Номер 237, страница 107 - гдз по геометрии 8 класс учебник Казаков, Казакова

Геометрия, 8 класс Учебник, авторы: Казаков Валерий Владимирович, Казакова Ольга Олеговна, издательство Адукацыя i выхаванне, Минск, 2024, оранжевого цвета

Авторы: Казаков В. В., Казакова О. О.

Тип: Учебник

Издательство: Адукацыя i выхаванне

Год издания: 2024 - 2025

Цвет обложки: оранжевый

Допущено Министерством образования Республики Беларусь

Популярные ГДЗ в 8 классе

Глава 2. Площади многоугольников. Параграф 17. Площадь трапеции - номер 237, страница 107.

№237 (с. 107)
Условие. №237 (с. 107)
скриншот условия
Геометрия, 8 класс Учебник, авторы: Казаков Валерий Владимирович, Казакова Ольга Олеговна, издательство Адукацыя i выхаванне, Минск, 2024, оранжевого цвета, страница 107, номер 237, Условие

237. Найдите площадь трапеции с основаниями $a$ и $b$ и диагоналями $d_1$ и $d_2$, если:

a) $d_1 = d_2 = 15 \text{ см}$, $a = 8 \text{ см}$, $b = 12 \text{ см};

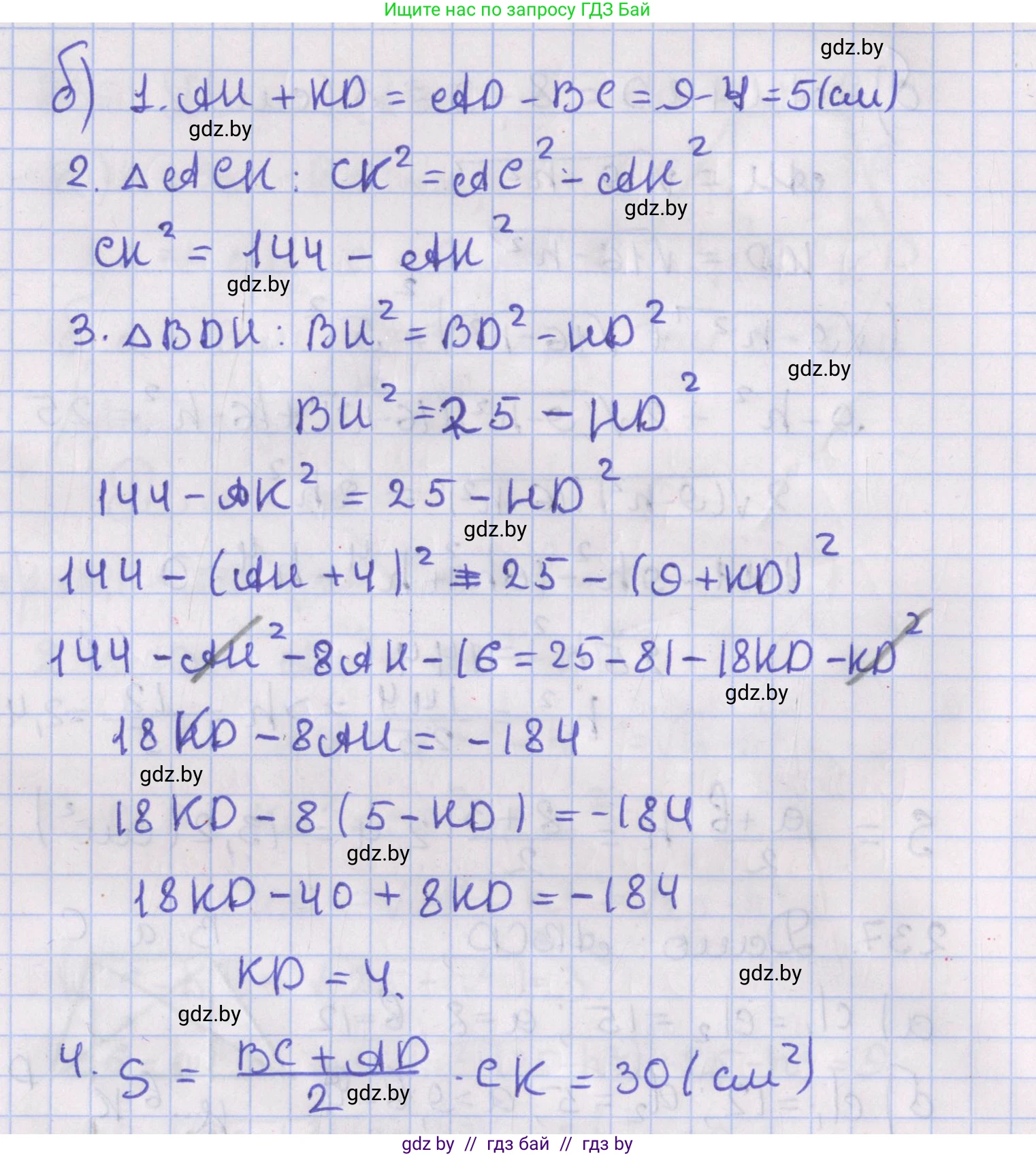
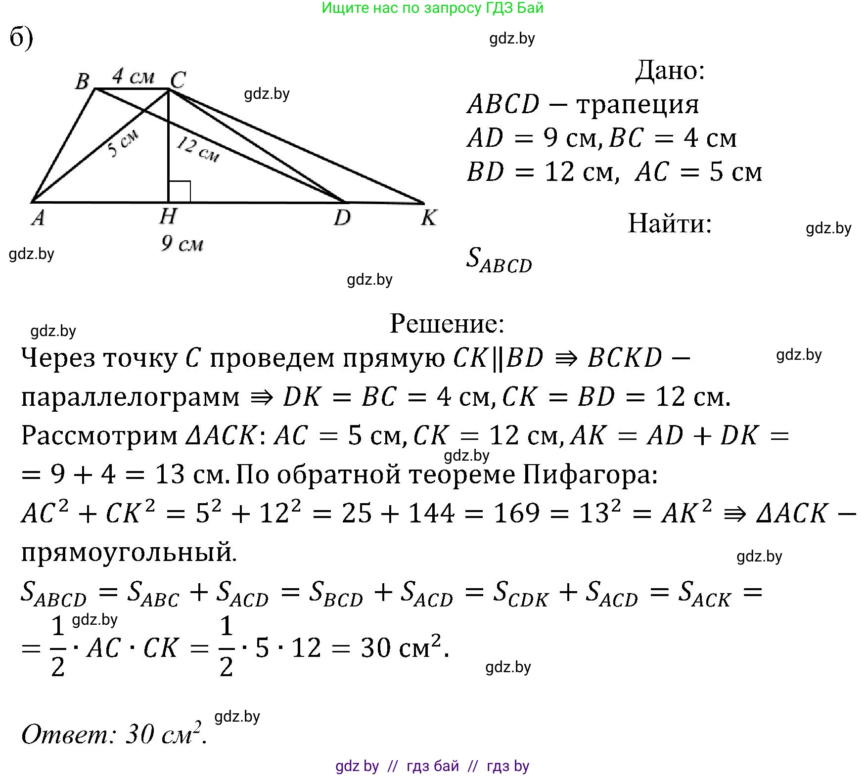
б) $d_1 = 12 \text{ см}$, $d_2 = 5 \text{ см}$, $a = 9 \text{ см}$, $b = 4 \text{ см}.

