Номер 236, страница 107 - гдз по геометрии 8 класс учебник Казаков, Казакова

Геометрия, 8 класс Учебник, авторы: Казаков Валерий Владимирович, Казакова Ольга Олеговна, издательство Адукацыя i выхаванне, Минск, 2024, оранжевого цвета

Авторы: Казаков В. В., Казакова О. О.

Тип: Учебник

Издательство: Адукацыя i выхаванне

Год издания: 2024 - 2025

Цвет обложки: оранжевый

Допущено Министерством образования Республики Беларусь

Популярные ГДЗ в 8 классе

Глава 2. Площади многоугольников. Параграф 17. Площадь трапеции - номер 236, страница 107.

№236 (с. 107)
Условие. №236 (с. 107)
скриншот условия
Геометрия, 8 класс Учебник, авторы: Казаков Валерий Владимирович, Казакова Ольга Олеговна, издательство Адукацыя i выхаванне, Минск, 2024, оранжевого цвета, страница 107, номер 236, Условие

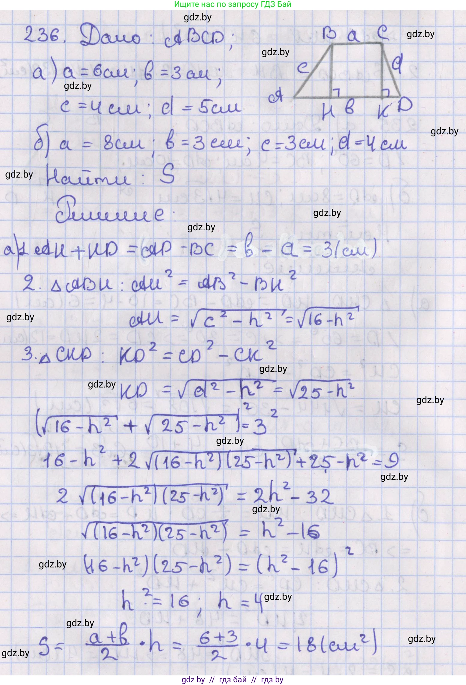
236. Основания трапеции — $a$ и $b$, боковые стороны — $c$ и $d$. Найдите площадь трапеции, если:

а) $a = 6$ см, $b = 3$ см, $c = 4$ см, $d = 5$ см;

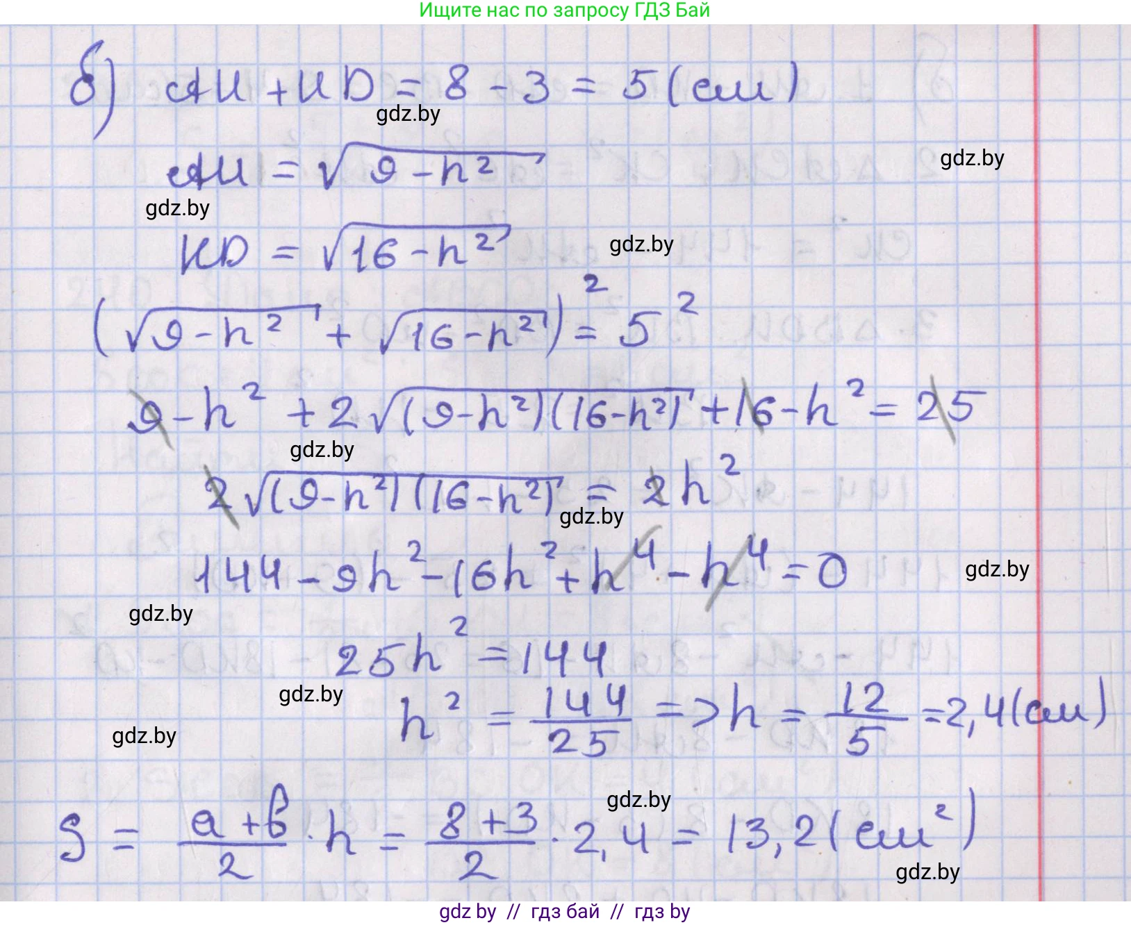
б) $a = 8$ см, $b = 3$ см, $c = 3$ см, $d = 4$ см.

