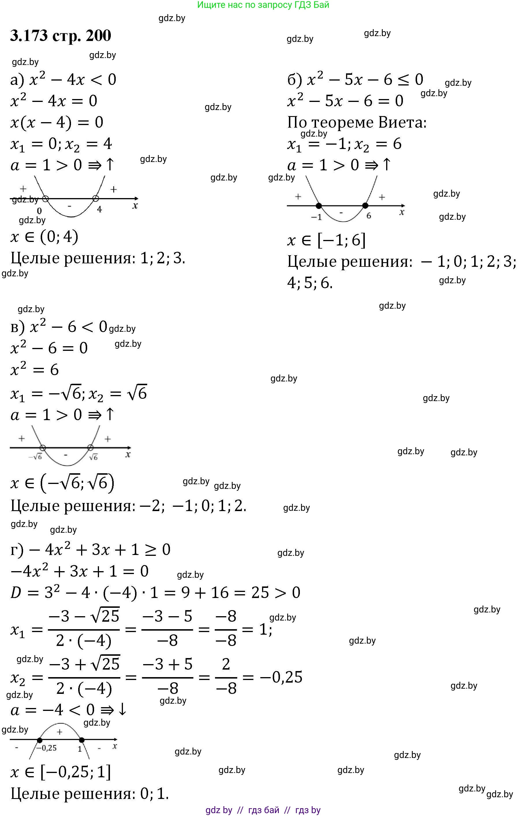
3.173. Найдите все целые решения неравенства:

a) $x^2 - 4x < 0;$

б) $x^2 - 5x - 6 \leq 0;$

в) $x^2 - 6 < 0;$

г) $-4x^2 + 3x + 1 \geq 0.$

Решение. №3.173 (с. 200)
Алгебра, 8 класс Учебник, авторы: Арефьева Ирина Глебовна, Пирютко Ольга Николаевна, издательство Адукацыя i выхаванне, Минск, 2024, бирюзового цвета, страница 200, номер 3.173, Решение
Решение 2. №3.173 (с. 200)

а) Чтобы найти все целые решения неравенства $x^2 - 4x < 0$, сначала решим соответствующее квадратное уравнение $x^2 - 4x = 0$.

Вынесем общий множитель $x$ за скобки: $x(x - 4) = 0$

Корнями уравнения являются $x_1 = 0$ и $x_2 = 4$. Эти точки разбивают числовую ось на три интервала.

Графиком функции $y = x^2 - 4x$ является парабола, ветви которой направлены вверх, так как коэффициент при $x^2$ положителен ($a=1 > 0$). Следовательно, значения функции отрицательны (меньше нуля) на интервале между корнями.

Таким образом, решение неравенства есть интервал $(0, 4)$.

Целые числа, которые принадлежат этому интервалу: 1, 2, 3.

Ответ: 1, 2, 3.

б) Чтобы найти все целые решения неравенства $x^2 - 5x - 6 \le 0$, решим уравнение $x^2 - 5x - 6 = 0$.

Найдем дискриминант: $D = b^2 - 4ac = (-5)^2 - 4 \cdot 1 \cdot (-6) = 25 + 24 = 49$.

Найдем корни уравнения: $x_1 = \frac{-b - \sqrt{D}}{2a} = \frac{5 - \sqrt{49}}{2} = \frac{5 - 7}{2} = -1$
$x_2 = \frac{-b + \sqrt{D}}{2a} = \frac{5 + \sqrt{49}}{2} = \frac{5 + 7}{2} = 6$

Графиком функции $y = x^2 - 5x - 6$ является парабола с ветвями вверх ($a=1 > 0$). Неравенство $\le 0$ выполняется на отрезке между корнями, включая сами корни.

Решением неравенства является отрезок $[-1, 6]$.

Целые числа, принадлежащие этому отрезку: -1, 0, 1, 2, 3, 4, 5, 6.

Ответ: -1, 0, 1, 2, 3, 4, 5, 6.

в) Чтобы найти все целые решения неравенства $x^2 - 6 < 0$, решим уравнение $x^2 - 6 = 0$.

$x^2 = 6$, откуда корни уравнения $x_1 = -\sqrt{6}$ и $x_2 = \sqrt{6}$.

Графиком функции $y = x^2 - 6$ является парабола с ветвями вверх ($a=1 > 0$). Неравенство $< 0$ выполняется на интервале между корнями: $(-\sqrt{6}, \sqrt{6})$.

Чтобы найти целые решения, оценим значение $\sqrt{6}$. Так как $2^2 = 4$ и $3^2 = 9$, то $2 < \sqrt{6} < 3$. Соответственно, $-3 < -\sqrt{6} < -2$.

Целые числа, которые находятся в интервале $(-\sqrt{6}, \sqrt{6})$, это: -2, -1, 0, 1, 2.

Ответ: -2, -1, 0, 1, 2.

г) Чтобы найти все целые решения неравенства $-4x^2 + 3x + 1 \ge 0$, решим уравнение $-4x^2 + 3x + 1 = 0$.

Найдем дискриминант: $D = b^2 - 4ac = 3^2 - 4(-4)(1) = 9 + 16 = 25$.

Найдем корни уравнения: $x_1 = \frac{-b - \sqrt{D}}{2a} = \frac{-3 - \sqrt{25}}{2 \cdot (-4)} = \frac{-3 - 5}{-8} = \frac{-8}{-8} = 1$
$x_2 = \frac{-b + \sqrt{D}}{2a} = \frac{-3 + \sqrt{25}}{2 \cdot (-4)} = \frac{2}{-8} = -\frac{1}{4}$

Графиком функции $y = -4x^2 + 3x + 1$ является парабола, ветви которой направлены вниз ($a=-4 < 0$). Неравенство $\ge 0$ выполняется на отрезке между корнями, включая сами корни.

Решением неравенства является отрезок $[-\frac{1}{4}, 1]$.

Целые числа, принадлежащие этому отрезку: 0, 1.

Ответ: 0, 1.

Помогло решение? Оставьте отзыв в комментариях ниже.

Присоединяйтесь к Телеграм-группе @gdz_by_belarus

Присоединиться

Мы подготовили для вас ответ c подробным объяснением домашего задания по алгебре за 8 класс, для упражнения номер 3.173 расположенного на странице 200 к учебнику 2024 года издания для учащихся школ и гимназий.

Теперь на нашем сайте ГДЗ.ТОП вы всегда легко и бесплатно найдёте условие с правильным ответом на вопрос «Как решить ДЗ» и «Как сделать» задание по алгебре к упражнению №3.173 (с. 200), авторов: Арефьева (Ирина Глебовна), Пирютко (Ольга Николаевна), учебного пособия издательства Адукацыя i выхаванне.