Решение. №237 (с. 107)
Геометрия, 8 класс Учебник, авторы: Казаков Валерий Владимирович, Казакова Ольга Олеговна, издательство Адукацыя i выхаванне, Минск, 2024, оранжевого цвета, страница 107, номер 237, Решение Геометрия, 8 класс Учебник, авторы: Казаков Валерий Владимирович, Казакова Ольга Олеговна, издательство Адукацыя i выхаванне, Минск, 2024, оранжевого цвета, страница 107, номер 237, Решение (продолжение 2)
Решение 2. №237 (с. 107)
Геометрия, 8 класс Учебник, авторы: Казаков Валерий Владимирович, Казакова Ольга Олеговна, издательство Адукацыя i выхаванне, Минск, 2024, оранжевого цвета, страница 107, номер 237, Решение 2 Геометрия, 8 класс Учебник, авторы: Казаков Валерий Владимирович, Казакова Ольга Олеговна, издательство Адукацыя i выхаванне, Минск, 2024, оранжевого цвета, страница 107, номер 237, Решение 2 (продолжение 2)
Решение 3. №237 (с. 107)

а) Для нахождения площади трапеции воспользуемся методом построения равновеликого ей треугольника. Пусть дана трапеция с основаниями $a$ и $b$ и диагоналями $d_1$ и $d_2$. Проведем через одну из вершин меньшего основания прямую, параллельную одной из диагоналей, до пересечения с продолжением большего основания. В результате получится треугольник, площадь которого равна площади трапеции. Стороны этого треугольника равны диагоналям трапеции и сумме ее оснований.

В данном случае имеем: $d_1 = 15$ см, $d_2 = 15$ см, основания $a = 8$ см и $b = 12$ см. Стороны искомого треугольника будут равны $15$ см, $15$ см и $8 + 12 = 20$ см.

Мы получили равнобедренный треугольник со сторонами 15 см, 15 см и 20 см. Площадь этого треугольника можно найти по формуле Герона. Сначала вычислим полупериметр $p$:

$p = \frac{15 + 15 + 20}{2} = \frac{50}{2} = 25$ см.

Теперь найдем площадь $S$ по формуле Герона: $S = \sqrt{p(p-s_1)(p-s_2)(p-s_3)}$, где $s_1, s_2, s_3$ — стороны треугольника.

$S = \sqrt{25(25-15)(25-15)(25-20)} = \sqrt{25 \cdot 10 \cdot 10 \cdot 5} = \sqrt{12500} = \sqrt{2500 \cdot 5} = 50\sqrt{5}$ см2.

Так как площадь построенного треугольника равна площади исходной трапеции, то площадь трапеции составляет $50\sqrt{5}$ см2.

Ответ: $50\sqrt{5}$ см2.

б) Используем тот же метод, что и в пункте а). Дано: диагонали $d_1 = 12$ см и $d_2 = 5$ см, основания $a = 9$ см и $b = 4$ см.

Строим треугольник, стороны которого равны диагоналям трапеции и сумме ее оснований. Длины сторон этого треугольника будут $12$ см, $5$ см и $9 + 4 = 13$ см.

Проверим, не является ли этот треугольник прямоугольным, с помощью обратной теоремы Пифагора. Сравним квадрат большей стороны с суммой квадратов двух других сторон:

$13^2 = 169$

$5^2 + 12^2 = 25 + 144 = 169$

Поскольку $13^2 = 5^2 + 12^2$, треугольник является прямоугольным. Стороны длиной 5 см и 12 см являются его катетами.

Площадь прямоугольного треугольника равна половине произведения его катетов:

$S = \frac{1}{2} \cdot 5 \cdot 12 = \frac{60}{2} = 30$ см2.

Площадь трапеции равна площади этого треугольника, следовательно, площадь трапеции равна 30 см2.

Ответ: 30 см2.

Помогло решение? Оставьте отзыв в комментариях ниже.

Присоединяйтесь к Телеграм-группе @gdz_by_belarus

Присоединиться

Мы подготовили для вас ответ c подробным объяснением домашего задания по геометрии за 8 класс, для упражнения номер 237 расположенного на странице 107 к учебнику 2024 года издания для учащихся школ и гимназий.

Теперь на нашем сайте ГДЗ.ТОП вы всегда легко и бесплатно найдёте условие с правильным ответом на вопрос «Как решить ДЗ» и «Как сделать» задание по геометрии к упражнению №237 (с. 107), авторов: Казаков (Валерий Владимирович), Казакова (Ольга Олеговна), учебного пособия издательства Адукацыя i выхаванне.