Решение. №236 (с. 107)
Геометрия, 8 класс Учебник, авторы: Казаков Валерий Владимирович, Казакова Ольга Олеговна, издательство Адукацыя i выхаванне, Минск, 2024, оранжевого цвета, страница 107, номер 236, Решение Геометрия, 8 класс Учебник, авторы: Казаков Валерий Владимирович, Казакова Ольга Олеговна, издательство Адукацыя i выхаванне, Минск, 2024, оранжевого цвета, страница 107, номер 236, Решение (продолжение 2)
Решение 2. №236 (с. 107)
Геометрия, 8 класс Учебник, авторы: Казаков Валерий Владимирович, Казакова Ольга Олеговна, издательство Адукацыя i выхаванне, Минск, 2024, оранжевого цвета, страница 107, номер 236, Решение 2 Геометрия, 8 класс Учебник, авторы: Казаков Валерий Владимирович, Казакова Ольга Олеговна, издательство Адукацыя i выхаванне, Минск, 2024, оранжевого цвета, страница 107, номер 236, Решение 2 (продолжение 2)
Решение 3. №236 (с. 107)
а)

Дано: основания $a = 6$ см, $b = 3$ см, боковые стороны $c = 4$ см, $d = 5$ см.

Для нахождения площади трапеции по формуле $S = \frac{a+b}{2}h$ необходимо найти ее высоту $h$. Применим метод дополнительного построения. Проведем из вершины $C$ меньшего основания прямую, параллельную боковой стороне $AD=c$, до пересечения с большим основанием $AB$ в точке $K$. В результате мы получим треугольник $KBC$.

Стороны этого треугольника равны: боковая сторона $BC = d = 5$ см, отрезок $CK = AD = c = 4$ см (так как четырехугольник $AKCD$ — параллелограмм), и отрезок $KB = AB - AK = a - b = 6-3=3$ см.

Рассмотрим треугольник $KBC$ со сторонами 3 см, 4 см и 5 см. Проверим, является ли он прямоугольным, используя обратную теорему Пифагора: $3^2 + 4^2 = 9 + 16 = 25$. Квадрат третьей стороны равен $5^2 = 25$. Так как $3^2+4^2=5^2$, треугольник $KBC$ — прямоугольный, причем прямой угол $\angle CKB$ находится напротив гипотенузы $BC=5$ см.

Высота трапеции $h$ — это перпендикуляр, опущенный из вершины $C$ на основание $AB$. Поскольку $\angle CKB = 90^\circ$, то высота трапеции совпадает с катетом $CK$ треугольника $KBC$. Следовательно, $h = CK = 4$ см.

Теперь вычислим площадь трапеции:

$S = \frac{a+b}{2}h = \frac{6+3}{2} \cdot 4 = \frac{9}{2} \cdot 4 = 18$ см$^2$.

Ответ: 18 см$^2$.

б)

Дано: основания $a = 8$ см, $b = 3$ см, боковые стороны $c = 3$ см, $d = 4$ см.

Аналогично предыдущему пункту, построим вспомогательный треугольник $KBC$, проведя из вершины $C$ прямую, параллельную стороне $AD=c$. Стороны этого треугольника будут равны: $BC = d = 4$ см, $CK = c = 3$ см, и $KB = a-b = 8-3=5$ см.

Рассмотрим треугольник $KBC$ со сторонами 3 см, 4 см и 5 см. Этот треугольник является прямоугольным ($3^2+4^2=5^2$), где катеты равны 3 см и 4 см, а гипотенуза — 5 см. Прямой угол $\angle KCB$ находится напротив гипотенузы $KB$.

Высота трапеции $h$ равна высоте треугольника $KBC$, проведенной из вершины $C$ к основанию $KB$. Найдем эту высоту. Площадь прямоугольного треугольника $KBC$ равна половине произведения катетов: $S_{\triangle KBC} = \frac{1}{2} \cdot CK \cdot BC = \frac{1}{2} \cdot 3 \cdot 4 = 6$ см$^2$.

С другой стороны, площадь этого же треугольника можно выразить через гипотенузу $KB$ и высоту $h$, проведенную к ней: $S_{\triangle KBC} = \frac{1}{2} \cdot KB \cdot h$.

Приравняем два выражения для площади: $\frac{1}{2} \cdot 5 \cdot h = 6$.

Отсюда находим высоту $h$: $5h = 12$, следовательно, $h = \frac{12}{5} = 2.4$ см.

Теперь вычислим площадь трапеции:

$S = \frac{a+b}{2}h = \frac{8+3}{2} \cdot 2.4 = \frac{11}{2} \cdot 2.4 = 5.5 \cdot 2.4 = 13.2$ см$^2$.

Ответ: 13.2 см$^2$.

Помогло решение? Оставьте отзыв в комментариях ниже.

Присоединяйтесь к Телеграм-группе @gdz_by_belarus

Присоединиться

Мы подготовили для вас ответ c подробным объяснением домашего задания по геометрии за 8 класс, для упражнения номер 236 расположенного на странице 107 к учебнику 2024 года издания для учащихся школ и гимназий.

Теперь на нашем сайте ГДЗ.ТОП вы всегда легко и бесплатно найдёте условие с правильным ответом на вопрос «Как решить ДЗ» и «Как сделать» задание по геометрии к упражнению №236 (с. 107), авторов: Казаков (Валерий Владимирович), Казакова (Ольга Олеговна), учебного пособия издательства Адукацыя i выхаванне.